Analysis of a Nonlinear ψ-Hilfer Fractional Integro-Differential Equation Describing Cantilever Beam Model with Nonlinear Boundary Conditions
Abstract
1. Introduction
2. Preliminaries
- (i)
- ;
- (ii)
- ;
- (iii)
- .
3. Existence and Uniqueness Results
3.1. Uniqueness Result
- There exist positive constants , , with , such thatfor any , , , and .
- There exist positive constants , such thatfor any , and .
3.2. Existence Result
- There exist non-negative continuous functions such thatwith , , and .
- There exist non-negative continuous functions , such thatwith and , .
4. Ulam’s Stability Results
4.1. The and Stability Results
4.2. The and Stability Results
5. Examples
- (i)
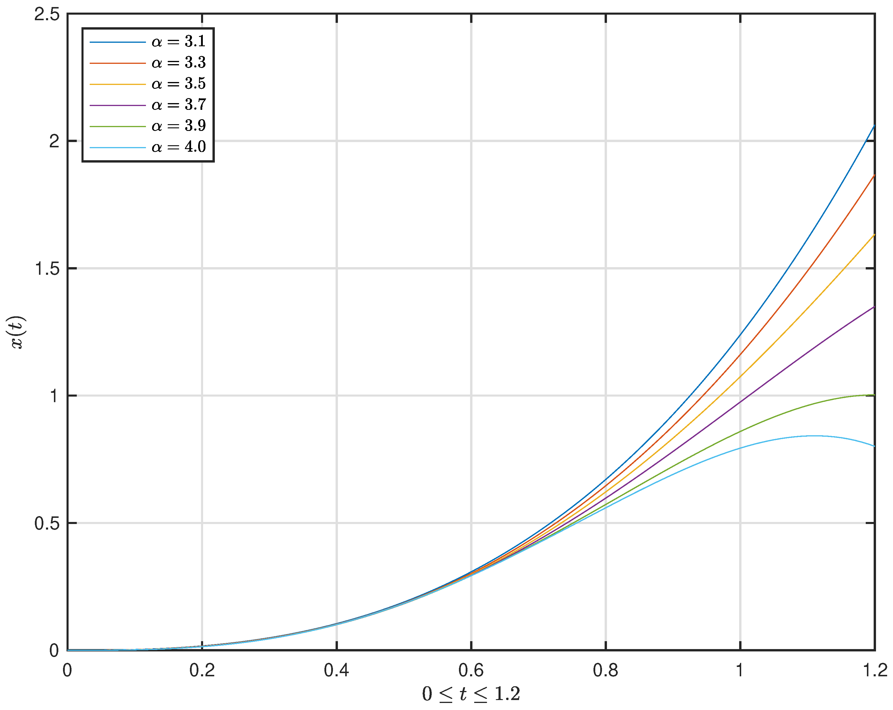
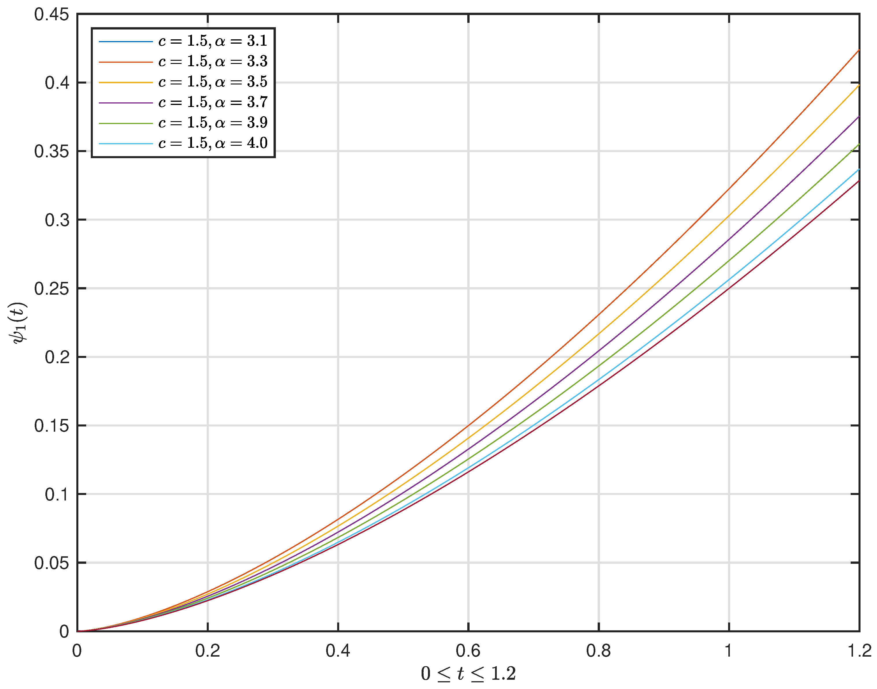
- Consider the nonlinear functionand the nonlinear conditionsFor , , , , and , we can find thatandThe assumption–is satisfied with, , , and . For the given information, we have , , , , and . Hence,Since all the assumptions of Theorem 1 are fulfilled, the ψ-Hilferdescribing themodel (46) has a unique solution on with (47) and (48). Furthermore, we can also compute the positive constant . By the conclusions of Theorem 3, the ψ-Hilfer describing the model (46) is both - and also -stable on with (47) and (48). By setting and Proposition 1 (i), we have
- (ii)
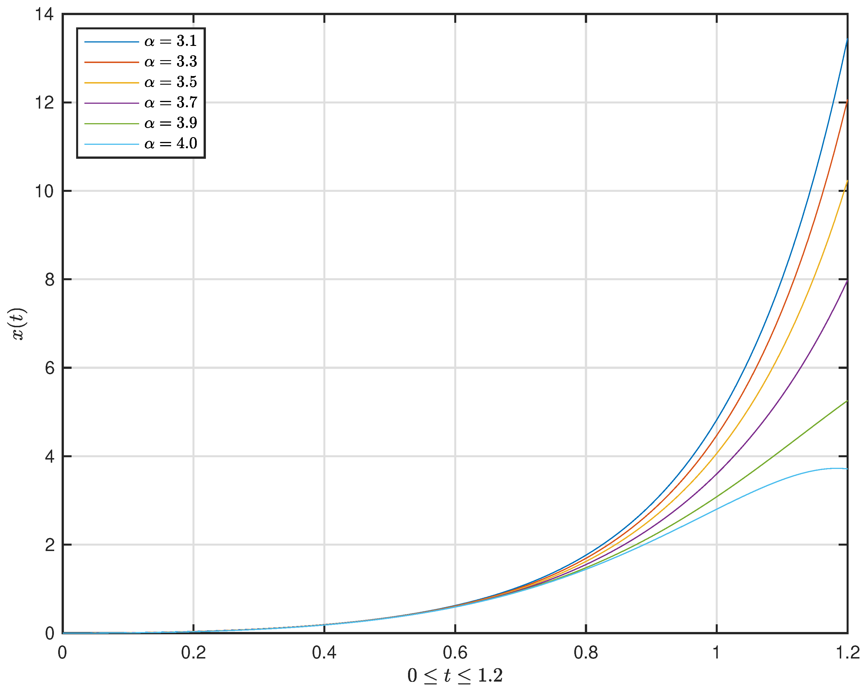
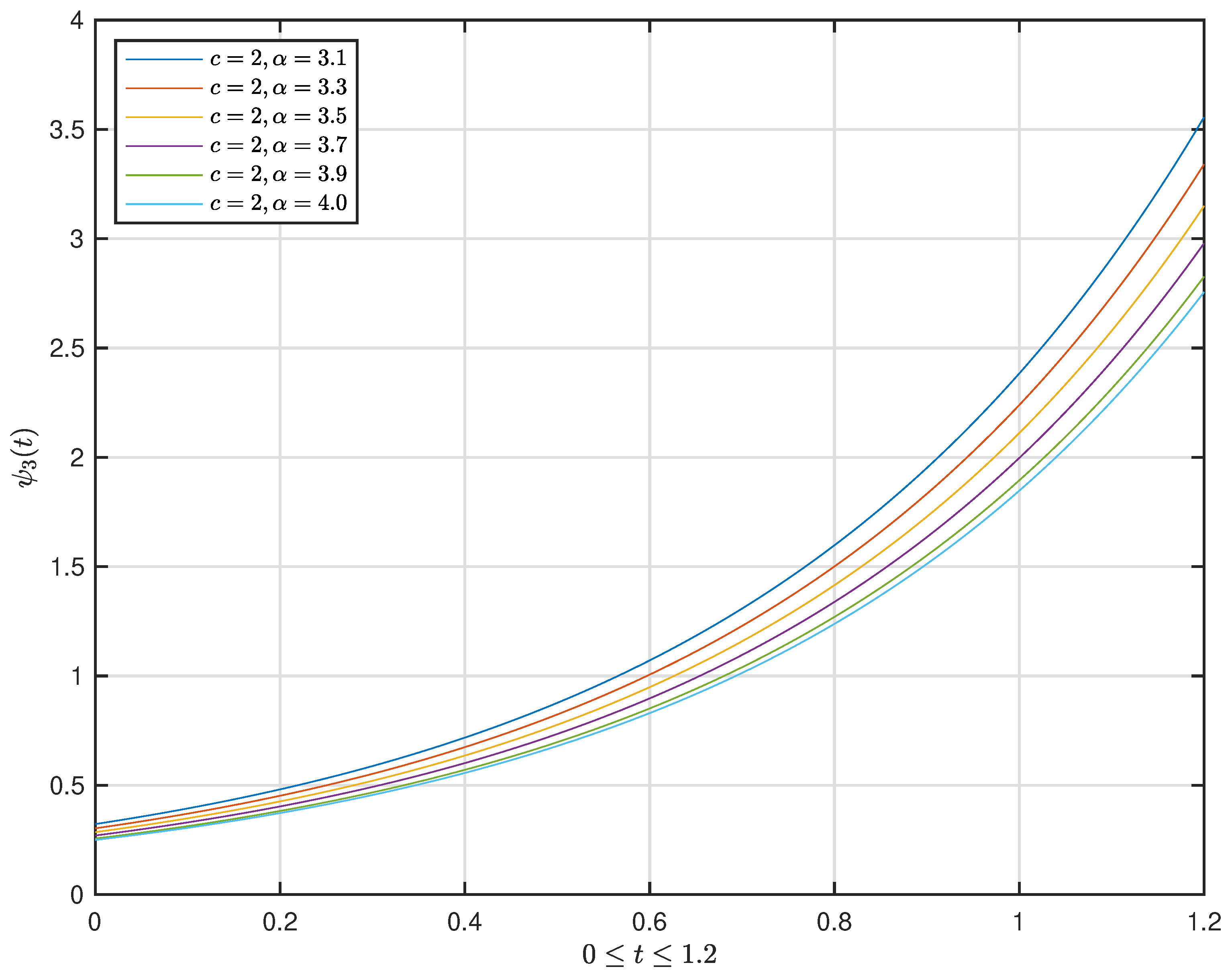
- Consider the nonlinear functionFor u, v, , and , we can estimateandThe assumptions–is true with, , , , , and. Therefore, all the assumptions of Theorem 2 are satisfied, which leads to the conclusion that the ψ-Hilferdescribingmodel (46) has at least one solution on with (48) and (49). For , , , , and , we can find thatThe assumption–is satisfied with, , and. Hence,Since all the assumptions of Theorem 1 are fulfilled, the ψ-Hilferdescribingmodel (46) has a unique solution on with (48) and (49). Further, we can also compute that . By the conclusions of Theorem 3, the ψ-Hilfer model (46) is both - and also -stable on with (48) and (49). By setting and Proposition 1 (i), one has
- (iii)
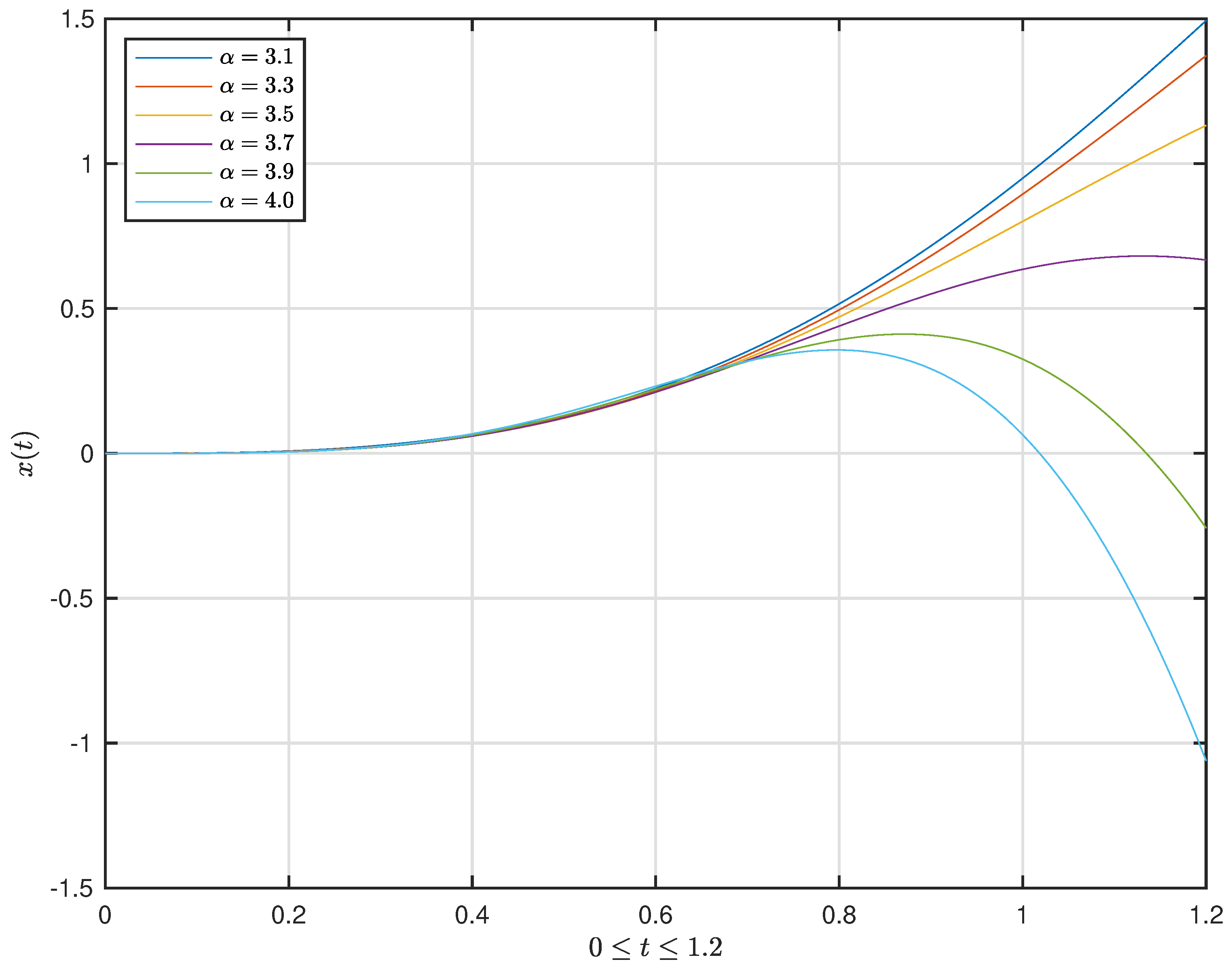
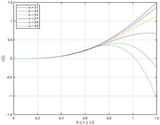
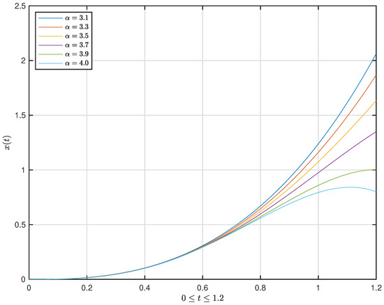
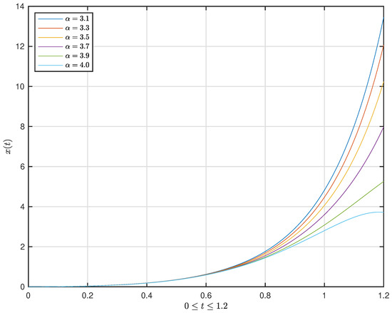
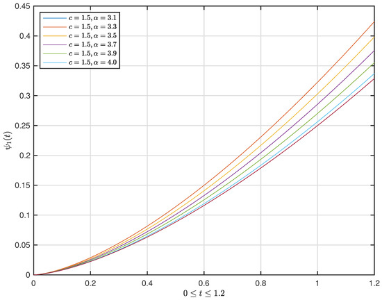
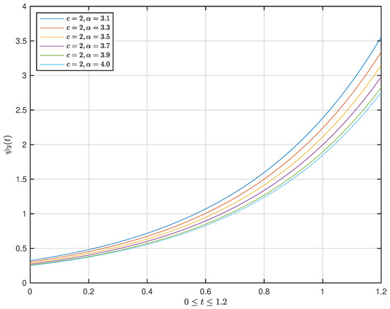
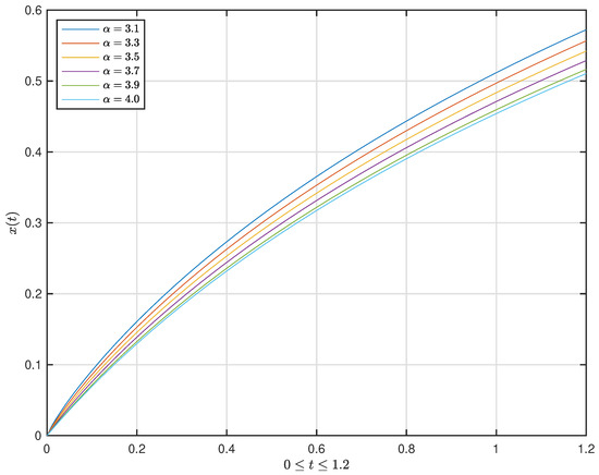
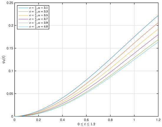
- Consider the function, and the nonlinear conditions. By Lemma 4, the implicit solution of the ψ-Hilferdescribing themodel (46) is given by
- (1)
- (2)
- (3)
- (4)
6. Conclusions
Author Contributions
Funding
Institutional Review Board Statement
Informed Consent Statement
Data Availability Statement
Acknowledgments
Conflicts of Interest
References
- Gupta, C.P. Existence and uniqueness theorems for the bending of an elastic beam equation. Appl. Anal. 1988, 26, 289–304. [Google Scholar] [CrossRef]
- Cianciaruso, F.; Infante, G.; Pietramala, P. Solutions of perturbed hammerstein integral equations with applications. Nonlinear Anal. Real World Appl. 2017, 33, 317–347. [Google Scholar] [CrossRef]
- Zhong, Y.; Chen, S.; Wang, C. Existence results for a fourth-order ordinary differential equation with a four-point boundary condition. Appl. Math. Lett. 2008, 21, 465–470. [Google Scholar] [CrossRef]
