Abstract
Forecasting of time series data presents some challenges because the data’s nature is complex and therefore difficult to accurately forecast. This study presents the design and development of a novel forecasting system that integrates efficient data processing techniques with advanced machine learning algorithms to improve time series forecasting across the sustainability domain. Specifically, this study focuses on solar irradiation forecasting in Riyadh, Saudi Arabia. Efficient and accurate forecasts of solar irradiation are important for optimizing power production and its smooth integration into the utility grid. This advancement supports Saudi Arabia in Vision 2030, which aims to generate and utilize renewable energy sources to drive sustainable development. Therefore, the proposed forecasting system has been developed to the parameters characteristic of the Riyadh region environment, including high solar intensity, dust storms, and unpredictable weather conditions. After the cleaning and filtering process, the filtered dataset was pre-processed using the standardization method. Then, the Discrete Wavelet Transform (DWT) technique has been applied to extract the features of the pre-processed data. Next, the extracted features of the solar dataset have been split into three subsets: train, test, and forecast. Finally, two different machine learning techniques have been utilized for the forecasting process: Support Vector Machine (SVM) and Gaussian Process (GP) techniques. The proposed forecasting system has been evaluated across different time horizons: one-day, five-day, ten-day, and fifteen-day ahead. Comprehensive evaluation metrics were calculated including accuracy, stability, and generalizability measures. The study outcomes present the proposed forecasting system which provides a more robust and adaptable solution for time-series long-term forecasting and complex patterns of solar irradiation in Riyadh, Saudi Arabia.
1. Introduction
Forecasting future patterns and trends based on past data is a foundation of decision making in many industries and fields, including energy management [1]. The knowledge of what is likely to occur has some usefulness in forecasting events and aiding those in particular organizations or positions in making more constructive decisions, investing resources, and preventing potential losses [2]. These forecasts are enabled through time series forecasting, a technique specifically designed to analyze data recorded in chronological order. In the past, the dominant area of forecasting has included statistical models like autoregressive integrated moving average, and exponential smoothing methods have given good results in some cases. Despite that simplification of the context allowed these solutions to be employed, they have several drawbacks with the increase of real-world data complexity [2]. Most actual time series have non-linear dependencies, subtle, and complex structures and are affected by extrinsic factors that are hard to frame in standard models [3]. This especially holds true in applications like renewable energy forecasting [4], given the fact that the consequences associated with wrong predictions of outcomes are very severe. Over the last few years, the use of Artificial Intelligence (AI) techniques has been seen to enhance the efficacy of time series forecasts. Some families of machine learning algorithms have the ability to model interactions with data and exhibit an almost remarkable capability to learn the temporal structure, allowing them to extract subtle patterns out of time series data [5]. In the case of large-size datasets, these techniques have been especially successful where non-linearity, noise, and seasonal variations have been present in real-life scenarios where all of those features are common.
Several researchers have started working on system development that can forecast solar irradiation in Saudi Arabia. For instance, Alghamdi [6] was concerned with the use of several classical machine learning techniques, including Convolutional Neural Network (CNN), K-Nearest Neighbor (KNN), SVM, Linear Regression (LR), and Random Forest (RF), in the construction of simple single forecast models. Boubaker et al. [7] used various Deep Neural Network (DNN) models, including Long–Short Term Memory (LSTM), Bi-directional LSTM (Bi-LSTM), Gated Recurrent Unit (GRU), Bi-GRU, CNN, and other hybrid configurations such as CNN-LSTM and CNN-Bi-LSTM. Alaraj et al. [8] developed a solar photovoltaic power forecasting system using different machine learning techniques such as SVM, Decision Tree (DT), and ensemble bagging and boost trees approaches to forecast the solar photovoltaic power with the help of various meteorological parameters. Alkhayat et al. [9] developed a forecasting system for Global Horizontal Irradiation for different regions in Saudi Arabia. In their study, LSTM, GRU, CNN, CNN-Bi-LSTM, and LSTM-AutoEncoder (AE) techniques have been used. Alwated et al. [10] used machine learning, Artificial Neural Networks (ANNs), RF, and LR to forecast solar radiation in Saudi Arabia. In another study, Boubaker et al. [11] used several different feed-forward ANNs for forecasting the Global Horizontal Irradiation. Aldosari et al. [12] compared and discussed the results of different machine learning techniques in forecasting the power produced by the 300 MW PV Power Plant. SVM, DT, and NN were used to classify the produced power as low, medium, and high power. Khalil [13] discussed the development of empirical correlations to forecast horizontal diffuse radiation energy for three locations in Saudi Arabia. Regression analysis was used to develop empirical models that relate to the diffuse fraction. Alwadei et al. [14] developed a forecasting system to forecast direct solar irradiance on a horizontal surface over the Arabian Peninsula using residual blocks with convolutional layers. Mohana et al. [15] applied another AI algorithm to forecast the generated power of a PV system for residential construction in Saudi Arabia. Least Absolute Shrinkage and Selection Operator (LASSO), RF, LR, Polynomial Regression (PR), Extreme Gradient Boosting, SVM, and deep learning models have been used. Kolsi et al. [16] used various AI models for forecasting solar energy yield in Saudi Arabia. They used naïve method, simple average, simple moving average, non-linear auto-regressive, SVM, GP, and NN. Alaraj et al. [17] used the max–min normalization method and the Salp Swarm-ANN model for forecasting. In the study of Alharbi et al. [18], the min–max normalization method is used with the Recurrent Neural Network (RNN), LSTM, GRU, and NeuroSpike network. Olawoyin-Yussuf [19] used a Temporal Convolutional Network (TCN) to extract the features of the dataset and LSTM, RNN, and CNN models for forecasting.
Regarding forecasting system architecture, most of the existing research in solar irradiance forecasting employs single-system strategies that do not harness the synergy afforded by using some of the most effective techniques of cleaning and filtering, data pre-processing, and data features engineering coupled with state-of-the-art machine learning techniques. These systems often overlook basic pre-processing steps and therefore do not effectively manage inevitable complications characteristic of time series data, including noise, outliers, and missing values. The lack of integration between sound data handling capabilities and advanced predictive analytics undermines the system’s ability to deliver accurate forecasts and limits its adaptability to changing environmental conditions. Therefore, there remains significant potential to enhance forecasting performance by integrating effective filtering techniques, efficient pre-processing approaches with advanced data features engineering methods, coupled with superior methodologies of machine learning. Regarding time-horizon forecasting, each study has employed a short-term time horizon for its forecasting. The time horizon, ranging from short-term forecasting to longer-term horizons, play a crucial role in the choice of the forecasting methodology and the complexity of the model. The choice of time horizon reflects the specific demands of the application, whether for immediate grid management or long-term energy planning. This variation in time horizons highlights the diversity in forecasting approaches and the importance of selecting an appropriate time frame to meet the unique needs of each study’s context. In the literature, we find that Alrashidi et al. [20] used a one-hour horizon while Alghamdi [6], Boubaker et al. [11], Alaraj et al. [8], Alkhayat et al. [9], Alwated et al. [10], Aldosari et al. [12], Khalil [13], Alwadei et al. [14], Mohana et al. [15], Kolsi et al. [16], Alaraj et al. [17], Alharbi et al. [18], and Olawoyin-Yussuf [19] used one-day time horizon forecasting. The majority of existing research on solar irradiance forecasting has focused on developing systems aimed short-term horizons, typically extending up to the next day. While working on these short-term models does provide useful inputs in terms of instantaneous energy management, they do not necessarily encompass the wider dynamics required for medium- to long-term forecasting. In focusing almost exclusively on short-term forecasting, however, we miss the opportunity to consider how long-term forecasting can contribute toward electrical systems planning and make decisions for strategic investments in renewable energy management. Sidestepping the importance of medium- and long-term forecasting in earlier studies illustrates a major disadvantage that reinforces our plea for systems that can provide accurate, robust forecasts at all timescales.
