Numerical Fatigue Analysis of a Prototype Francis Turbine Runner in Low-Load Operation †
Abstract
1. Introduction
2. Prototype Site Measurements
3. CFD Analysis
3.1. Discretization of the Prototype Francis Turbine
3.2. CFD Setup
3.2.1. Steady CFD Setup
3.2.2. Unsteady CFD Setup
3.2.3. Transient CFD Setup
3.2.4. Vortex Identification Criteria
3.3. Results and Discussion of the CFD Analysis
3.3.1. Steady State CFD Analysis and Grid Independence Study
3.3.2. Unsteady CFD
3.3.3. Transient CFD
4. FEM Analysis and Runner Fatigue
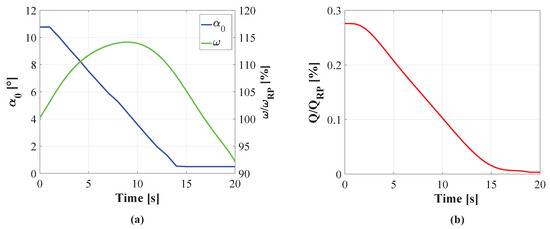
4.1. Transient FEM Simulations
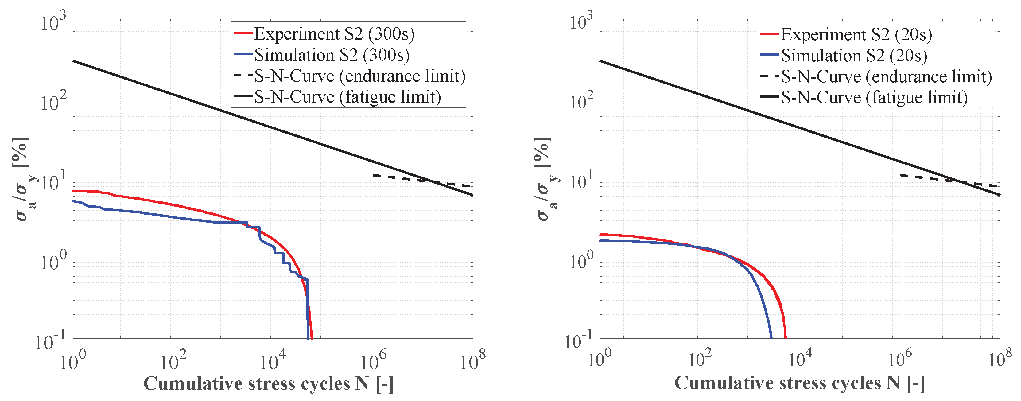
4.2. Fatigue Assessment
5. Conclusions
Author Contributions
Funding
Acknowledgments
Conflicts of Interest
Abbreviations
| Acronyms | |
| CDS | Central deference scheme |
| CFD | Computational fluid dynamics |
| CMO | Condenser-mode-operation |
| D | Pressure side |
| DT | Draft tube |
| GGI | General grid interface |
| FEM | Finite element method |
| FFT | Fast Fourier transform |
| FSI | Fluid–structure interaction |
| GV | Guide vanes |
| NSE | Navier–Stokes equations |
| RANS | Reynolds averaged NSE |
| R1 | T-rosette |
| RN | Runner |
| RP | Rated point |
| RSI | Rotor-stator interaction |
| S | Suction side |
| SAS | Scale adaptive simulation |
| SC | Spiral casing |
| SST | Shear stress transport |
| SV | Stay vanes |
| URANS | Unsteady RANS |
| Greek Symbols | |
| Guide vane opening, [] | |
| Mess stiffness, [-] | |
| Tailwater head, [m] | |
| Volume of the cell, [] | |
| Mesh displacement, [m] | |
| Efficiency, [-] | |
| Control volume, [] | |
| Eigenvalues, [-] | |
| ∇ | Nabla operator, [-] |
| Water density, [] | |
| Stress amplitude, [] | |
| Yield strength, [] | |
| Normalized Parameters, [-] | |
| Unsymmetrical part of the NSE, [-] | |
| Angular velocity, [] | |
| Latin Symbols | |
| Stiffness coefficient, [-] | |
| Outer diameter (RN Inlet), [m] | |
| Relative error, [-] | |
| f | Frequency, [] |
| Rotational Frequency, [] | |
| Grid convergence index, [-] | |
| H | Head, [m] |
| h | Cell size, [m] |
| Normalized cell size, [-] | |
| Number of cells, [-] | |
| Specific speed, [] | |
| P | Power, [] |
| p | Pressure, [] |
| Order of accuracy, [-] | |
| Dynamic pressure (RN outlet), [] | |
| Q | Discharge, [] |
| R | Convergence Ratio, [-] |
| r | Refinement factor, [-] |
| Symmetrical part of the NSE, [-] | |
| Circumferential velocity (RN outlet), [] | |
| Absolute wall distance, [-] |
References
- Balsalobre-Lorente, D.; Shahbaz, M.; Roubaud, D.; Farhani, S. How economic growth, renewable electricity and natural resources contribute to CO2 emissions? Energy Policy 2018, 113, 356–367. [Google Scholar] [CrossRef]
- Escaler, X.; Egusquiza, E.; Farhat, M.; Avellan, F.; Coussirat, M. Detection of cavitation in hydraulic turbines. Mech. Syst. Signal Process. 2006, 20, 983–1007. [Google Scholar] [CrossRef]
