Fractional Derivatives and Dynamical Systems in Material Instability
Abstract
1. Introduction
2. Elements of Fractional Calculus
2.1. Fractional Integral Operators and Fractional Derivatives
2.2. Symmetric Fractional Derivatives
2.3. On a Two-Sided Fractional Derivative as Infinite Series
3. A Dynamical Systems Approach of Material Instability
- Cauchy’s equations of motion
- the kinematic equation in rate form
- and the constitutive equation
- state of the material is stable, iffor all solutions of Equation (23),
- loss-of-stability happens, when at least for one i,
- the static bifurcation , that is,and
- the dynamic bifurcation ,
4. Bifurcations for Constitutive Equations with Fractional Derivatives
4.1. Constitutive Equation with Non-Local Strain
4.1.1. Malvern–Cristescu Constitutive Equation at TSFD
4.1.2. Malvern–Cristescu at Riesz Derivative
4.1.3. Classical Visco-Elasto-Plastic Case at Riesz Derivative
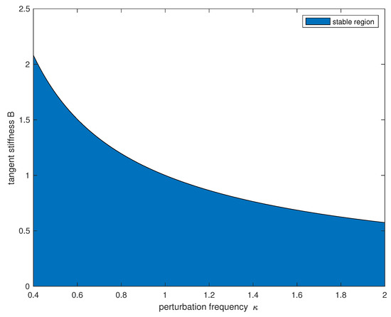
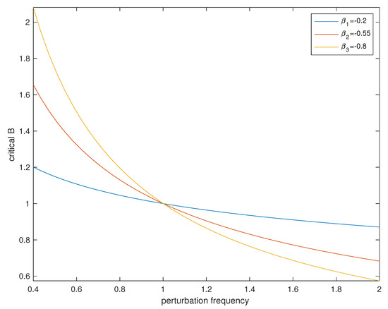
4.2. Fractional Gradient Material
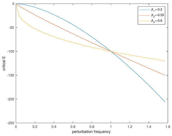
4.3. Non-Local Strain Gradient Material
5. Conclusions
- In case of classical visco-elasto-plastic material, no generic nature can be assumed. Both infinite dimensional critical eigenspace and coexistent static and dynamic bifurcations are found. Thus, such equation cannot be used for any nonlinear stability analysis.
- In the case of non-local strain gradient material, both strong and weak non-localities are present in the constitutive equation. The results are the same as the simple second gradient material [21].
Funding
Conflicts of Interest
References
- Rice, J.R. The localization of plastic deformation. In Theoretical and Applied Mechanics; Koiter, W.T., Ed.; North-Holland Publ.: Amsterdam, The Netherlands, 1976; pp. 207–220. [Google Scholar]
- De Borst, R.; Sluys, L.J.; Muhlhaus, H.B.; Pamin, J. Fundamental issues in finite element analyses of localization of deformation. Eng. Comput. 1993, 10, 99–121. [Google Scholar]
- Farkas, M. Periodic Motions; Springer: New York, NY, USA, 1994. [Google Scholar]
- Arnold, V.I. Geometrical Methods in the Theory of Ordinary Differential Equations; Springer: New York, NY, USA, 1983. [Google Scholar]
- Aifantis, E.C. On the role of gradients in the localization of deformation and fracture. Int. J. Eng. Sci. 1992, 30, 1279–1299. [Google Scholar] [CrossRef]
- Maugin, G.A.; Metrikine, A.V. Mechanics of Generalized Continua; Springer: New York, NY, USA, 2010. [Google Scholar]
- Maugin, G.A. Nonlocal theories or gradient-type theories: a matter of convenience? Arch. Mech. 1979, 31, 15–26. [Google Scholar]
- Maugin, G.A. Non-Classical Continuum Mechanics; Springer Nature: Singapore, 2017. [Google Scholar]
- Toupin, R.A. Theories of elasticity with couple-stresses. Arch. Ration. Mech. and Anal. 1962, 17, 85–112. [Google Scholar] [CrossRef]
- Eringen, A.C. Nonlocal Continuum Field Theories; Springer: New York, NY, USA, 2002. [Google Scholar]
- Carpinteri, A.; Cornetti, P.; Sapora, A. A fractional calculus approach to nonlocal elasticity. Eur. J. Phys. 2011, 193, 193–204. [Google Scholar] [CrossRef]
