Development of a One-Dimensional Model for the Prediction of Leakage Flows in Rotating Cavities Under Non-Uniform Tangential Pressure Distribution †
Abstract
1. Introduction
2. Description of Leakage Flows in Regenerative Pumps
2.1. Details about the Three-Dimensional Simulations
2.2. Analysis of the Leakage Flow Characteristics
- The gradient of pressure is the highest.
- The distance between two point of the boundary of the cavity is the lowest.
- The velocity of the rotor has the same direction of the decreasing pressure.
3. The DART Code
- steady, adiabatic, incompressible flow;
- pressure independent from axial and radial coordinates; and
- leakage flow through disks does not have any impact on the main flow.
- a pure numerical solution with a linearization of the derivative ; and
- a hybrid solution that consider the coefficients and the flow rate constant from to and use the solution in Equation (2).
- Solve the circulatory velocity equation.
- Obtain the pressure rise, as a function of the coordinate .
- Calculate the leakage flow rate, induced by the pressure distribution at the boundary of the cavity.
- Obtain the new parameters for the equation of circulatory velocity and recalculate the solution.
4. The Model for Leakage Flows
- The diameter of the shaft is negligible with respect to the diameter of the hub of the blades. That hypothesis allows developing a model where the blockage of the shaft does not modify the total leakage flow rate.
- The contribution of centrifugal forces to the tangential distribution of the leakage flow is negligible with respect to the pressure ratio between two different zones of the pump. That hypothesis means that the fluid can follow a straight trajectory inside of the cavity between two points, considering negligible any deviation from a straight line between any couple of points. Given these hypotheses, a stream-tube model can be developed.
- The flow in the cavity is a planar flow. This hypothesis is consistent with the preliminary CFD calculation, as shown by the comments on Figure 5.
5. Implementation of the Leakage Model
6. Calibration of the Leakage Model
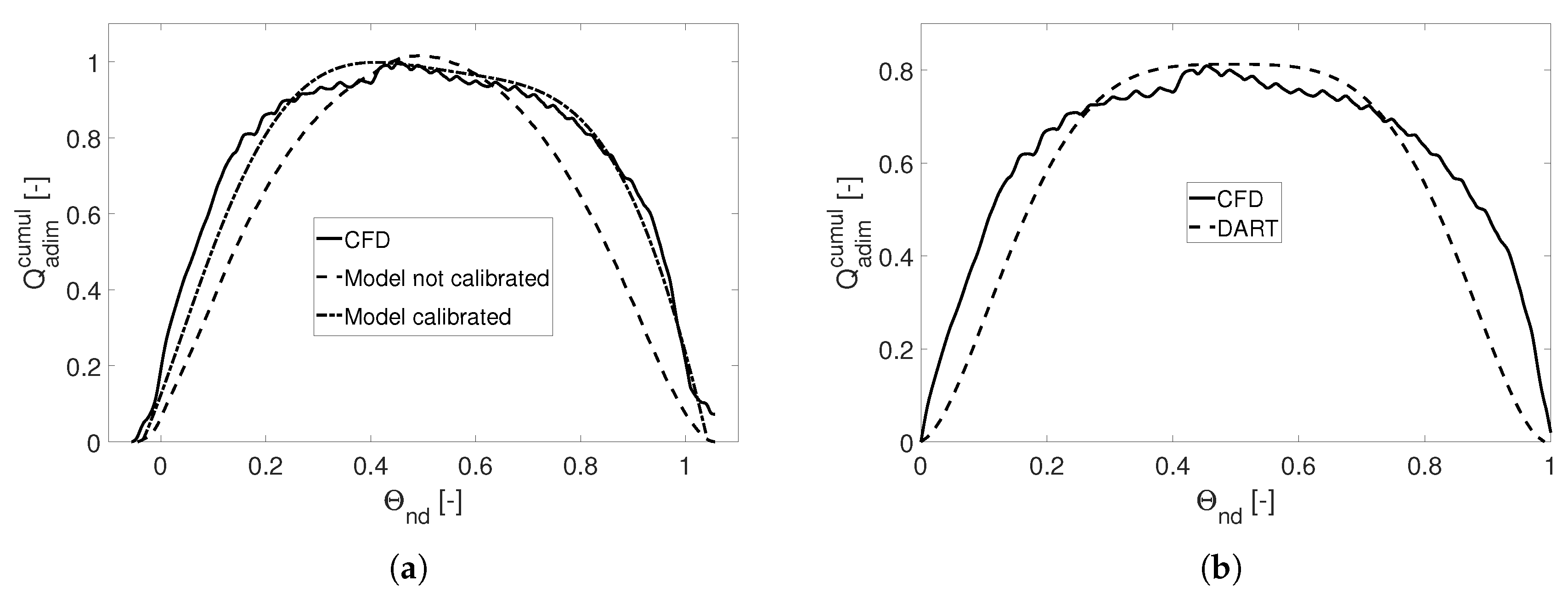
7. Validation of the Model
7.1. Comparison with CFD Data
7.2. Comparison with Experimental Data
8. Conclusions
Author Contributions
Funding
Acknowledgments
Conflicts of Interest
Abbreviations
| P | Points on the circumference that individuate a stream-tube |
| d | Axial extension of the open channel |
| Equivalent hydraulic diameter | |
| f | Friction factor |
| h | Clearance of the disk-casing cavity |
| H | Impeller blade height |
| l | Perimeter |
| L | Generic distance between two points on the circumference |
| Non-dimensional | |
| Number of impeller blades | |
| p | Pressure |
| P | Point in a stream-tube |
| Q | Flow-rate |
| r | Radius |
| Reynolds number | |
| s | Width of the disk-casing cavity |
| t | Impeller blade thickness |
| S | Passage area of the stream-tube |
| U | Velocity contribution of relative disk-casing movement |
| W | Velocity |
| Greek | |
| Angle from stripper to generic point on a stream-tube | |