Regarding forecasting system evaluation, most of the existing studies applied limited evaluation metrics to assess the performance of their proposed forecasting systems. For instance, Alghamdi [6] centered his work on the application of determination coefficient , Root Mean Square Error (RMSE), relative RMSE (rRMSE), Mean Bais Error (MBE), Mean Absolute Bais Error (MABE), Mean Absolute Percentage Error (MAPE), and t-stat in the assessment of their forecasting system. Boubaker et al. [11] used Rank Correlation Coefficient (RCC), MAPE, MAE, Cumulation Distribution Function (CDF), and ESD. Alaraj et al. [8] applied four metrics: RMSE, Mean Absolute Error (MAE), Mean Square Error (MSE), and MAPE. Alkhayat et al. [9] also used four: MAE, RMSE, MAPE, and R2. Alwated et al. [10] used two metrics: RMSE and direction accuracy. In another study, Boubaker et al. [7] used three metrics: MAPE, R2, and RMSE. Aldosari et al. [12] evaluated their classification system using classification metrics. In the study of Khalil [13], the following three metrics were calculated: MBE, RMSE, and Mean Percentage Error (MPE). In the study of Alwadei et al. [14], three metrics have been applied: MSE, MAE, and R2. Mohana et al. [15] used one metric: MSE. Kolsi et al. [16] used two metrics: RMSE and MAPE. Alaraj et al. [17] used three metrics: RMSE, MSE, and MAPE. Alharbi et al. [18] used four metrics: RMSE, NRMSE, MSE, and MAE. Olawoyin-Yussuf [19] used three metrics RMSE, MAE, and R2. The forecasting systems built in the previous researches have metric criteria used to assess them that are sometimes very few and do not cover all the aspects of the models. A main challenge of using MAPE and MPE for the evaluation of the solar irradiance forecasting models takes place when the actual irradiance value is zero. Because both of these formulas contain division by the ‘actual’ value, it becomes the denominator and therefore becomes undefined or increases to an infinite in such conditions, leading to undesirable or unreliable ratios. This is especially so during the time of no irradiance for the PV panels, which include times of the night or the presence of a thick cloud layer, hence hampering accurate performance determination. As a result, a more reliable assessment of forecasting accuracy requires the use of metrics that address the presence of zeros more appropriately.
Regarding the utilized dataset, previous works have used data collected from areas whose climate is comparatively more stable and hence fail to capture some of the factors that arise with more dynamic climates. For example, Alghamdi [6] analyzed the daily GHI data using the Najran province dataset, while Boubaker et al. [11], Boubaker et al. [7], and Kolsi et al. [16] used the Hail City dataset. Alaraj et al. [8] developed a forecasting system using the Qassim region dataset, and Alwadei et al. [14] used the Rub Al Khali desert dataset. In the study of Mohana et al. [15], the Abha datasets have been used to evaluate the proposed forecasting system, while in the Mujabar and Venkateswara [21] study, the Jubail datasets have been employed. Aldosari et al. [12] discussed the results of using the Sakaka dataset. Alaraj et al. [17] evaluated their system using the Qassim dataset. Alharbi et al. [18] used the Riyadh dataset. Olawoyin-Yussuf [19] discussed the results using a dataset collected from the northern region of KSA. Most of the studies mentioned previously do not use the Riyadh region dataset, which experiences rapid changes in weather, such as high solar intensity, dust storms, and variations in the atmosphere, thus making the forecasting system more challenging.
In this study, we aim to address these gaps found in previous studies by presenting a simple, novel, and efficient forecasting system across different time horizons ranging between short-term and long-term forecasting and evaluating the proposed forecasting system using the Riyadh city dataset, which experiences fluctuating weather conditions compared to other regions, characterized by its unique combination of high temperatures, low humidity, and frequent dust storms, all of which significantly influence the accuracy and reliability of solar irradiation forecasting. In the present study, the solar dataset has been filtered and cleaned in order to remove the noise and outlier values to increase the quality of the dataset. The second step is using () standardization method to ensure all input parameters within the dataset contribute equally during model training, fostering robust and generalizable results. The third is extracting the features of the solar dataset from input parameters. While raw solar irradiation data hold valuable information, they might not directly capture all the underlying patterns and relationships that influence solar energy forecasting. The DWT technique is integrated into the proposed system architecture to treat this challenge by transforming the raw data into a more refined set of features (details and approximation coefficients) that are more informative and relevant for machine learning models. In the fourth step, the extracted features have been split and applied to the forecasting models. Two different machine learning models have been investigated as forecasting models. The proposed forecasting system has been evaluated across different time horizons: one-day, five-day, ten-day, and fifteen-day ahead forecasting. The rest of this paper is laid out as follows. Section 2 describes the utilized solar data and the following solar data processing methods: cleaning and filtering, preprocessing, feature extraction, feature splitting, forecasting techniques, and evaluation metrics. Section 3 contains the results and discussion as well as the strengths and weaknesses of the proposed forecasting system. Section 4 has been dedicated to the conclusion and potential future work options.
2. Materials and Methods
The methodology of solar irradiation forecasting in Saudi Arabia used in this study is designed. To develop an accurate forecasting system for solar irradiation, five main steps have been followed as shown in Figure 1, namely, solar irradiation dataset reading, pre-processing, feature extraction, forecasting, and evaluation. Each component is carefully chosen, implemented, and verified to maintain the highest levels of research integrity while also producing accurate and reliable results that contribute to the field’s existing body of knowledge. These proposed methods have been verified using MATLAB R2023a software simulation tools. In the following subsections, each stage has been presented and discussed in more detail, from the data description to the evaluation process.
Figure 1.
Block diagram of proposed system for solar irradiation forecasting in Riyadh, Saudi Arabia.
2.1. Data Description
In this study, the utilized datasets of solar irradiation were recorded from solar monitoring stations in Riyadh, Saudi Arabia and provided by the King Abdullah City for Atomic and Renewable Energy (K.A. CARE), a leading organization in Saudi Arabia dedicated to advancing renewable energy research and development. The collected dataset was collected for a 1 min resolution at the Riyadh station and with high-resolution measurements. These measurements include the Riyadh region features, which include high solar radiation, dust storms, and variability in weather. The datasets cover the period from 1 January 2021 to 31 July 2022, and they offer a comprehensive view of daily, seasonal, and annual solar irradiation patterns. The datasets contain the measurements of three components of solar irradiation: Global Horizontal Irradiation (GHI), Direct Normal Irradiation (DNI), and Diffuse Horizontal Irradiation (DHI), in addition to related meteorological parameters such as air temperature, relative humidity, wind speed, wind direction, and barometric station pressure. This rich dataset can be used as a basis for the assessment of the prospects for solar energy in the Riyadh region and for the development of forecasting models that would reflect its specific conditions as closely as possible. Table 1 presents the list of the attributes utilized for evaluation, and Table 2 introduces a statistical description for the attributes that have affected solar irradiation in the Riyadh region. The proposed system is evaluated by designating the GHI as the objective output.
Table 1.
Utilized solar attributes in this research domain.
Table 2.
The statistical description of the factors that have affected solar irradiation in Riyadh.
2.2. Data Cleaning and Filtering
In this section, we present the dataset cleaning/filtering process. The first step in data cleaning is missing values handling. Addressing missing values is a crucial step in solar irradiation dataset cleaning. In the proposed architecture, we identify and handle missing values presented by ‘NaN’ or ‘Inf’ values by removing rows with missing values. The second step in data cleaning is outlier detection and removal. The outlier values presented or other values have been detected and removed. The third step in data cleaning is data consistency. This step plays a vital role in ensuring the quality of the solar irradiation dataset to reduce noise and irregularities in a dataset while preserving essential patterns and trends. The inconsistent data have been checked, and the inconsistent values have been identified and repaired for enabling clearer and more accurate insights for analysis. Figure 2 shows the data inconsistency in the GHI data and the data after repairing the inconsistency.
Figure 2.
Raw data of GHI and the cleaned data.
2.3. Pre-Processing
After a meticulous data cleaning process of the solar irradiation dataset to address missing values and potential outliers, data scaling becomes a crucial step that ensures the raw dataset is transformed into a consistent scale, enhancing the machine learning performance. This process ensures all input parameters within the solar dataset operate within a comparable range of values and contribute equally during model training, fostering robust and generalizable results. In the domain of solar irradiation forecasting, where various factors like temperature, humidity, and atmospheric pressure can influence forecasts, the data scaling technique becomes particularly important. By carefully selecting and applying the scaling methods, we aim to create a level playing field for the features within the dataset, ultimately empowering our machine learning models to extract the most meaningful patterns from the solar irradiation data for superior forecasting performance. In this domain, a popular method has been used to scale the solar dataset features named () standardization method.
() Standardization method: The standardization method focuses on a specific target range; the mean-standard deviation method standardizes the data by centering them around a new mean value of 0 and scaling them by a new standard deviation of 1. For each input attribute in the dataset, the mean and standard deviation are calculated. For each data point x(n) in a particular input parameter, a new standardized value x′(n) is calculated using Equation (1):
where μ and σ are mean and standard deviation of input parameter.
Through this transformation, all input attributes are effectively standardized to have a mean of 0 and a standard deviation of 1 [22]. This process removes bias from the forecasting models introduced because of the scale difference of the input attributes and helps models to learn from the inherent patterns of data. This creates a standard normal distribution for each input parameter, assuming the original data were approximately normally distributed. Figure 3 presents the raw data of GHI and the data after the standardization transformation.
Figure 3.
Global Horizontal Irradiation before and after standardization transformation. (a): Before and (b): After.
