Experimental Analysis of the Three Dimensional Flow in a Wells Turbine Rotor †
Abstract
1. Introduction
2. Experimental Facility
- of transducer’s full-scale (1 kPa) for the wall pressure measurement at the ambient side;
- of transducer’s full-scale (7 kPa) for the wall pressure measurement at the piston side;
- of sensor’s full-scale ( Nm) for the output torque;
- of sensor full scale (1000 mm) for the piston position.
3. Measuring Technique
- mean velocity % of the actual value,
- flow angle deg,
- radial position mm.
4. Results
4.1. Inlet Flow
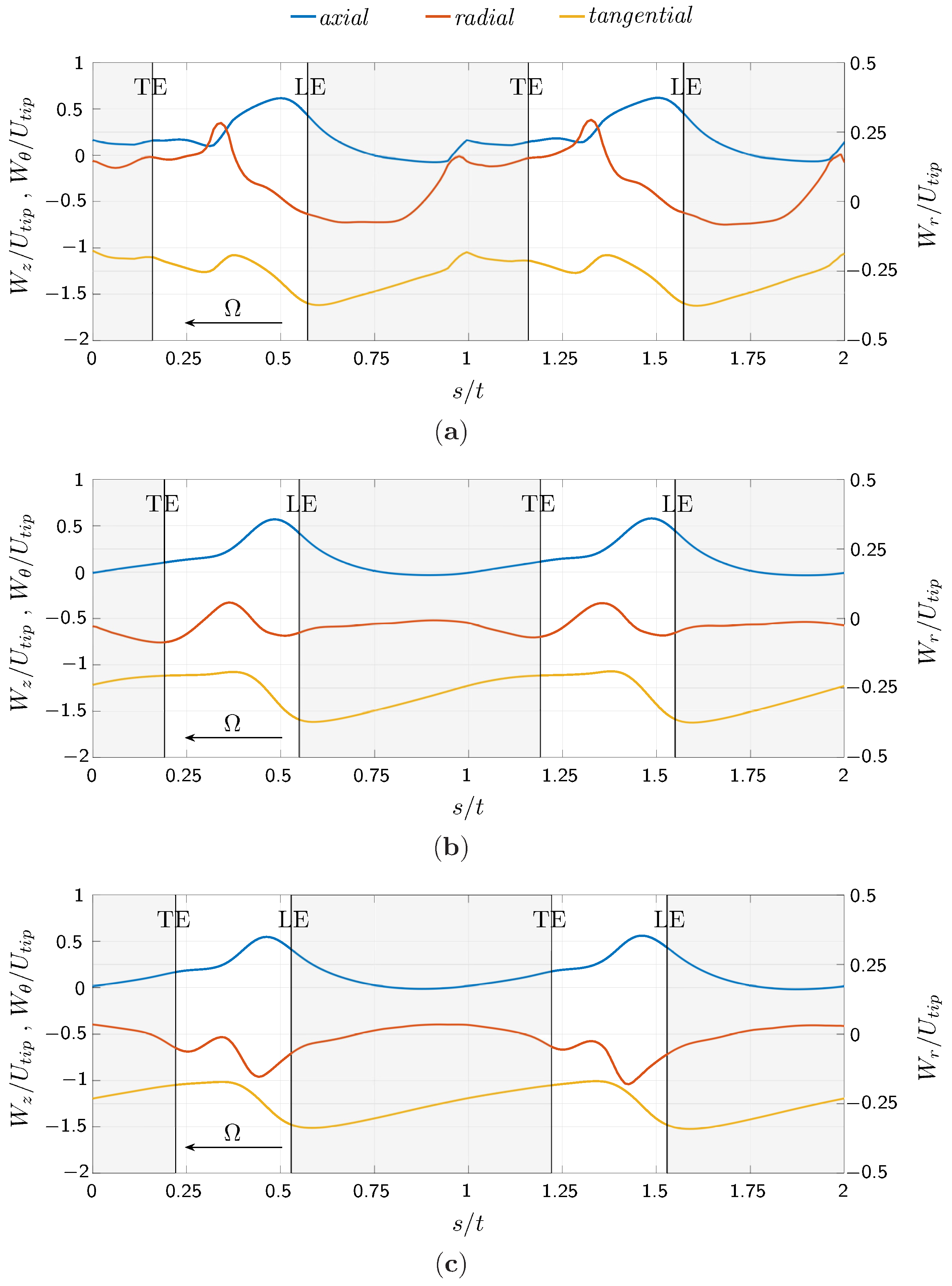
4.2. Flow Structures at the Turbine’s Outlet
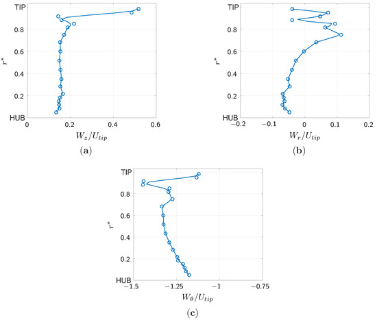
4.3. Radial Distribution of Tangentially Averaged Flow
4.4. Rotor Performance
5. Conclusions
- The tip leakage flow has been shown to play a significant role in modifying the clean flow distribution downstream of the rotor; its interaction with the flow at the suction side produces a vortex in the tip region that encompasses a relevant portion of the blade channel, due to the relatively high hub-to-tip ratio of the tested rotor.
- The variable rotor solidity along the blade span contributes to distortion of the flow field at higher radii, as the flow moves to higher radii where the space in between the blades is larger;
- The regions affected by the presence of the leakage vortex result in negative values of the exchanged work, thus the overall output work from the rotor is sensibly reduced.
Author Contributions
Funding
Institutional Review Board Statement
Informed Consent Statement
Data Availability Statement
Conflicts of Interest
Nomenclature
| Acronyms | |
| HWA | hot-wire anemometer |
| OWC | Oscillating Water Column |
| WEC | Wave Energy Converter |
| Dimensional properties | |
| C | absolute flow velocity |
| c | blade chord |
| D | rotor diameter |
| f | turbine rotational frequency |
| l | Euler work |
| angular velocity | |
| s | circumferential position |
| t | blade pitch |
| piston period | |
| U | peripheral rotor speed |
| piston velocity | |
| W | relative flow velocity |
| piston position | |
| z | number of blades |
| Non-dimensional properties | |
| work coefficient | |
| hub-to-tip ratio | |
| flow coefficient | |
| pressure drop coefficient | |
| Re | Reynolds’ number |
| non-dimensional turbine radius | |
| torque coefficient | |
| turbulence intensity | |
| Subscripts and superscripts | |
| 1 | turbine’s inlet |