- Eichhorn, M.; Taruffi, A.; Bauer, C. Expected load spectra of prototype Francis turbines in low-load operation using numerical simulations and site measurements. J. Phys. 2017, 813, 012052. [Google Scholar] [CrossRef]
- Seidel, U.; Mende, C.; Hübner, B.; Weber, W.; Otto, A. Dynamic loads in Francis runners and their impact on fatigue life. In Proceedings of the IOP Conference Series: Earth and Environmental Science, Montreal, QC, Canada, 22–26 September 2014; Volume 22, p. 032054. [Google Scholar]
- Dörfler, P.; Bloch, R.; Mayr, W.; Hasler, O. Vibration tests on a high-head (740 m) Francis turbine: Field test results from Hausling. In Proceedings of the IAHR 14th Symposium on Hydraulic Machinery and Systems, Section for Hydraulic Machinery, Trondheim, Norway, 20–23 June 1988; Desbaillets, J., Ed.; TAPIR Publ: Trondheim, Norway, 1988; pp. 241–252. [Google Scholar]
- Doujak, E.; Eichhorn, M. An Approach to Evaluate the Lifetime of a High Head Francis runner. In Proceedings of the 16th International Symposium on Transport Phenomena and Dynamics of Rotating Machinery, Honolulu, HI, USA, 10–15 April 2016. [Google Scholar]
- Coutu, A.; Chamberland-Lauzon, J. The impact of flexible operation on Francis runners. Int. J. Hydropower Dams 2015, 22, 90–93. [Google Scholar]
- Benra, F.K.; Dohmen, H.J.; Pei, J.; Schuster, S.; Wan, B. A comparison of one-way and two-way coupling methods for numerical analysis of fluid–structure interactions. J. Appl. Math. 2011, 2011, 853560. [Google Scholar] [CrossRef]
- Huang, X.; Oram, C.; Sick, M. Static and dynamic stress analyses of the prototype high head Francis runner based on site measurement. In Proceedings of the IOP Conference Series: Earth and Environmental Science, Montreal, QC, Canada, 22–26 September 2014; IOP Publishing: Bristol, UK, 2014; Volume 22, p. 032052. [Google Scholar]
- Jakobsen, K.R.G.; Holst, M.A. CFD simulations of transient load change on a high head Francis turbine. J. Phys. 2017, 782, 012002. [Google Scholar] [CrossRef]
- Pavesi, G.; Cavazzini, G.; Ardizzon, G. Numerical simulation of a pump–turbine transient load following process in pump mode. J. Fluids Eng. 2018, 140, 021114. [Google Scholar] [CrossRef]
- Minakov, A.; Sentyabov, A.; Platonov, D. Numerical investigation of flow structure and pressure pulsation in the Francis-99 turbine during startup. J. Phys. 2017, 82, 012004. [Google Scholar] [CrossRef]
- Nicolle, J.; Giroux, A.; Morissette, J. CFD configurations for hydraulic turbine startup. In Proceedings of the IOP Conference Series: Earth and Environmental Science, Montreal, QC, Canada, 22–26 September 2014; IOP Publishing: Bristol, UK, 2014; Volume 22, p. 032021. [Google Scholar]
- Jošt, D.; Škerlavaj, A.; Morgut, M.; Mežnar, P.; Nobile, E. Numerical simulation of flow in a high head Francis turbine with prediction of efficiency, rotor stator interaction and vortex structures in the draft tube. J. Phys. 2015, 579, 012006. [Google Scholar] [CrossRef]