2.4. Feature Engineering
In the field of solar energy forecasting, where accurate forecasting is paramount, feature extraction emerges as a critical technique for maximizing the performance of machine learning models. Although raw solar irradiation data contain valuable information, they may not fully capture all the underlying patterns and relationships that drive solar energy production. Feature extraction tackles this challenge by transforming the raw data into a more refined set of features that are more informative and relevant for machine learning models [23]. In this research domain, the DWT technique has been used to extract the features of the solar dataset.
DWT is a suitable technique to analyze non-linear and non-stationary signals with different frequencies and different resolutions, and it is a fast computation technique of WT, which is a filter-based technique. DWT analyzes the signal characteristics in the time and frequency domain [24]. DWT decomposes data signals into several functions using a single function called the mother function [25] as expressed by Equation (2):
where x and y are the scaling and shifting parameters, respectively, and S is the space of the wavelet. The wavelet transform is shown in Equation (3).
In the present work, DWT is employed because the highly efficient representation is provided by DWT, represented by Equation (4). By DWT, the pre-processed data have to pass through a low pass filter (LPF) and a high pass filter (HPF) to obtain the representation of the signal as an approximation (A1) and detail (D1) coefficients in the first level [26]:
where and represent the approximation and detail coefficients, respectively, n is the level, and ψ is the function of scale. The process of passing the signal through this pair of filters constitutes the first level of DWT decomposition. The output signals from LPF and HPF are expressed as the following equations:
where and are the wavelet filters [27,28].
In the second level, the approximation coefficients obtained in the first level (A1) were decomposed into approximation (A2) and detail (D2) coefficients, and this process was repeated until obtaining the approximation (An) and detail (Dn) coefficients in the last level. At the end of the process, detail coefficients in each level and approximation coefficients in the last level have been calculated as the solar data features. In this work, the Daubechies 4 (db4) has been employed as a mother wavelet function and four as a decomposition level to extract five important features (details coefficients: D1 to D4 and the last approximation coefficient A4) as shown in Figure 4. Figure 5 presents the DNI and its extracted features (D1-D4 and A4) using DWT based on the Riyadh dataset.
Figure 4.
DWT architecture based on four decomposition levels.
Figure 5.
DNI and extracted features (D1–D4 and A4) from DNI by DWT technique.
2.5. Data Features Splitting
In the world of solar irradiation forecasting, where harnessing the power of the sun necessitates precise forecasting, meticulously splitting the data into training, testing, and forecasting sets becomes a crucial step in the machine learning pipeline. This strategic division ensures the model is not only adept at learning from past data but also possesses the ability to generalize its knowledge and provide reliable forecasts for unseen future scenarios. In this study, the features have been split into three groups in order to enable an unbiased evaluation of model performance on unseen data that were not incorporated in the training process.
Training: The training set forms the foundation upon which the model learns. These data represent the extracted features from historical solar irradiation patterns and related meteorological parameters. By meticulously analyzing these features, the model establishes the relationships and patterns that govern solar irradiation.
Testing: Once trained, the model’s robustness is tested on the testing set. These unseen data, different from the training set, allow us to evaluate the model’s generalizability. Can it effectively apply its learned knowledge to forecast solar irradiation for data points it has not encountered before? A strong performance on the testing set instills confidence in the model’s ability to translate its learning to real-world forecasting tasks.
Forecasting: Finally, the forecasting set represents the true target—unseen future data points for which we want to forecast solar irradiation. With the completed training of the model and its proven ability to generalize on the testing set, the model can now confidently forecast future solar energy availability. Table 3 presents the utilized periods of training, testing, and forecasting based on different time horizons and the Riyadh city dataset.
Table 3.
Training, testing, and forecasting periods of the utilized dataset.
To determine whether the training and testing splits of Riyadh solar datasets are representative of extreme weather conditions such as dust storms, we find that Riyadh undergoes various cyclical fluctuations, which include high solar intensity in summer, dust storms in spring and summer, and low solar activity in winter. Dust storms are also frequent during the season starting from March up to May because of the activity of certain winds. The selected training period covers all types of weather, including the period of spring months, which is characterized by dust storms. The testing period coincides with the final stage of winter low solar activity and transition to spring and early increased solar activity accompanied by dust storms and variations in solar radiation. This ensures that the challenging conditions are incorporated into the testing period so that the accuracy of the proposed forecasting system can be effectively evaluated. In summary, it can be noted that the selected train and test periods look quite fine in terms of association with different weather conditions, including probable extremes.
2.6. Forecasting Model
Several machine learning models have been developed in this research to analyze the extracted features of the solar irradiation dataset that often exhibit significant complexity and non-linearities due to factors such as fluctuating weather conditions, seasonal variations, cloud cover, and dust storms, as mentioned before. SVM and GP have been used as forecasting modeling techniques. In the field of solar irradiation forecasting, the choice of the SVM and GP is caused by their capability to handle complex, non-linear patterns, which are characteristics often inherent in solar datasets. The combination of DWT with SVM and GP models improves the performance by decomposing the solar datasets into relevant features. DWT captures long- and short-term trends to reduce noise and make input data more suitable for SVM and GP. This step ensures that these models receive high-quality data to enable the models to focus on learning meaningful patterns.
Support Vector Machine (SVM): SVM has emerged as a powerful tool for machine learning. By utilizing SVM, an accurate and robust model can be developed to capture the complex patterns and dependencies in solar irradiation data, providing valuable insights for solar energy systems in Saudi Arabia. SVM deals with complexity in solar irradiation modeling by applying the kernel trick to map non-linear input complexities to solar irradiation complexities. For example, if the features that are being used in an analysis, such as temperature features and cloud cover, cannot easily be fit into a straight line, then SVM maps the data set onto a higher dimension in which linear analysis of the features is possible. In this new environment, SVM determines a boundary of reference (hyperplane) that best divides data points referential to dissimilar levels of solar irradiation. Several kernel functions applied in SVM building result in free boundaries that can fit the curved and complex patterns in the solar irradiation data. This ability enables SVM to identify relations between the variables in the dataset, thus being able to give accurate forecasts regardless of the weather changes.
SVM aims to find a function that approximates the true relationship between input features and a target while ensuring that the forecasted values deviate from the true values by no more than a specified margin, . For a given dataset , the goal is to find a linear function:
where is the weight vector, and is the bias term. The optimization problem is defined as:
subject to:
If the deviation exceeds , slack variables and are introduced to penalize the excess:
The new objective becomes:
where C > 0 is a regularization parameter controlling the trade-off between margin size and error tolerance. For non-linear relationships, SVM maps the input data to a high-dimensional feature space using a kernel function . The model becomes:
where and are Lagrange multipliers obtained by solving the dual form of the optimization problem [29,30,31]. SVM provides several advantages for solar irradiation forecasting:
Non-Linear Relationships: SVM can effectively model complex, non-linear relationships, making them well-suited for capturing the intricate patterns in solar data.
Robustness: SVM is known for its robustness to outliers and noise, which is particularly important in real-world applications where data quality might be imperfect.
Generalization: SVM has a strong ability to generalize to new data, ensuring the models can accurately forecast solar irradiation levels in different regions.
Efficiency: SVM is computationally efficient, making it suitable for large datasets and real-time applications.
Gaussian process (GP): GP offers a powerful and flexible framework for modeling and forecasting solar irradiation levels. GP treats the forecasting problem as a probabilistic process that directly incorporates the relationships between input features using a kernel function. Thus, GP can capture the inherent uncertainty and complex relationships present in solar data. Unlike SVM, which focuses on finding a separating boundary, GP predicts solar irradiation by modeling the entire function that maps inputs to outputs. With a suitable kernel function, GP can produce a smooth curve that adapts to fluctuations in solar irradiation caused by weather variations. A GP is a collection of random variables, any finite subset of which has a joint Gaussian distribution. For a function f(x), a GP is written as:
where
: Mean function, often assumed to be 0, i.e., .
: Covariance (kernel) function, which defines the relationship between points and .
For given a dataset , where are input features and are corresponding outputs, GP regression predicts for a new input . The joint distribution of observed outputs and predicted outputs is:
where
: Covariance matrix of observed inputs.
: Covariance between observed inputs and the new input.
: Noise variance [32,33,34].
The predictive distribution for is:
GP provides several advantages:
Probabilistic Forecasting: GP provides a probability distribution over possible future values, allowing for quantification of uncertainty and risk assessment.
Non-Linear Relationships: GP can effectively model non-linear relationships between input and output variables, which are often present in solar irradiation data.
Flexibility: GP offers flexibility, allowing for customization to different types of relationships. This enables the model to adapt to the features of solar irradiation data.