| 2 | turbine’s outlet |
| hub | turbine hub |
| LE | leading edge |
| r | radial direction |
| ref | reference value |
| TE | trailing edge |
| tangential direction | |
| tip | turbine tip |
| z | axial direction |
References
- Pelc, R.; Fujita, R. Renewable energy from the ocean. Mar. Policy 2002, 26, 471–479. [Google Scholar] [CrossRef]
- Aderinto, T.; Li, H. Ocean Wave Energy Converters: Status and challenges. Energies 2018, 11, 1250. [Google Scholar] [CrossRef]
- Falcão, A.F.O. Wave energy utilization: A review of the technologies. Renew. Sustain. Energy Rev. 2010, 14, 899–918. [Google Scholar] [CrossRef]
- Wells, A.A. Fluid Driven Rotary Transducer. BR Patent 1595700, 13 November 1976. [Google Scholar]
- Raghunathan, S.; Tan, C.P.; Ombaka, O.O. Performance of the Wells self-rectifying air turbine. Aeronaut. J. 1985, 89, 369–379. [Google Scholar] [CrossRef]
- Curran, R.; Gato, L.M.C. The energy conversion performance of several types of Wells turbine designs. Proc. Inst. Mech. Eng. Part A J. Power Energy 1997, 211, 133–145. [Google Scholar] [CrossRef]
- Paderi, M.; Puddu, P. Experimental investigation in a Wells turbine under bi-directional flow. Renew. Energy 2013, 57, 570–576. [Google Scholar] [CrossRef]
- Torresi, M.; Stefanizzi, M.; Gurnari, L.; Filianoti, P.; Camporeale, S. Experimental Characterization of the Unsteady Performance Behavior of a Wells Turbine Operating at High Flow Rate Coefficients. In Proceedings of the 75th Italian National Congress ATI, Rome, Italy, 15–16 September 2020; Volume 197, p. 08009. [Google Scholar] [CrossRef]
- Licheri, F.; Ghisu, T.; Cambuli, F.; Puddu, P. Detailed investigation of the local flow-field in a Wells turbine coupled to an OWC simulator. Renew. Energy 2022, 197, 583–593. [Google Scholar] [CrossRef]
- Alves, J.S.; Gato, L.M.C.; Falcão, A.F.O.; Henriques, J.C.C. Experimental investigation on performance improvement by mid-plane guide-vanes in a biplane rotor Wells turbine for wave energy conversion. Renew. Sustain. Energy Rev. 2021, 150, 111497. [Google Scholar] [CrossRef]
- Licheri, F.; Ghisu, T.; Cambuli, F.; Puddu, P. Experimental Analysis of the Three Dimensional Flow in a Wells Turbine Rotor. In Proceedings of the 15th European Turbomachinery Conference, Paper n. ETC2023-148, Budapest, Hungary, 24–28 April 2023; Available online: https://www.euroturbo.eu/publications/conference-proceedings-repository/ (accessed on 21 May 2023).