| Flow coefficient | |
| Load coefficient | |
| Density | |
| Angle from stripper to point | |
| Rotating speed |
References
- Gülich, J.F. Centrifugal Pumps, 3rd ed.; Springer: Berlin/Heidelberg, Germany, 2014. [Google Scholar] [CrossRef]
- Brown, A. A Comparison of Regenerative and Centrifugal Compressors. In International Compressor Engineering Conference; Purdue University: West Lafayette, IN, USA, 1972; Paper 34. [Google Scholar]
- Mosshammer, M.; Benigni, H.; Jaberg, H.; Konrad, J. Maximum Efficiency Despite Lowest Specific Speed—Simulation and Optimisation of a Side Channel Pump. Int. J. Turbomach. Propuls. Power 2019, 4, 6. [Google Scholar] [CrossRef]
- Yoo, I.S.; Park, M.R.; Chung, M.K. Improved Momentum Exchange Theory For Incompressible Regenerative Turbomachines. Proc. Inst. Mech. Eng. Part A J. Power Energy 2005, 219, 567–581. [Google Scholar] [CrossRef]
- Yoo, I.S.; Park, M.R.; Chung, M.K. Hydraulic design of a regenerative flow pump for an artificial heart pump. Proc. Inst. Mech. Eng. Part A J. Power Energy 2006, 220, 699–706. [Google Scholar] [CrossRef]
- Insinna, M.; Salvadori, S.; Martelli, F.; Peroni, G.; Simon, G.; Dipace, A.; Squarcini, R. One-dimensional prediction and three dimensional CFD simulation of the fluid dynamics of regenerative pumps. In Proceedings of the ASME Turbo Expo 2018: Turbomachinery Technical Conference and Exposition, 2C: Turbomachinery, V02CT42A036, Oslo, Norway, 11–15 June 2018. Paper No. GT2018-76416. [Google Scholar] [CrossRef]
- Balje, O. Drag Turbines Performances. Trans. ASME 1957, 79, 1291–1302. [Google Scholar]
- Batchelor, G. Note on a class of solutions of the Navier-Stokes equations representing steady rotationally-symmetric flow. Q. J. Mech. Appl. Math. 1951, 4, 29–41. [Google Scholar] [CrossRef]
- Stewartson, K. On the flow between two rotating coaxial discs. Proc. Camb. Philos. Soc. 1953, 49, 333–341. [Google Scholar] [CrossRef]
- Salvadori, S.; Marini, A.; Martelli, F. Methodology for the residual axial thrust evaluation in multistage centrifugal pumps. Eng. Appl. Comput. Fluid Mech. 2012, 6, 271–284. [Google Scholar] [CrossRef][Green Version]
- Quail, F.; Scanlon, T.; Stickland, M. Design optimisation of a regenerative pump using numerical and experimental techniques. Int. J. Numer. Methods Heat Fluid Flow 2011, 21, 95–111. [Google Scholar] [CrossRef]
- Nejadrajabali, J.; Riasi, A.; Nourbakhsh, S. Flow pattern analysis and performance improvement of regenerative flow pump using blade geometry modification. Int. J. Rotating Mach. 2016, 2016, 1–16. [Google Scholar] [CrossRef]
- Shih, T.; Liou, W.; Shabbir, A.; Zhang, Z.; Zhu, J. A new κ − ϵ eddy-viscosity model for high Reynolds number turbolent flows—Model development and validation. Comput. Fluid 1995, 24, 227–238. [Google Scholar] [CrossRef]
- Griffini, D.; Salvadori, S.; Carnevale, M.; Cappelletti, A.; Ottanelli, L.; Martelli, F. On the development of an efficient regenerative compressor. Energy Procedia 2015, 82, 252–257. [Google Scholar] [CrossRef][Green Version]
- Bontempo, R.; Manna, M. Analysis and evaluation of the momentum theory errors as applied to propellers. AIAA J. 2016, 54, 3840–3848. [Google Scholar] [CrossRef]