- Eichhorn, M.; Doujak, E. Impact of different operating conditions on the dynamic excitation of a high head francis turbine. In Proceedings of the ASME 2016 International Mechanical Engineering Congress and Exposition, Phoenix, AZ, USA, 11–17 November 2016; American Society of Mechanical Engineers: New York, NY, USA, 2016; p. V04AT05A035. [Google Scholar]
- Unterluggauer, J.; Eichhorn, M.; Doujak, E. Fatigue analysis of Francis turbines with different sepcific speeds using site measurements. In Proceedings of the 19th International Seminar on Hydropower Plants, Vienna, Austria, 9–11 November 2016; Technische Universität Wien, Ed.; Eigenverlag: Wien, Austria, 2016. [Google Scholar]
- Unterluggauer, J.; Doujak, E.; Bauer, C. Fatigue analysis of a prototype Francis turbine based on strain gauge measurements. In Proceedings of the 20th International Seminar on Hydropower Plants, Vienna, Austria, 14–16 November 2018; Technische Universität Wien, Ed.; Eigenverlag: Wien, Austria, 2018. [Google Scholar]
- Mühlbacher, K. Measurement Data Analysis of a Prototype Francis Turbine Site Measurement. Master’s Thesis, TU Wien, Wien, Austria, 2019. [Google Scholar]
- Dörfler, P.; Sick, M.; Coutu, A. Flow-Induced Pulsation and Vibration in Hydroelectric Machinery: Engineer’s Guidebook for Planning, Design and Troubleshooting; Springer Science & Business Media: Berlin, Germany, 2012. [Google Scholar]
- International Electrotechnical Commission. Field Acceptance Tests to Determine the Hydraulic Performance of Hydraulic Turbines, Storage Pumps and Pump-Turbines: IEC60041—1991.0; International Electrotechnical Commission: Geneva, Switzerland, 1991. [Google Scholar]
- Celik, B.; Ghia, U.; Roache, P.; Freitas, C.; Coleman, H.; Raad, P. Procedure for Estimation and Reporting of Uncertainty Due to Discretization in CFD Applications. J. Fluids Eng. 2008, 130, 78001. [Google Scholar] [CrossRef]
- Trivedi, C.; Cervantes, M.J.; Gandhi, B.K.; Dahlhaug, O.G. Experimental and numerical studies for a high head Francis turbine at several operating points. J. Fluids Eng. 2013, 135, 111102. [Google Scholar] [CrossRef]
- Chen, Q.; Zhong, Q.; Qi, M.; Wang, X. Comparison of vortex identification criteria for planar velocity fields in wall turbulence. Phys. Fluids 2015, 27, 085101. [Google Scholar] [CrossRef]
- Jeong, J.; Hussain, F. On the identification of a vortex. J. Fluid Mech. 1995, 285, 69–94. [Google Scholar] [CrossRef]
- Ali, M.S.M.; Doolan, C.J.; Wheatley, V. Grid convergence study for a two-dimensional simulation of flow around a square cylinder at a low Reynolds number. In Proceedings of the Seventh International Conference on CFD in The Minerals and Process Industries, Melbourne, Australia, 9–11 December 2009; pp. 1–6. [Google Scholar]
- Eça, L.; Hoekstra, M. A procedure for the estimation of the numerical uncertainty of CFD calculations based on grid refinement studies. J. Comput. Phys. 2014, 262, 104–130. [Google Scholar] [CrossRef]
- Roache, P.J. Quantification of uncertainty in computational fluid dynamics. Annu. Rev. Fluid Mech. 1997, 29, 123–160. [Google Scholar] [CrossRef]