- Puddu, P.; Paderi, M.; Manca, C. Aerodynamic characterization of a Wells turbine under bi-directional airflow. In Proceedings of the 68th Italian National Congress ATI, Bologna, Italy, 11–13 September 2013; Volume 45, pp. 278–287. [Google Scholar] [CrossRef]
- Fujita, H.; Kovasznay, L.S.G. Measurement of Reynolds Stress by a Single Rotated Hot Wire Anemometer. Rev. Sci. Instruments 1968, 39, 1351–1355. [Google Scholar] [CrossRef]
- He, X. Measurement with a Rotating Slant-Sensor Probe; Dantec Information; Tonsbakken 16–18 DK-2740 Skovlunde Denmark; DANTEC Elektronik: Copenhagen, Denmark, 1988; pp. 9–12. [Google Scholar]
- Puddu, P. Tip leakage flow characteristics downstream of an axial flow fan. In Proceedings of the ASME 1996 International Gas Turbine and Aeroengine Congress and Exhibition, Birmingham, UK, 10–13 June 1996; Volume 1. Turbomachinery. [Google Scholar] [CrossRef]
- Jørgensen, F.E. Directional Sensitivity of Wire and Fiber Film Probes; Tech. Rep. DISA Information, N. 11; DISA Elektronik A/S, DK-2740 Skovlunde Denmark; DANTEC Elektronik: Copenhagen, Denmark, 1971; pp. 11–31. [Google Scholar]
- Lòpez Penã, F.; Arts, T. The rotating slanted hot wire anemometer in practical use. In Proceedings of the 2nd International Conference on Experimental Fluid Mechanics (ICEFM ‘94), Torino, Italy, 4–8 July 1994; pp. 388–399. [Google Scholar]
- King, L.V.; Barnes, H.T. XII. On the convection of heat from small cylinders in a stream of fluid: Determination of the convection constants of small platinum wires with applications to hot-wire anemometry. Philos. Trans. R. Soc. Lond. Ser. A Contain. Pap. Math. Phys. Character 1914, 214, 373–432. [Google Scholar] [CrossRef]
- Erriu, N.; Mandas, N.; Puddu, P. Alcune considerazioni sulla valutazione dell’incertezza nelle misure con anemometro a filo caldo. In Proceedings of the VII MIS-MAC Conference, Quartu S. Elena, Italy, 21 April 2001. [Google Scholar]
- Nurzia, F.; Puddu, P. Experimental investigation of secondary flows in a low hub-tip ratio fan. In Proceedings of the ASME 1994 International Gas Turbine and Aeroengine Congress and Exposition, The Hague, The Netherlands, 13–16 June 1994; Volume 1. Turbomachinery. [Google Scholar] [CrossRef]
- Licheri, F.; Puddu, P.; Cambuli, F.; Ghisu, T. Experimental Investigation on a Speed Controlled Wells Turbine for Wave Energy Conversion. In Proceedings of the ASME 2022 41st International Conference on Ocean, Offshore and Arctic Engineering, Hamburg, Germany, 5–10 June 2022; Volume 8. Ocean Renewable Energy. [Google Scholar] [CrossRef]