2.7. Evaluation Metrics
After carefully designing and training a machine learning model for solar irradiation forecasting, an accurate evaluation process becomes paramount. We must ensure the model accurately reflects the complex relationships between various factors and their influence on solar energy production. By employing a comprehensive suite of evaluation metrics, we can not only gauge the model’s forecasting accuracy but also gain valuable insights into its strengths and weaknesses. In this research domain, a comprehensive suite of evaluation metrics has been used. For target actual values and output forecasted values , where , and is the number of samples in the vector, then the error can be calculated by Equation (16).
Error mean (EM): EM emerges as a vital tool that illuminates the model’s strengths and weaknesses, guiding us toward continuous improvement. The error mean provides a quantitative measure of the average difference between the model’s forecasted values and the actual target values. EM can be calculated by Equation (17).
Error standard deviation (ESD): ESD emerges as a crucial tool for assessing the model’s consistency and spread of errors. ESD reveals how consistently a model performs and understands forecast variability. It provides a measure of the spread of errors around the mean. A low ESD indicates that errors tend to be clustered around the mean, suggesting a more consistent forecasting model. In contrast, a high ESD signifies more significant deviations from the mean, implying a less consistent model. ESD can be calculated using Equation (18).
Mean Absolute Error (MAE): MAE stands out as a powerful metric to evaluate the forecasting model, offering a clear and unbiased measure of a model’s forecasting performance. It calculates the average absolute difference between the model’s forecasted solar irradiation values and the actual observed values. A lower MAE signifies that the model’s forecasts are closer to reality [35]. MAE can be calculated using Equation (19).
Weighted Mean Absolute Percentage Error (wMAPE): wMAPE assigns weights to the errors based on the actual values, providing a more robust and informative assessment of forecasting accuracy. By weighting errors proportionally to the actual values, wMAPE effectively mitigates the impact of outliers and offers a more reliable evaluation of the model’s performance [36]. wMAPE can be calculated by Equation (20).
Sum Absolute Error (SAE): SAE provides a straightforward and interpretable measure of the overall forecasting error. By summing the absolute differences between forecasted and actual values, SAE offers a clear indication of the model’s accuracy. A lower SAE value indicates a smaller overall deviation from the true values, suggesting better forecasting performance [37]. SAE can be calculated using Equation (21).
Mean Squared Error (MSE): MSE calculates the average squared difference between the model’s forecasted values and the actual observed values. By squaring the errors, MSE emphasizes the impact of larger forecasting discrepancies. A lower MSE signifies that, on average, the model’s forecasts are closer to the actual observations [35]. MSE can be calculated using Equation (22).
Root Mean Squared Error (RMSE): Unlike metrics like MSE, RMSE takes the square root of the average squared error. This crucial step transforms the units of the error from squared units (e.g., ) back to the original units of the data (e.g., ). This makes RMSE a more intuitive and interpretable measure, allowing for easier comparison of forecasting errors and providing a clearer understanding of the model’s average deviation from perfect forecasts [35]. RMSE is calculated by Equation (23).
Normalized Root Mean Squared Error (NRMSE): Unlike RMSE, which is measured in the original units of the data (e.g., ), NRMSE expresses error as a normalized value between 0 and 1. This normalization is achieved by dividing the RMSE by the mean of the target actual values. This allows for a more straightforward comparison of forecasting performance across datasets with the mean [38]. NRMSE by mean can be calculated by Equation (24).
Determination Coefficient (): represents the proportion of the variance in the observed actual values that can be explained by the forecasting model. It ranges from 0 to 1, with a value of 1 indicating a perfect fit where the model explains all the variations in the data. A higher R-squared value suggests the model captures a larger portion of the variability in data, potentially translating to more accurate forecasts. can be calculated by Equation (25):
where is the mean of the observed actual values [39].
Rank correlation coefficient (RCC): RCC emerges as a powerful tool, offering insights into a model’s ability to capture the relative order of observed actual values, even if the exact magnitudes are not perfectly forecasted. RCC assesses the strength and direction of the monotonic relationship between forecasted and actual values. RCC assesses whether the model’s forecasting follows the same increasing or decreasing trend as the actual observations. RCC can be calculated using Equation (26):
where is the difference between ranks of observed actual values and forecasted values [40].
3. Results
Solar energy has emerged as a promising renewable energy source in Saudi Arabia, with vast potential for meeting the country’s growing energy demands. Accurate forecasting of solar irradiation is essential for optimizing the performance of solar power plants and ensuring grid stability. This section presents the key findings and the outcomes of the conducted experiments regarding solar irradiation forecasting in Riyadh, KSA, and evaluates the performance of the proposed approaches across various time horizons. The presented results help to provide a robust and reliable forecasting system. We explore how the integration of proposed techniques contributed to the forecasting accuracy and robustness. By meticulously examining these results and understanding the accuracy of our models, we aim to illuminate the efficacy of the proposed system in the forecasting of solar irradiation in Riyadh, KSA. We have applied the forecasting models to a dataset of solar irradiation measurements collected in Riyadh, the capital city of Saudi Arabia, to assess the performance of our forecasting models in a representative urban environment with extreme weather conditions. By evaluating the models’ accuracy and robustness in a densely populated urban setting, we can gain insights into their applicability to real-world solar energy systems in Saudi Arabia. Four forecasting scenarios have been investigated: one-day, five-day, ten-day, and fifteen-day ahead, and the proposed system has been evaluated according to those scenarios.
As mentioned before, the solar dataset has been processed through different steps. The cleaning and filtering process has been performed for the raw solar dataset. Then, the standardization method has been applied for filtered data. Next, DWT was used for feature extraction. After the splitting process of extracted features, SVM and GP techniques have been utilized for forecasting. Finally, the proposed system performance has been evaluated.
3.1. One-Day Horizon
The results of the one-day-ahead forecasting experiments are presented in this section, offering a comprehensive analysis of the model’s performance in capturing the intricate patterns of the Global Horizontal Irradiation variable. The evaluation metrics and visualizations provided here highlight the system’s predictive accuracy, consistency, and ability to adapt to the nuances of the data. The findings serve as a benchmark for understanding the efficiency of the proposed forecasting system, setting the stage for further exploration into longer time horizons as shown in the next sections. The results presented in Table 4 offer a comprehensive evaluation of the proposed forecasting models when applied to the Riyadh dataset for one-day ahead forecasting. Ten evaluation metrics have been employed to evaluate the proposed system’s robustness and generalization. Regarding EM and ESD, the values for the train and test datasets show a noticeable difference for the SVM model; this generates challenges in capturing complex patterns. The GP model shows a much smaller ESD, which indicates better consistency in forecasts. Regarding MAE and SAE, the SVM model presents higher values; this indicates less accuracy forecasts compared to the GP model. The GP model achieves much lower values in the training period to generate the capacity to produce closer predictions to the target values. Based on the WMAPE, the GP model outperforms the SVM across both training and testing periods; this confirms its ability to maintain prediction accuracy. According to MSE and RMSE, the GP model has notably lower values during the training period; this shows its ability to handle larger errors effectively. From NRMSE values, the GP model achieves much lower in the training period compared to the SVM; this reflects its better suitability for data normalization and consistent predictions. Regarding R2, the GP model achieves higher values in both training and testing to reflect better overall performance in explaining the variance in the dataset. Regarding RCC, the values for both models are relatively close to indicate similar ranking performance. However, the GP model consistently achieves slightly higher RCC values to generate better alignment with the ranking of actual data points. In summary, the GP model presents high performance in most metrics, especially in the training period; it shows minimal errors and higher consistency. While both models introduce a drop in performance on the test dataset, the GP maintains a clear edge in most evaluation indicators, making it the more robust choice for one-day ahead solar forecasting. Figure 6 provides the visual analysis of the models’ output evaluation for train and test periods. The visual analysis demonstrates that the forecasted GHI closely aligns with the target GHI for both the training and testing periods in the one-day ahead forecasting scenario. While the GP model demonstrated superior training performance compared to the SVM, the evaluation of their test outputs revealed approximately equivalent accuracy, indicating equivalent predictive capabilities under test conditions. In summary, the metrics shown in Table 4 and visualizations in Figure 6 demonstrate the strong performance of the models, highlighting their ability to accurately forecast solar irradiation levels in the urban environment of Riyadh, Saudi Arabia, based on one-day ahead forecasting.
Table 4.
Forecasting model’s performance based on one-day ahead forecasting for Riyadh dataset.
Figure 6.
Train and test output evaluation of SVM and GP based on one− day ahead forecasting. (a): Train Output evaluation and (b): Test Output evaluation. The observed trends indicate that both models effectively capture the periodicity of solar irradiation, reflecting daily solar cycles. The plots in the insets show overall performance by the model on the whole dataset. GP has generally lower fluctuation than SVM, especially during peak irradiation periods, but SVM is more sensitive to the changes in irradiance value.