- Ma, R.Y. Multiplicity of positive solutions for second-order three-point boundary value problems. Comput. Math. Appl. 2000, 40, 193–204. [Google Scholar] [CrossRef]
- Chen, S.; Ni, W.; Wang, C. Positive solution of order ordinary differential equation with four-point boundary conditions. Appl. Math. Lett. 2006, 19, 161–168. [Google Scholar] [CrossRef]
- Tuz, M. The Existence of symmetric positive solutions of fourth-order elastic beam equations. Symmetry 2019, 11, 121. [Google Scholar] [CrossRef]
- Sang, Y.; Ren, Y. Nonlinear sum operator equations and applications to elastic beam equation and fractional differential equation. Boun. Value Prob. 2019, 2019, 1–25. [Google Scholar] [CrossRef]
- Alzabut, J.; Selvam, A.G.M.; Dhineshbabu, R.; Kaabar, M.K.A. The existence, uniqueness, and stability analysis of the discrete fractional three-point boundary value problem for the elastic beam equation. Symmetry 2021, 13, 789. [Google Scholar] [CrossRef]
- Bonanno, G.; Chinnì, A.; Tersian, S.A. Existence results for a two point boundary value problem involving a fourth-order equation. Electron. J. Qual. Theory Differ. Equ. 2015, 33, 1–9. [Google Scholar] [CrossRef]
- Bouteraa, N.; Benaicha, S.; Djourdem, H.; Benattia, M.E. Positive solutions of nonlinear fourth-order two-point boundary value problem with a parameter. Rom. J. Math. Comput. Sci. 2018, 8, 17–30. [Google Scholar]
- Sun, J.P.; Wang, X.Y. Positive solution for fourth-order four-point Sturm-Liouville boundary value problem. J. Appl. Math. Inform. 2010, 28, 679–686. [Google Scholar]
- Aslami, M.; Akimov, P.A. Analytical solution for beams with multipoint boundary conditions on two-parameter elastic foundations. Arch. Civ. Mech. Eng. 2016, 16, 668–677. [Google Scholar] [CrossRef]