- Lazopoulos, K.A. Non-local continuum mechanics and fractional calculus. Mech. Res. Commun. 2006, 33, 753–757. [Google Scholar] [CrossRef]
- Diethelm, K. The Analysis of Fractional Differential Equations; Springer: New York, NY, USA, 2010. [Google Scholar]
- Podlubny, I. Fractional Differential Equations; Academic Press: San Diego, CA, USA, 1999. [Google Scholar]
- Atanackovic, T.M.; Stankovic, B. Generalized wave equation in nonlocal elasticity. Acta Mech. 2009, 208, 1–10. [Google Scholar] [CrossRef]
- Samko, S.G.; Kilbas, A.A.; Marichev, O.I. Fractional Integrals and Derivatives; Gordon and Breach: Amsterdam, The Netherlands, 1993. [Google Scholar]
- Tarasov, V.E. Fractional Dynamics; Springer-Verlag: Berlin/Heidelberg, Germany, 2010. [Google Scholar]
- Ortigueira, M.D. Riesz potential operators and inverses via fractional centred derivatives. Int. J. Math. Math. Sci. 2006, 48391. [Google Scholar] [CrossRef]
- Ortigueira, M.D. Two-sided and regularised Riesz-Feller derivatives. Math. Meth. Appl. Sci. 2019, 1–13. [Google Scholar] [CrossRef]
- Dobovsek, I. Adiabatic material instabilities in rate-independent solids. Arch. Mech. 1994, 46, 893–936. [Google Scholar]
- Béda, P.B. Dynamic systems, rate and gradient effects in material instability. Int. J. Mech. Sci. 2000, 42, 2101–2114. [Google Scholar] [CrossRef]
- Tarasov, V.E.; Aifantis, E.C. Non-standard extensions of gradient elasticity: Fractional non- locality, memory and fractality. Commun. Nonlinear Sci. Numer. Simulat. 2015, 22, 197–227. [Google Scholar] [CrossRef]
- Khalil, R.; Horani, M.A.; Yousef, A.; Sababheh, M. A new definition of fractional derivative. J. Comput. Appl. Math. 2014, 264, 65–70. [Google Scholar] [CrossRef]
- Rahimi, Z.; Sumelka, W.; Baleanu, D. A mechanical model based on conformal strain energy and its application to bending and buckling of nanobeam structures. ASME J. Comput. Nonlinear Dynam. 2019, 14, 061004. [Google Scholar] [CrossRef]
- Tarasov, V.E. No nonlocality. No fractional derivative. Commun. Nonl. Sci. Numer. Simul. 2018, 62, 157–163. [Google Scholar] [CrossRef]



© 2020 by the author. Licensee MDPI, Basel, Switzerland. This article is an open access article distributed under the terms and conditions of the Creative Commons Attribution (CC BY) license (http://creativecommons.org/licenses/by/4.0/).
Share and Cite
Béda, P.B. Fractional Derivatives and Dynamical Systems in Material Instability. Fractal Fract. 2020, 4, 14. https://doi.org/10.3390/fractalfract4020014
Béda PB. Fractional Derivatives and Dynamical Systems in Material Instability. Fractal and Fractional. 2020; 4(2):14. https://doi.org/10.3390/fractalfract4020014
Chicago/Turabian StyleBéda, Peter B. 2020. "Fractional Derivatives and Dynamical Systems in Material Instability" Fractal and Fractional 4, no. 2: 14. https://doi.org/10.3390/fractalfract4020014
APA StyleBéda, P. B. (2020). Fractional Derivatives and Dynamical Systems in Material Instability. Fractal and Fractional, 4(2), 14. https://doi.org/10.3390/fractalfract4020014