3.2. Five-Day Horizon
Solar irradiation forecast five days in advance is important in medium-term energy planning and management, especially in the utilization of solar power in the microgrid, scheduling, and dispatch of resources in a grid system and incorporating renewable power into the overall energy mix with higher reliability. This section gives the findings of the five days ahead forecasting experiments in an attempt to determine how well the model is performing on the medium-term forecasting. The evaluation targets the model’s reliability, efficiency, and flexibility assessed by thorough quantities and graphic representations. These results only contribute to showing how the proposed forecasting system can provide a solution in connection with the issues that arise concerning the medium-term forecasts. Table 5 presents a comprehensive evaluation of the proposed forecasting models in terms of five-day ahead forecasting on the Riyadh dataset. Also, ten metrics have been employed to evaluate the proposed accuracy, robustness, and reliability. Regarding MAE and SAE, the metrics show that the GP model substantially outperforms the SVM model in training to achieve much lower errors. In testing, the performance gap between the models narrows, though the GP model still maintains slightly better accuracy. Based on the WMAPE, the metrics confirm the GP model’s high forecasting accuracy in both periods compared to SVM. Regarding MSE and RMSE, the GP model achieves smaller values during the training period to illustrate its high capacity to handle larger errors effectively. Although the GP model maintains lower values in testing, both metrics increase considerably for both models to indicate reduced test period accuracy. Due to NRMSE, the GP model’s value is much smaller during training; this reflects better error normalization. During testing, NRMSE increases for both models, with the SVM model performing slightly worse. R2 values show the GP model’s superior ability to explain variance in both periods. SVM shows a lower R2 in both periods; this indicates its weaker explanatory power compared to GP. RCC values for the GP model are slightly higher than those of the SVM in both periods. This suggests the GP model aligns better with the ranking of actual data points to make it more reliable for forecasts. In summary, the GP model outperforms the SVM model across most metrics, especially in the training period. The GP model is the preferred choice for accurate and robust five-day ahead solar forecasting in the Riyadh region. Figure 7 shows the visual analysis of the models’ output evaluation for train and test periods based on five-day ahead forecasting. The visual analysis reveals that the forecasted GHI closely matches the target GHI with minimal error across both the training and testing periods in the five-day ahead forecasting scenario. From Table 5 and Figure 7, it can be seen that the forecasting models provided higher accuracy and reliability in the five-day ahead solar irradiation forecasting analysis to support medium-term planning and management across the sector.
Table 5.
Forecasting model’s performance based on five-day ahead forecasting for Riyadh dataset.
Figure 7.
Train and test output evaluation of SVM and GP based on five−day ahead forecasting (a): Train Output and (b): Test Output. The insets highlight model performance over the complete dataset for train and test periods. Both models successfully replicate the periodic nature of GHI, with GP consistently providing smoother forecasts, particularly during peak irradiation, whereas SVM captures finer fluctuations. These trends demonstrate the appropriateness of both procedures for solar irradiation forecasting during different seasons and under different environmental conditions.
3.3. Ten-Day Horizon
A longer forecasting period introduces additional challenges due to the increased variability and uncertainty in solar patterns, but ten-day-ahead solar radiation forecasting is crucial for strategic energy planning, enabling grid operators and planners to allocate resources, schedule maintenance, and balance supply and demand. It supports reliable and smooth integration of solar energy into the grid, enhances decision-making, and improves renewable energy management, reducing dependence on traditional energy sources. This section is dedicated for presenting the results of the proposed forecasting system evaluation. The numerical analysis of the model’s evaluation metrics for ten-day ahead forecasting has been introduced in Table 6. Regarding MAE and SAE, the metrics highlight that the GP model outperforms the SVM model in both periods. For training, GP achieves notably lower MAE and SAE compared to SVM. In testing, GP maintains a slight advantage in error reduction. The WMAPE confirms the GP model’s superior performance; this achieves a lower value across both periods. Regarding MSE and RMSE, both metrics show the GP model’s better handling of large prediction errors during training. The GP model records much lower MSE and RMSE than SVM. During testing, GP maintains a performance. Regarding NRMSE, the GP model demonstrates lower values during both periods, highlighting its superior error normalization and consistent performance over time. R2 values show the GP model’s stronger ability to explain the variance in both data compared to SVM to illustrate its better generalization capabilities. RCC values for the GP model are slightly higher in both training and testing periods to generate better alignment with the true ranking of data points compared to SVM. In summary, the GP model outperforms the SVM model in all metrics for ten-day ahead forecasting. The GP model presents superior generalization capabilities and stability for extended forecasting horizons, and this makes it the more effective approach for medium-term solar forecasting in the Riyadh region. The visual analysis of train and test output evaluation is presented in Figure 8. From the obtained visual analysis shown in Figure 8, it can be inferred that the forecasted GHI is extremely close to the target GHI in the ten-day ahead forecasting window, and the minimum error was seen during both the training and testing phases. The metrics and visualizations demonstrate the strong performance of the models, highlighting their ability to accurately forecast solar irradiation levels for ten-day ahead forecasting in the urban environment of Riyadh. The proposed forecasting system demonstrates promising performance for ten-day ahead forecasting, effectively handling the fluctuating weather conditions characteristic of Riyadh solar data.
Table 6.
Forecasting model’s performance based on ten-day ahead forecasting for Riyadh dataset.
Figure 8.
Train and test output evaluation of SVM and GP based on ten−day ahead forecasting (a): Train Output and (b): Test Output. The GP model maintains a close fit to the target values, showing robustness during high solar irradiation periods. The SVM model presents low accuracy during peak values and periods of sudden changes, highlighting its sensitivity to extreme conditions. The inset demonstrates the performance of the models during recurrent training and testing processes, highlighting the superiority of GP to dynamically changing conditions as opposed to the SVM.
3.4. Fifteen-Day Horizon
Fifteen-day ahead forecasting plays a critical role in evaluating the robustness and reliability of proposed forecasting systems. This extended time horizon challenges the proposed forecasting system to maintain accuracy over a longer period for providing a comprehensive assessment of its predictive capabilities under varying conditions. Fifteen-day ahead forecasting tests the system’s ability to capture complex temporal patterns and account for the inherent uncertainty in solar irradiation data over a longer time. By successfully forecasting fifteen days in advance, the system demonstrates its flexibility, adaptability, and robustness, which are crucial attributes for real-world applications. Additionally, such evaluations highlight the system’s reliability in supporting long-term decision-making processes, reinforcing confidence in its performance for large-scale and critical operations in the solar energy sector.
Table 7 displays the quantitative evaluation of the performance of the forecasting model for fifteen-day ahead forecasting as an added feature of the proposed system. This numeric-based assessment offers tangible values, which makes it possible to determine the ability and strength of the model in the intended longer forecast period. Based on the fifteen-day ahead forecasting scenario, regarding MAE and SAE, the GP model outperforms SVM in both training and testing periods; this generates a lower average error across forecasts and confirms its superior ability to minimize total deviations from true values. For WMAPE, the metric demonstrates the GP model’s superior ability to handle proportional errors across both periods, emphasizing its reliability for extended forecast horizons. Regarding MSE and RMSE, the metrics show the GP model’s significant advantage in both periods. This indicates that GP effectively handles large forecasting deviations. For NRMSE, GP achieves lower values in both periods compared to SVM to confirm its robustness and error normalization efficiency. Regarding R2, GP introduces a stronger ability to explain the variance in the dataset with higher R2 values in both periods. RCC values indicate that GP maintains better consistency in ranking forecasts with actual values during both periods. In summary, the GP model presents clear superiority over the SVM model in most performance metrics for fifteen-day ahead forecasting. The GP model’s performance reflects its ability to adapt well for long-term horizons. This makes it the more reliable choice for extended solar irradiation forecasting. In this regard, Figure 9 presents the mechanism to forecast the model outcome during both training and testing periods based on fifteen-day ahead forecasting. This analysis provides an intuition about how the model behaves in terms of prediction and enables us to compare its performance with actual solar irradiation and to discover all the differences. Together, the numerical and graphical evaluations display that the forecast system can work robustly and efficiently to achieve long-term forecasts.
Table 7.
Forecasting model’s performance based on fifteen-day ahead forecasting.
Figure 9.
Train and test output evaluation of SVM and GP based on fifteen-day ahead forecasting (a): Train Output and (b): Test Output. GP shows a closer alignment to the target values compared to SVM, effectively capturing both peak irradiation levels and daily variations. However, SVM exhibits noticeable deviations, particularly during low-irradiation periods, reflecting its limited ability to generalize under these scenarios. The inset demonstrates GP’s superior consistency in representing seasonal variations over the training and testing periods.