- Song, Y. A nonlinear boundary value problem for fourth-order elastic beam equations. Bound. Value Probl. 2014, 2014, 1–11. [Google Scholar] [CrossRef]
- Li, Y. Existence of positive solutions for the cantilever beam equations with fully nonlinear terms. Nonlinear Anal. Real World Appl. 2016, 27, 221–237. [Google Scholar] [CrossRef]
- Li, S.; Zhai, C. New existence and uniqueness results for an elastic beam equation with nonlinear boundary conditions. Bound. Value Probl. 2015, 104, 1–12. [Google Scholar] [CrossRef][Green Version]
- Faraji Oskouie, M.; Ansari, R.; Rouhi, H. Bending analysis of functionally graded nanobeams based on the fractional nonlocal continuum theory by the variational Legendre spectral collocation method. Meccanica 2018, 53, 1115–1130. [Google Scholar] [CrossRef]
- Sidhardh, S.; Patnaik, S.; Semperlotti, F. Fractional-order structural stability: Formulation and application to the critical load of nonlocal slender structures. Int. J. Mech. Sci. 2021, 201, 106443. [Google Scholar] [CrossRef]
- Lazopoulos, K.A.; Lazopoulos, A.K. On the fractional deformation of a linearly elastic bar. J. Mech. Behav. Mater. 2020, 29, 9–18. [Google Scholar] [CrossRef]
- Lazopoulos, K.A.; Lazopoulos, A.K. On fractional bending of beams. Arch. Appl. Mech. 2016, 86, 1133–1145. [Google Scholar] [CrossRef]
- Alotta, G.; Failla, G.; Zingales, M. Finite-Element Formulation of a Nonlocal Hereditary Fractional-Order Timoshenko Beam. J. Eng. Mech. 2015, 143, D4015001. [Google Scholar] [CrossRef]
- Tarasov, V.E. Fractional Mechanics of Elastic Solids: Continuum Aspects. J. Eng. Mech. 2016, 143, D4016001. [Google Scholar] [CrossRef]