- Licheri, F.; Cambuli, F.; Puddu, P.; Ghisu, T. A comparison of different approaches to estimate the efficiency of Wells turbines. J. Fluids Eng. 2021, 143, 051205. [Google Scholar] [CrossRef]










| rotor tip dia, | 250 mm |
| rotor hub dia, | 190 mm |
| tip clearance | 1 mm |
| chord length, c | 36 mm |
| number of blades, z | 12 |
| airfoil profile | NACA 0015 |
| solidity | 0.625 |
| sweep ratio | 0.5 (18/36) |
| hub-to-tip ratio, | 0.76 |
| piston stroke amplitude | ≈850 mm |
| piston period, | 7 s |
| turbine rotational frequency, f | 65 Hz |
| flow coefficient of the mean flow at rotor tip radius, | ≈0.195 |
| Reynolds’ number based on blade chord and on the mean outlet relative velocity | ≈ |
Disclaimer/Publisher’s Note: The statements, opinions and data contained in all publications are solely those of the individual author(s) and contributor(s) and not of MDPI and/or the editor(s). MDPI and/or the editor(s) disclaim responsibility for any injury to people or property resulting from any ideas, methods, instructions or products referred to in the content. |
© 2023 by the authors. Licensee MDPI, Basel, Switzerland. This article is an open access article distributed under the terms and conditions of the Creative Commons Attribution (CC BY-NC-ND) license (https://creativecommons.org/licenses/by-nc-nd/4.0/).
Share and Cite
Licheri, F.; Ghisu, T.; Cambuli, F.; Puddu, P. Experimental Analysis of the Three Dimensional Flow in a Wells Turbine Rotor. Int. J. Turbomach. Propuls. Power 2023, 8, 21. https://doi.org/10.3390/ijtpp8030021
Licheri F, Ghisu T, Cambuli F, Puddu P. Experimental Analysis of the Three Dimensional Flow in a Wells Turbine Rotor. International Journal of Turbomachinery, Propulsion and Power. 2023; 8(3):21. https://doi.org/10.3390/ijtpp8030021
Chicago/Turabian StyleLicheri, Fabio, Tiziano Ghisu, Francesco Cambuli, and Pierpaolo Puddu. 2023. "Experimental Analysis of the Three Dimensional Flow in a Wells Turbine Rotor" International Journal of Turbomachinery, Propulsion and Power 8, no. 3: 21. https://doi.org/10.3390/ijtpp8030021
APA StyleLicheri, F., Ghisu, T., Cambuli, F., & Puddu, P. (2023). Experimental Analysis of the Three Dimensional Flow in a Wells Turbine Rotor. International Journal of Turbomachinery, Propulsion and Power, 8(3), 21. https://doi.org/10.3390/ijtpp8030021