Figure 10 presents the forecasted GHI using SVM and GP models for various time horizons. The models statistically perform well in forecasts across various time horizons, as evidenced by the capability of the models to forecast a GHI very close to its actual value. This analysis shows that for all time horizons, their performance is characterized by similar levels of stability, reliability, and robustness. Figure 11 is a bar plot that presents the performance comparison of SVM and GP models using various evaluation metrics across different forecasting horizons (One-Day, Five-Day, Ten-Day, and Fifteen-Day) for both training and testing periods.
Figure 10.
Forecasted GHI of SVM and GP across four time-horizon forecasting. (a) A one−day forecast, showing that both models capture the daily pattern with high accuracy and strong short-term predictive performance. (b) A five−day forecast, the models maintain consistency and robustness, effectively tracking the periodicity of solar irradiation. (c) A ten−day forecast, revealing minor deviations but still showing robust and reliable performance. (d) A fifteen−day forecast, showing the models’ capability to handle longer time horizons with reliable performance and high accuracy.
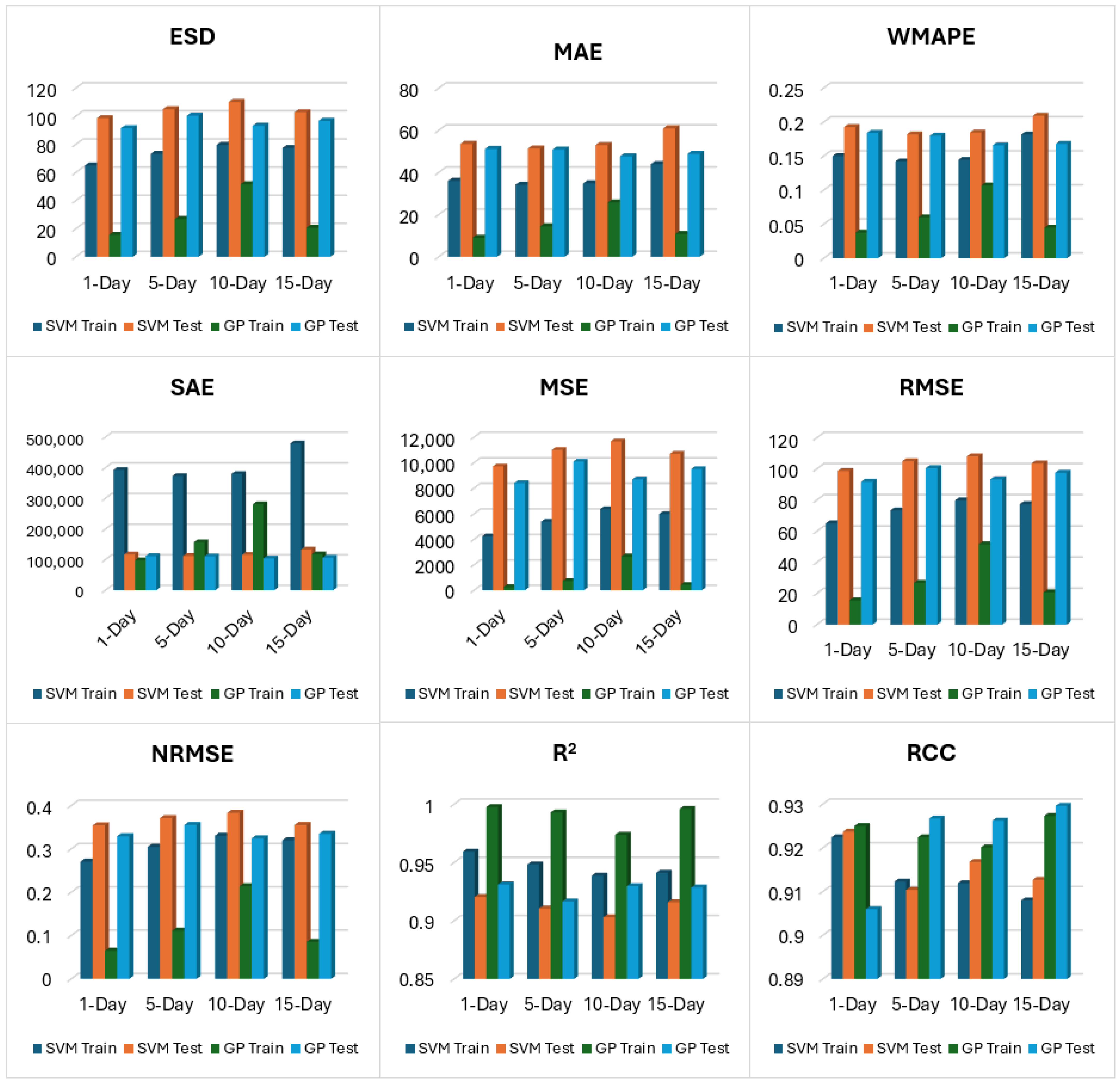
Figure 11.
Performance comparison of SVM and GP models using various error metrics across different forecasting horizons (One−Day, Five−Day, Ten−Day, and Fifteen−Day) for both training and testing periods. GP outperforms SVM in most metrics, particularly during longer forecasting horizons (Ten−Day and Fifteen−Day), as seen in lower RMSE and MSE and higher R2 and RCC values. SVM demonstrates competitive performance in shorter horizons (One−Day and Five−Day) but struggles to generalize effectively as the forecast horizon increases. The gap between GP and SVM widens in testing periods, highlighting GP’s superior ability to handle data variability and capture trends over extended periods.
Finally, the individual comparisons between our work and the previous studies presented in the literature review highlight several key differences: proposed forecasting system architecture, evaluation metrics, time horizons, and utilized datasets. Regarding forecasting system architecture, our study distinguishes itself through the integration of a smoothing filtering technique, a standardization method, and a DWT technique with machine learning models, including SVM and GP, providing a robust approach that can capture both linear and non-linear patterns in solar irradiation patterns in the Riyadh region, Saudi Arabia. This strong approach offers greater flexibility and accuracy in handling complex time-series data for solar irradiation. Many of the other studies focus primarily on either traditional machine learning or deep learning, but without integrating the preprocessing approaches and advanced feature extraction techniques with machine and deep learning models. Regarding evaluation metrics, our study employs a more extensive set of error metrics. These additional metrics give us a more comprehensive view of the model’s performance, capturing both accuracy and bias, which many of the other studies do not account for. This multi-faceted evaluation framework ensures that our models are not only accurate but also efficient and reliable. In the existing body of research on solar irradiance forecasting, each study has employed limited evaluation metrics to assess the performance of their proposed forecasting systems. Regarding time horizons, while many studies limit their horizon to a one-day ahead forecast, our study extends to one, five, ten, and fifteen days, making our models more useful for both short-term, medium-term, and long-term forecasting. This allows us to provide more actionable insights for decision-makers who need longer-term forecasts for planning and resource allocation. In the literature, we find most of the studies used only one-day horizon forecasting. Regarding the dataset, previous works have used data collected from areas whose climate is comparatively more stable and hence fail to capture some of the factors that arise with more dynamic climates. Unlike the studies mentioned previously, our study employed the dataset recorded from Riyadh, which experienced rapid changes in weather, such as high solar intensity, dust storms, and variations in the atmosphere, thus making the forecasting system more challenging. Table 8 presents a comparison between previous studies and our work, highlighting differences in system architecture, evaluation metrics, forecasting time horizons, and utilized datasets.
Table 8.
Comparison of the proposed work with previous studies, highlighting differences in system architecture, evaluation metrics, forecasting horizons, and utilized dataset.
The proposed forecasting system, which was built and tested using the Riyadh solar irradiation data, different metrics, and four different time-horizon forecasts from one day to fifteen days ahead, reveals considerable robustness and flexibility. The authors propose that the methodological framework of utilizing the data accumulated over time and applying efficient data processing techniques as well as machine learning algorithms may be applied to other regions facing similar environmental conditions. Apart from solar energy forecasting, the use of the methodology proposed here can be extended to other kinds of renewable energy sources. For instance, in wind energy forecasting, the system could use wind speed and direction as inputs for produced power. The forecasting framework can be generalized to adapt to various renewable energy challenges via tuning and training the various models on the appropriate datasets collected from the domain in question. The above approach may be generalized in that it is presented in a modular design and anchored on a credible feature extraction method, this one guaranteeing that it extracts the best features of the environmental challenges and efficient machine learning models, thus capturing the complicated patterns of extreme weather conditions. This adaptability not only demonstrates the potential for applying the model in other locations; it wants to ensure that those areas with sophisticated and fluctuating climatic variables consider its resource as a key success to enhance the uptake of renewable resources.
3.5. Strengths of the Proposed Method
The proposed forecasting system demonstrates several strengths, establishing it as a robust and effective system for time series forecasting in solar irradiation and potentially other domains:
- Integration of Advanced Feature Extraction technique: By employing the DWT for feature extraction, the proposed system effectively captures short-term and long-term variability in solar irradiation data. The ability to break the data down into its components guarantees that the model focuses on essential patterns in highly volatile, filtered data such as that collected in Riyadh.