- Failla, G. Stationary Response of Beams and Frames with Fractional Dampers through Exact Frequency Response Functions. J. Eng. Mech. 2016, 143, D4016004. [Google Scholar] [CrossRef]
- Sumelka, W.; Blaszczyk, T.; Liebold, C. Fractional Euler-Bernoulli beams: Theory, numerical study and experimental validation. Eur. J. Mech.—A/Solids 2015, 54, 243–251. [Google Scholar] [CrossRef]
- Sidhardh, S.; Patnaik, S.; Semperlotti, F. Geometrically nonlinear response of a fractional-order nonlocal model of elasticity. Int. J. Non-Linear Mech. 2020, 125, 103529. [Google Scholar] [CrossRef]
- Stempin, P.; Sumelka, W. Space-Fractional Euler-Bernoulli beam model theory and identification for silver nanobeam bending. Int. J. Mech. Sci. 2020, 186, 105902. [Google Scholar] [CrossRef]
- Kumar, A.; Chauhan, H.V.S.; Ravichandran, C.; Nisar, K.S.; Baleanu, D. Existence of solutions of non-autonomous fractional differential equations with integral impulse condition. Adv. Differ. Equ. 2020, 434, 1–15. [Google Scholar] [CrossRef]
- Ismail, M.; Saeed, U.; Alzabut, J.; Rehman, M. Approximate solutions for fractional boundary value problems via green-cas wavelet method. Mathematics 2019, 7, 1164. [Google Scholar] [CrossRef]
- Podlubny, I. Fractional Differential Equations; Academic Press: New York, NY, USA, 1999. [Google Scholar]
- Katugampola, U.N. A new approach to generalized fractional derivatives. Bull. Math. Anal. Appl. 2014, 6, 1–15. [Google Scholar]
- Almeida, R. A Caputo fractional derivative of a function with respect to another function. Commun. Nonlinear Sci. Numer. Simul. 2017, 44, 460–481. [Google Scholar] [CrossRef]