- Welch, P. The use of fast Fourier transform for the estimation of power spectra: a method based on time averaging over short, modified periodograms. IEEE Trans. Audio Electroacoust. 1967, 15, 70–73. [Google Scholar] [CrossRef]
- Trethewey, M. Window and overlap processing effects on power estimates from spectra. Mech. Syst. Signal Process. 2000, 14, 267–278. [Google Scholar] [CrossRef]
- Vekve, T. An Experimental Investigation of Draft Tube Flow. Ph.D. Thesis, Norvegian University of Science and Technology, Trondheim, Norway, 2004. [Google Scholar]
- Akima, H. A new method of interpolation and smooth curve fitting based on local procedures. J. ACM 1970, 17, 589–602. [Google Scholar] [CrossRef]
- Trivedi, C.; Cervantes, M.; Gandhi, B. Investigation of a high head Francis turbine at runaway operating conditions. Energies 2016, 9, 149. [Google Scholar] [CrossRef]
- Maly, A.; Eichhorn, M.; Bauer, C. Experimental investigation of transient pressure effects in the side chambers of a reversible pump turbine model. In Proceedings of the 19th International Seminar on Hydropower Plants, Vienna, Austria, 9–11 November 2016; Technische Universität Wien, Ed.; Eigenverlag: Wien, Austria, 2016; pp. 675–684. [Google Scholar]
- Johannesson, P. Extrapolation of load histories and spectra. Fatigue Fract. Eng. Mater. Struct. 2006, 29, 209–217. [Google Scholar] [CrossRef]










| [m] | 2 |
| [-] | 23 |
| [-] | 24 |
| [-] | 13 |
| Domain | SC | SV | GV | RN | DT | ∑ |
|---|---|---|---|---|---|---|
| [m] | ||||||
| [-] | ||||||
| [] | 33 | 27 | ||||
| [-] |
| Parameters | Head | Efficiency | Power |
|---|---|---|---|
| R [-] | |||
| [-] | |||
| [-] | |||
| [-] |
© 2019 by the authors. Licensee MDPI, Basel, Switzerland. This article is an open access article distributed under the terms and conditions of the Creative Commons Attribution (CC BY-NC-ND) license (https://creativecommons.org/licenses/by-nc-nd/4.0/).
Share and Cite
Unterluggauer, J.; Doujak, E.; Bauer, C. Numerical Fatigue Analysis of a Prototype Francis Turbine Runner in Low-Load Operation. Int. J. Turbomach. Propuls. Power 2019, 4, 21. https://doi.org/10.3390/ijtpp4030021
Unterluggauer J, Doujak E, Bauer C. Numerical Fatigue Analysis of a Prototype Francis Turbine Runner in Low-Load Operation. International Journal of Turbomachinery, Propulsion and Power. 2019; 4(3):21. https://doi.org/10.3390/ijtpp4030021
Chicago/Turabian StyleUnterluggauer, Julian, Eduard Doujak, and Christian Bauer. 2019. "Numerical Fatigue Analysis of a Prototype Francis Turbine Runner in Low-Load Operation" International Journal of Turbomachinery, Propulsion and Power 4, no. 3: 21. https://doi.org/10.3390/ijtpp4030021
APA StyleUnterluggauer, J., Doujak, E., & Bauer, C. (2019). Numerical Fatigue Analysis of a Prototype Francis Turbine Runner in Low-Load Operation. International Journal of Turbomachinery, Propulsion and Power, 4(3), 21. https://doi.org/10.3390/ijtpp4030021