- Utilization of Powerful Machine Learning Models: The use of SVM and GP as forecasting models adds significant value to the system. SVM is an efficient algorithm for handling high-dimensional data, while GP presents probabilistic forecasts along with measures of uncertainty. Thus, those features are important in forecasting and decision-making processes.
- Adaptability to Environmental Challenges: The proposed system is designed to address the challenges and difficulties raised by different types of weather changes, including dust storms and high temperatures that are proportional in the Riyadh region. This flexibility introduces the methodology’s potential for non-linearities and sudden changes in the solar irradiation data, which is not a characteristic of conventional forecasting methods.
- Robustness and Reliability: Extensive evaluation of the proposed system across multiple time horizons and fluctuating environmental conditions demonstrates its robustness and stability. Accurate forecasts of the generation of solar power are essential for proper planning of how solar power can be integrated into utility systems to form part of the larger sustainability plans of KSA Vision 2030.
3.6. Weaknesses of the Proposed Method
The drawbacks of the study can be summarized as follows:
- Computational Complexity: The combination of standardization method, DWT for feature extraction and forecasting models such as SVM and GP increases the complexity of the computational methods. This may prove disadvantageous in dealing with big data or in real-time forecasting, for instance.
- Limited Exploration of Alternative Techniques: The study focused on both the SVM and GP models, which are stable and efficient, with leaving behind exploration of other state-of-the-art machine learning and deep learning techniques, like ensemble learning techniques or recurrent neural networks, which may offer better accuracies as well as the ability to capture more complex patterns that are non-linear in nature.
- Uncertainty in Long-Term Forecasts: While the system produces satisfactory forecasting accuracy within different time horizons, the accuracy of forecasting for periods longer than fifteen days might be lower. Thus, the proposed forecasting system needs to be evaluated across time horizons longer than fifteen days ahead.
4. Conclusions
The non-linearity, complexity, and the inherent variety in time series data make accurate forecasting a difficult task, and we need robust models that can provide reliable forecasting. This study focuses on developing a robust and reliable forecasting system by combining efficient data processing techniques with advanced machine learning approaches to address the challenge of solar irradiation forecasting in Riyadh, Saudi Arabia. The proposed forecasting system has been designed to start with a data-cleaning process. After data cleaning, the data have been pre-processed using the standardization method. Then, the DWT technique has been applied to extract the features of the pre-processed data. Next, the extracted features have been split into three sets: training, testing, and forecasting set. Finally, two different machine-learning approaches have been utilized for forecasting purposes. The key findings of the proposed forecasting system, utilizing SVM and GP across various time horizons, are summarized in the Table 9. Specifically addressing the challenges inherent to the Riyadh region climate, Saudi Arabia, the proposed forecasting system generated more reliable forecasting over a variety of time horizons from one-day ahead to fifteen-day ahead. This multi-horizon capability enhances the proposed system’s effectiveness for solar energy planning, making it a vital tool for advancing energy resource allocation toward achieving renewable energy goals.
Table 9.
Key findings of the proposed forecasting system for the testing period based on SVM and GP across different time-horizons.
In future work, various machine and deep learning techniques will be explored, and the proposed system will be evaluated using datasets collected from different regions across time horizons exceeding fifteen days.
Author Contributions
Conceptualization, F.A.A. and Y.B.S.; methodology, K.A.; software, K.A.; validation, M.A. and A.M.A.; formal analysis, K.A.; investigation, K.A.; resources, M.A.; data curation, K.A.; writing—original draft preparation, K.A.; writing—review and editing, M.A. and A.M.A.; visualization, K.A.; supervision, F.A.A. and Y.B.S.; project administration, F.A.A.; funding acquisition, F.A.A. All authors have read and agreed to the published version of the manuscript.
Funding
This work was supported by the Researchers Supporting Project number (RSP2025R252), King Saud University, Riyadh, Saudi Arabia.
Data Availability Statement
The dataset is provided by the King Abdullah City for Atomic and Renewable Energy (K.A. CARE), Saudi Arabia, Riyadh.
Acknowledgments
The authors would like to acknowledge the Researchers Supporting Project at King Saud University, Riyadh, Saudi Arabia.
Conflicts of Interest
The authors declare no conflicts of interest.
Symbols and Abbreviations
| AE | Auto-Encoder |
| AI | Artificial Intelligence |
| ANN | Artificial Neural Network |
| ATp | Air Temperature |
| BPr | Barometric Pressure |
| Bi-GRU | Bi-directional Gated Recurrent Unit |
| Bi-LSTM | Bi-directional Long-Short Term Memory |
| CNN | Convolutional Neural Network |
| DHI | Diffuse Horizontal Irradiation |
| DNI | Direct Normal Irradiation |
| DNN | Deep Neural Network |
| DT | Decision Tree |
| DWT | Discrete Wavelet Transform |
| EM | Error mean |
| ESD | Error Standard Deviation |
| GP | Gaussian Process |
| GRU | Gated Recurrent Unit |
| HPF | High-Pass Filter |
| K.A. CARE | King Abdullah City for Atomic and Renewable Energy |
| KNN | K-Nearest Neighbor |
| LASSO | Least Absolute Shrinkage and Selection Operator |
| LPF | Low-Pass Filter |
| LR | Linear Regression |
| LSTM | Long-Short Term Memory |
| MAE | Mean Absolute Error |
| MAPE | Mean Absolute Percentage Error |
| MBE | Mean Bais Error |
| MPE | Mean Percentage Error |
| MSE | Mean Square Error |
| NN | Neural Network |
| NRMSE | Normalized Root Mean Square Error |
| PR | Polynomial Regression |
| RCC | Rank Correlation Coefficient |
| RHu | Relative Humidity |
| RF | Random Forest |
| RMSE | Root Mean Square Error |
| RNN | Recurrent Neural Network |
| SAE | Sum Absolute Error |
| SVM | Support Vector Machine |
| XGBoost | Extreme Gradient Boosting |
| WD3 | Wind Direction at 3 m |
| WMAPE | Weighted Mean Absolute Percentage Error |
| WS3 | Wind Speed at 3 m |
| Statistical mean | |
| Statistical Standard Deviation | |
| Determination Coefficient |
References
- Hong, T.; Pinson, P.; Wang, Y.; Weron, R.; Yang, D.; Zareipour, H. Energy Forecasting: A Review and Outlook. IEEE Open Access J. Power Energy 2020, 7, 376–388. [Google Scholar] [CrossRef]
- Petropoulos, F.; Apiletti, D.; Assimakopoulos, V.; Babai, M.Z.; Barrow, D.K.; Ben Taieb, S.; Bergmeir, C.; Bessa, R.J.; Bijak, J.; Boylan, J.E.; et al. Forecasting: Theory and practice. Int. J. Forecast. 2022, 38, 705–871. [Google Scholar] [CrossRef]
- Cheng, C.; Sa-Ngasoongsong, A.; Beyca, O.; Le, T.; Yang, H.; Kong, Z.; Bukkapatnam, S.T. Time series forecasting for nonlinear and non-stationary processes: A review and comparative study. IIE Trans. 2015, 47, 1053–1071. [Google Scholar] [CrossRef]
- Maimó-Far, A.; Tantet, A.; Homar, V.; Drobinski, P. Predictable and unpredictable climate variability impacts on optimal renewable energy mixes: The example of Spain. Energies 2020, 13, 5132. [Google Scholar] [CrossRef]
- Makridakis, S.; Spiliotis, E.; Assimakopoulos, V. Statistical and Machine Learning forecasting methods: Concerns and ways forward. PLoS ONE 2018, 13, e0194889. [Google Scholar] [CrossRef]
- Alghamdi, H.A. A Time Series Forecasting of Global Horizontal Irradiance on Geographical Data of Najran Saudi Arabia. Energies 2022, 15, 928. [Google Scholar] [CrossRef]