- Bontempo, R.; Manna, M. Highly accurate error estimate of the momentum theory as applied to wind turbines. Wind Energy 2017, 20, 1405–1419. [Google Scholar] [CrossRef]
- Griffini, D.; Salvadori, S.; Martelli, F. Thermo-hydrodynamic analysis of plain and tilting pad bearings. Energy Procedia 2016, 101, 2–9. [Google Scholar] [CrossRef]









| [-] | 1.23 | |
| [-] | 2.23 | |
| [-] | 0.30 | |
| [-] | 0.134 | |
| [-] | 0.00886, 0.0177, 0.0354 | |
| [-] | 30 | |
| [-] | 0.52 | |
| [-] | 2.5 | |
| [-] | 197000 |
| DART w/o disk leakage | - | - | 2.40 | 50% | - | - |
| DART with disk leakage | 2.07 | 44% | 1.43 | 45% | 0.52 | 30% |
| CFD | 2.05 | 34% | 1.00 | 26% | 0.58 | 21% |
| Design Parameter | Value | Unit |
|---|---|---|
| Tip radius () | 15 | mm |
| Tip clearance (c) | 1.4 | mm |
| Vane height (h) | 7.1 | mm |
| Channel aspect ratio (AR) | 0.8 | - |
| Vane thickness (t) | 0.51 | mm |
| Number of Vane (z) | 31 | - |
| Clearance of stripper and cavity | 0.2 | mm |
| Stripper angle | 25.2 | deg |
| Rotational speed | 2400 | rpm |
| Density | 1000 | |
| Viscosity | 1.001 | mPa s |
| Q [lpm] | DART without Leakage [%] | DART with Leakage [%] | Experimental Data [mbar] |
|---|---|---|---|
| 3.45 | +30 | +11 | 216 |
| 3.95 | +42 | +9 | 182 |
| 4.40 | +40 | +3 | 149 |
| 4.85 | +41 | -6 | 115 |
| 5.25 | +42 | -20 | 82 |
© 2019 by the authors. Licensee MDPI, Basel, Switzerland. This article is an open access article distributed under the terms and conditions of the Creative Commons Attribution (CC BY-NC-ND) license (https://creativecommons.org/licenses/by-nc-nd/4.0/).
Share and Cite
Cantini, G.; Salvadori, S.; Insinna, M.; Peroni, G.; Simon, G.; Griffini, D.; Squarcini, R. Development of a One-Dimensional Model for the Prediction of Leakage Flows in Rotating Cavities Under Non-Uniform Tangential Pressure Distribution. Int. J. Turbomach. Propuls. Power 2019, 4, 19. https://doi.org/10.3390/ijtpp4030019
Cantini G, Salvadori S, Insinna M, Peroni G, Simon G, Griffini D, Squarcini R. Development of a One-Dimensional Model for the Prediction of Leakage Flows in Rotating Cavities Under Non-Uniform Tangential Pressure Distribution. International Journal of Turbomachinery, Propulsion and Power. 2019; 4(3):19. https://doi.org/10.3390/ijtpp4030019
Chicago/Turabian StyleCantini, Giulio, Simone Salvadori, Massimiliano Insinna, Giorgio Peroni, Gilles Simon, Duccio Griffini, and Raffaele Squarcini. 2019. "Development of a One-Dimensional Model for the Prediction of Leakage Flows in Rotating Cavities Under Non-Uniform Tangential Pressure Distribution" International Journal of Turbomachinery, Propulsion and Power 4, no. 3: 19. https://doi.org/10.3390/ijtpp4030019
APA StyleCantini, G., Salvadori, S., Insinna, M., Peroni, G., Simon, G., Griffini, D., & Squarcini, R. (2019). Development of a One-Dimensional Model for the Prediction of Leakage Flows in Rotating Cavities Under Non-Uniform Tangential Pressure Distribution. International Journal of Turbomachinery, Propulsion and Power, 4(3), 19. https://doi.org/10.3390/ijtpp4030019