- Abdo, M.S.; Shah, K.; Panchal, S.K.; Wahash, H.A. Existence and Ulam stability results of a coupled system for terminal value problems involving ψ-Hilfer fractional operator. Adv. Differ. Equ. 2020, 2020, 316. [Google Scholar] [CrossRef]
- Asawasamrit, S.; Nithiarayaphaks, W.; Ntouyas, S.K.; Tariboon, J. Existence and stability analysis for fractional differential equations with mixed nonlocal conditions. Mathematics 2019, 7, 117. [Google Scholar] [CrossRef]
- Sousa, J.V.D.C.; de Oliveira, E.C. On the Ulam–Hyers–Rassias stability for nonlinear fractional differential equations using the ψ-Hilfer operator. J. Fixed Point Theory Appl. 2018, 20, 96. [Google Scholar] [CrossRef]
- Harikrishman, S.; Elsayed, E.; Kanagarajan, K. Existence and uniqueness results for fractional pantograph equations involving ψ-Hilfer fractional derivative. Dyn. Contin. Discrete Impuls. Syst. 2018, 25, 319–328. [Google Scholar]
- Ahmed, I.; Kuman, P.; Shah, K.; Borisut, P.; Sitthithakerngkiet, K.; Demba, M.A. Stability results for implicit fractional pantograph differential equations via ψ-Hilfer fractional derivative with a nonlocal Riemann–Liouville fractional integral condition. Mathematics 2020, 8, 94. [Google Scholar] [CrossRef]
- Thaiprayoon, C.; Sudsutad, W.; Alzabut, J.; Etemad, S.; Rezapour, S. On the qualitative analysis of the fractional boundary value problem describing thermostat control model via ψ-Hilfer fractional operator. Adv. Differ. Equ. 2021, 2021, 1–28. [Google Scholar] [CrossRef]
- Baitiche, Z.; Derbazi, C.; Alzabu, J.; Samei, M.E.; Kaabar, M.K.A.; Siri, Z. Monotone iterative method for ψ-Caputo fractional differential equation with nonlinear boundary conditions. Fractal Fract. 2021, 5, 81. [Google Scholar] [CrossRef]