- Boubaker, S.; Kamel, S.; Kchaou, M. Prediction of Daily Global Solar Radiation using Resilient-propagation Artificial Neural Network and Historical Data: A Case Study of Hail, Saudi Arabia. Eng. Technol. Appl. Sci. Res. 2020, 10, 5228–5232. [Google Scholar] [CrossRef]
- Alaraj, M.; Kumar, A.; Alsaidan, I.; Rizwan, M.; Jamil, M. Energy Production Forecasting from Solar Photovoltaic Plants Based on Meteorological Parameters for Qassim Region, Saudi Arabia. IEEE Access 2021, 9, 83241–83251. [Google Scholar] [CrossRef]
- Alkhayat, G.; Hasan, S.H.; Mehmood, R. SENERGY: A Novel Deep Learning-Based Auto-Selective Approach and Tool for Solar Energy Forecasting. Energies 2022, 15, 6659. [Google Scholar] [CrossRef]
- Alwated, B.; Brahimi, T. Solar Radiation Forecasting in Saudi Arabia Using Machine Learning. In Proceedings of the 2021 International Conference on Computers and Automation (CompAuto), Paris, France, 7–9 September 2021; pp. 1–6. [Google Scholar]
- Boubaker, S.; Benghanem, M.; Mellit, A.; Lefza, A.; Kahouli, O.; Kolsi, L. Deep Neural Networks for Predicting Solar Radiation at Hail Region, Saudi Arabia. IEEE Access 2021, 9, 36719–36729. [Google Scholar] [CrossRef]
- Aldosari, O.; Batiyah, S.; Elbashir, M.; Alhosaini, W.; Nallaiyagounder, K. Performance Evaluation of Multiple Machine Learning Models in Predicting Power Generation for a Grid-Connected 300 MW Solar Farm. Energies 2024, 17, 525. [Google Scholar] [CrossRef]
- Khalil, S.A. Prediction of the Diffuse Solar Energy on Horizontal at Different Selected Locations. Energy Power Eng. 2022, 14, 635–651. [Google Scholar] [CrossRef]
- Alwadei, S.; Farahat, A.; Ahmed, M.; Kambezidis, H.D. Prediction of Solar Irradiance over the Arabian Peninsula: Satellite Data, Radiative Transfer Model, and Machine Learning Integration Approach. Appl. Sci. 2022, 12, 717. [Google Scholar] [CrossRef]
- Mohana, M.; Saidi, A.S.; Alelyani, S.; Alshayeb, M.J.; Basha, S.; Anqi, A.E. Small-scale solar photovoltaic power prediction for residential load in saudi arabia using machine learning. Energies 2021, 14, 6759. [Google Scholar] [CrossRef]
- Kolsi, L.; Al-Dahidi, S.; Kamel, S.; Aich, W.; Boubaker, S.; Ben Khedher, N. Prediction of Solar Energy Yield Based on Artificial Intelligence Techniques for the Ha’il Region, Saudi Arabia. Sustainability 2023, 15, 774. [Google Scholar] [CrossRef]
- Alaraj, M.; Alsaidan, I.; Kumar, A.; Rizwan, M.; Jamil, M. Advanced Intelligent Approach for Solar PV Power Forecasting Using Meteorological Parameters for Qassim Region, Saudi Arabia. Sustainability 2023, 15, 9234. [Google Scholar] [CrossRef]
- Alharbi, A.; Ahmed, U.; Alharbi, T.; Mahmood, A. Neuromorphic Computing-Based Model for Short-Term Forecasting of Global Horizontal Irradiance In Saudi Arabia. IEEE Access 2024, 12, 137642–137655. [Google Scholar] [CrossRef]
- Olawoyin-Yussuf, D.; Mohandes, M.; Liu, B.; Rehman, S. Solar radiation forecasting using attention-based temporal convolutional network. In Renewable Energy: Generation and Application; Materials Research Forum LLC: Millersville, PA, USA, 2024; pp. 88–95. [Google Scholar] [CrossRef]
- Alrashidi, M.; Alrashidi, M.; Rahman, S. Global solar radiation prediction: Application of novel hybrid data-driven model. Appl. Soft Comput. 2021, 112, 107768. [Google Scholar] [CrossRef]
- Mujabar, S.; Venkateswara, R.C. Empirical models for estimating the global solar radiation of Jubail Industrial City, the Kingdom of Saudi Arabia. SN Appl. Sci. 2021, 3, 95. [Google Scholar] [CrossRef]
- Singh, D.; Singh, B. Investigating the impact of data normalization on classification performance. Appl. Soft. Comput. 2020, 97, 105524. [Google Scholar] [CrossRef]
- Wang, F.; Zhen, Z.; Mi, Z.; Sun, H.; Su, S.; Yang, G. Solar irradiance feature extraction and support vector machines based weather status pattern recognition model for short-term photovoltaic power forecasting. Energy Build. 2015, 86, 427–438. [Google Scholar] [CrossRef]
- Sarna, M.L.; Hossain, M.R.; Islam, M.A. Islam Comparative Analysis of STFT and Wavelet Transform in Time-Frequency Analysis of Non-Stationary Signals. Int. J. Nov. Res. Eng. Sci. 2024, 11, 72–78. [Google Scholar]
- Osadchiy, A.; Kamenev, A.; Saharov, V.; Chernyi, S. Signal processing algorithm based on discrete wavelet transform. Designs 2021, 5, 41. [Google Scholar] [CrossRef]
- Alturki, F.A.; AlSharabi, K.; Abdurraqeeb, A.M.; Aljalal, M. EEG signal analysis for diagnosing neurological disorders using discrete wavelet transform and intelligent techniques†. Sensors 2020, 20, 2505. [Google Scholar] [CrossRef] [PubMed]
- Rohmah, Y.S.; Dinata, I.; Nurmantris, D.A. Performance comparison of Orthogonal Wavelet Division Multiplexing (OWDM) system using discrete wavelet transform and wavelet packet transform on Rayleigh channel. In Proceedings of the 2016 IEEE Asia Pacific Conference on Wireless and Mobile (APWiMob), Bandung, Indonesia, 13–15 September 2016; pp. 104–108. [Google Scholar] [CrossRef]
- Mukherjee, N.; Chattopadhyaya, A.; Chattopadhyay, S.; Sengupta, S. Discrete-Wavelet-Transform and Stockwell-Transform-Based Statistical Parameters Estimation for Fault Analysis in Grid-Connected Wind Power System. IEEE Syst. J. 2020, 14, 4320–4328. [Google Scholar] [CrossRef]
- Smola, A.J.; Schölkopf, B. A tutorial on support vector regression. Stat. Comput. 2004, 14, 199–222. [Google Scholar] [CrossRef]
- Hu, Z.; Bao, Y.; Xiong, T. Electricity load forecasting using support vector regression with memetic algorithms. Sci. World J. 2013, 2013, 292575. [Google Scholar] [CrossRef] [PubMed]
- Dash, R.K.; Nguyen, T.N.; Cengiz, K.; Sharma, A. Fine-tuned support vector regression model for stock predictions. Neural Comput. Appl. 2023, 35, 23295–23309. [Google Scholar] [CrossRef]
- Murphy, K.P. Machine Learning: A Probabilistic Perspective; MIT Press: Cambridge, MA, USA, 2012. [Google Scholar]
- Yoo, Y.; Jung, S. Modeling forecast errors for microgrid operation using Gaussian process regression. Sci. Rep. 2024, 14, 2166. [Google Scholar] [CrossRef] [PubMed]
- Yang, W.; Feng, Y.; Wan, J.; Wang, L. Sparse Gaussian Process Regression for Landslide Displacement Time-Series Forecasting. Front. Earth Sci. 2022, 10, 944301. [Google Scholar] [CrossRef]
- Chen, C.; Twycross, J.; Garibaldi, J.M. A new accuracy measure based on bounded relative error for time series forecasting. PLoS ONE 2017, 12, e0174202. [Google Scholar] [CrossRef] [PubMed]
- Busari, G.A.; Lim, D.H. Crude oil price prediction: A comparison between AdaBoost-LSTM and AdaBoost-GRU for improving forecasting performance. Comput. Chem. Eng. 2021, 155, 107513. [Google Scholar] [CrossRef]
- Karunasingha, D.S. Root mean square error or mean absolute error? Use their ratio as well. Inf. Sci. 2022, 585, 609–629. [Google Scholar] [CrossRef]
- Manathunga, V.; Zhu, D. Unearned premium risk and machine learning techniques. Front. Appl. Math. Stat. 2022, 8, 1056529. [Google Scholar] [CrossRef]
- Renaud, O.; Victoria-Feser, M.P. A robust coefficient of determination for regression. J. Stat. Plan. Inference 2010, 140, 1852–1862. [Google Scholar] [CrossRef]
- Nascimento, J.; Pinto, T.; Vale, Z. Day-ahead electricity market price forecasting using artificial neural network with spearman data correlation. In Proceedings of the 2019 IEEE Milan PowerTech, Milan, Italy, 23–27 June 2019. [Google Scholar]
Disclaimer/Publisher’s Note: The statements, opinions and data contained in all publications are solely those of the individual author(s) and contributor(s) and not of MDPI and/or the editor(s). MDPI and/or the editor(s) disclaim responsibility for any injury to people or property resulting from any ideas, methods, instructions or products referred to in the content. |
© 2025 by the authors. Licensee MDPI, Basel, Switzerland. This article is an open access article distributed under the terms and conditions of the Creative Commons Attribution (CC BY) license (https://creativecommons.org/licenses/by/4.0/).