- Seemab, A.; Rehman, M.U.; Alzabut, J.; Adjabi, Y.; Abdo, M.S. Langevin equation with nonlocal boundary conditions involving a ψ-Caputo fractional operators of different orders. AIMS Math. 2021, 6, 6749–6780. [Google Scholar] [CrossRef]
- Alzabut, J.; Adjabi, Y.; Sudsutad, W.; Rehman, M.U. New generalizations for Gronwall type inequalities involving a ψ-fractional operator and their applications. AIMS Math. 2021, 6, 5053–5077. [Google Scholar] [CrossRef]
- Sitho, S.; Ntouyas, S.K.; Samadi, A.; Tariboon, J. Boundary value problems for ψ-Hilfer type sequential fractional differential equations and inclusions with integral multi-point boundary conditions. Mathematics 2021, 9, 1001. [Google Scholar] [CrossRef]
- Rezapour, S.; Etemad, S.; Tellab, B.; Agarwal, P.; Guirao, J.L.G. Numerical solutions caused by DGJIM and ADM methods for multi-term fractional BVP involving the generalized ψ-RL-operators. Symmetry 2021, 13, 532. [Google Scholar] [CrossRef]
- Boutiara, A.; Etemad, S.; Hussain, A.; Rezapour, S. The generalized U-H and U-H stability and existence analysis of a coupled hybrid system of integro-differential IVPs involving ϕ-Caputo fractional operators. Adv. Differ. Equ. 2021, 95, 1–21. [Google Scholar]
- Kilbas, A.A.; Srivastava, H.M.; Trujillo, J.J. Theory and applications of the fractional differential equations. In North-Holland Mathematics Studies; Elsevier: Amsterdam, The Netherlands, 2006; Volume 204. [Google Scholar]
- Vanterler, J.; de Oliveira, E.C. On the ψ-Hilfer fractional derivative. Commun. Nonlinear Sci. Numer. Simul. 2018, 60, 72–91. [Google Scholar] [CrossRef]
- Granas, A.; Dugundji, J. Fixed Point Theory; Springer: New York, NY, USA, 2003. [Google Scholar]








Publisher’s Note: MDPI stays neutral with regard to jurisdictional claims in published maps and institutional affiliations. |
© 2021 by the authors. Licensee MDPI, Basel, Switzerland. This article is an open access article distributed under the terms and conditions of the Creative Commons Attribution (CC BY) license (https://creativecommons.org/licenses/by/4.0/).
Share and Cite
Kotsamran, K.; Sudsutad, W.; Thaiprayoon, C.; Kongson, J.; Alzabut, J. Analysis of a Nonlinear ψ-Hilfer Fractional Integro-Differential Equation Describing Cantilever Beam Model with Nonlinear Boundary Conditions. Fractal Fract. 2021, 5, 177. https://doi.org/10.3390/fractalfract5040177
Kotsamran K, Sudsutad W, Thaiprayoon C, Kongson J, Alzabut J. Analysis of a Nonlinear ψ-Hilfer Fractional Integro-Differential Equation Describing Cantilever Beam Model with Nonlinear Boundary Conditions. Fractal and Fractional. 2021; 5(4):177. https://doi.org/10.3390/fractalfract5040177
Chicago/Turabian StyleKotsamran, Kanoktip, Weerawat Sudsutad, Chatthai Thaiprayoon, Jutarat Kongson, and Jehad Alzabut. 2021. "Analysis of a Nonlinear ψ-Hilfer Fractional Integro-Differential Equation Describing Cantilever Beam Model with Nonlinear Boundary Conditions" Fractal and Fractional 5, no. 4: 177. https://doi.org/10.3390/fractalfract5040177
APA StyleKotsamran, K., Sudsutad, W., Thaiprayoon, C., Kongson, J., & Alzabut, J. (2021). Analysis of a Nonlinear ψ-Hilfer Fractional Integro-Differential Equation Describing Cantilever Beam Model with Nonlinear Boundary Conditions. Fractal and Fractional, 5(4), 177. https://doi.org/10.3390/fractalfract5040177

