Numerical and Experimental Investigations of the Sound Generation and Possible Optimization Techniques of Wires for Fan Guard Grilles
Abstract
1. Introduction
2. Experimental Investigation
2.1. Wind Tunnel Configuration
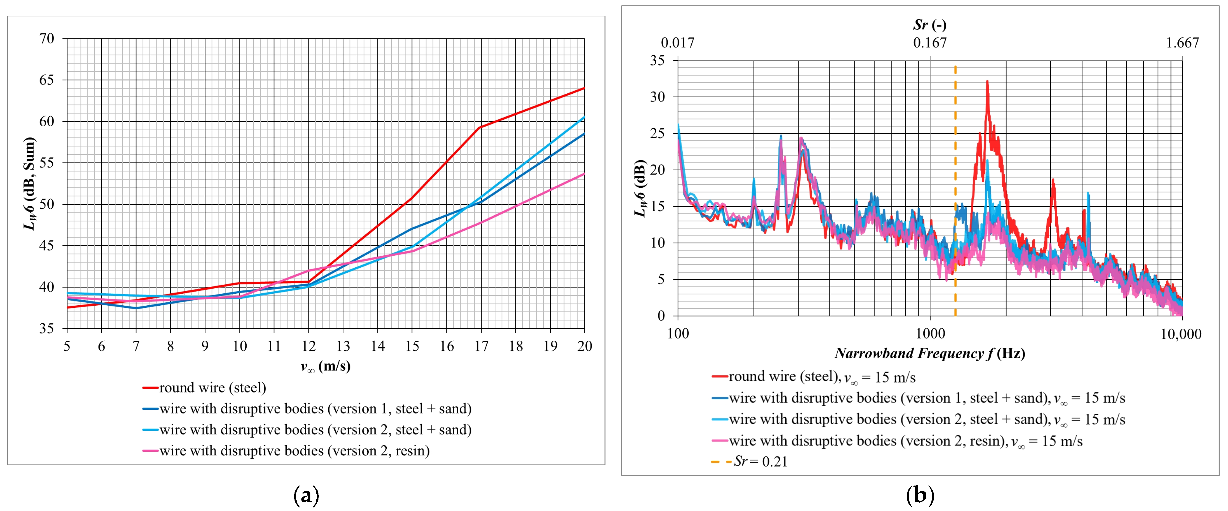
2.2. Experimental Results
3. Numerical Investigation
3.1. Numerical Setup
3.2. Numerical Results
4. Noise Reduction Through Surface Modification of Wires
4.1. Experimental and Numerical Investigation of Resin Printed Prototypes
4.2. Experimental Investigation of Surface-Treated Steel Wires
5. Optimization of a Real Fan Guard Grille
6. Conclusions
Author Contributions
Funding
Informed Consent Statement
Data Availability Statement
Conflicts of Interest
Abbreviations
| D2 | (m) | outer diameter of the fan |
| Dwire | (m) | diameter of the wire |
| f | (Hz) | frequency |
| ftheo | (Hz) | theoretical vortex shedding frequency |
| ftheo,9wires | (Hz) | theoretical vortex shedding frequency with blockage of nine wires |
| fexp | (Hz) | experimentally measured frequency |
| fsim | (Hz) | simulated frequency |
| LW6 | (dB) | pressure side sound power level |
| LWA6 | (dB) | A-weighted pressure side sound power level |
| LW6spec | (dB) | specific pressure side sound power level |
| LWA6spec | (dB) | specific A-weighted pressure side sound power level |
| n | (rpm) | rotation speed of the impeller |
| p | (Pa) | pressure |
| QV | (m3/h) | volume flow rate |
| Re | (-) | Reynolds number |
| Sr = f Dwire/v∞ | (-) | Strouhal number |
| u2 | (m/s) | circumferential velocity |
| v∞ | (m/s) | free-stream velocity |
| δ | (-) | specific diameter |
| φ | (-) | dimensionless volume flow rate |
| ρ | (kg/m3) | density |
| ψstat | (-) | dimensionless static pressure rise |
References
- Eck, B. Ventilatoren, 6th ed.; Springer Verlag: Berlin/Heidelberg, Germany, 2003; pp. 9–14. [Google Scholar]
- Schneider, M.; Lucius, A.; Pazhanisamy, R. Einfluss von Schutzgittern auf die Akustik von Axialventilatoren. In Proceedings of the DAGA—Jahrestagung für Akustik, Wien, Austria, 15–18 August 2021. [Google Scholar]
- Kármán, T.v. Über den Mechanismus des Widerstandes, den ein bewegter Körper in einer Flüssigkeit erzeugt. Nachr. Ges. Wiss. Göttingen, Math. Phys. Klasse 1911, 1911, 509–517. Available online: https://eudml.org/doc/58812 (accessed on 26 November 2024).
- Strouhal, V. Über eine besondere Art der Tonerregung. Ann. Phys. 1878, 241, 216–251. [Google Scholar] [CrossRef]
- Henn, H.; Sinambari, G.R.; Fallen; M. Ingenieurakustik, 4th ed.; überarbeitete und erweiterte Auflage; Vieweg+Teubner: Wiesbaden, Germany, 2008; p. 170. [Google Scholar]
- Schlichting, H.; Gersten, K. Grenzschicht-Theorie, 10th ed.; überarbeitete Auflage; Springer Verlag: Berlin/Heidelberg, Germany, 2006; p. 19. [Google Scholar]
- Blevins, R.D. Review of Sound induced by Vortex Shedding from Cylinders. J. Sound Vib. 1984, 92, 455–470. [Google Scholar] [CrossRef]
- Moreau, D.J.; Doolan, C.J. On the sound produced by flow interaction with a wall mounted finite length cylinder. In Proceedings of the Acoustics 2012: Annual Conference of the Australian Acoustical Society, Fremantle, Australia, 21–23 November 2012. [Google Scholar]
- Zdravkovich, M.M. Flow induced oscillations of two interfering circular cylinders. J. Sound Vib. 1985, 101, 511–521. [Google Scholar] [CrossRef]
- Hutcheson, F.V.; Brooks, T.F. Noise radiation from single and multiple rod configurations. Int. J. Aeroacoustics 2012, 11, 291–333. [Google Scholar] [CrossRef]
- Geyer, T.F.; Abromeit, P.; Prügel, M. Noise generation by tandem cylinders of different diameter in cross-flow. In Proceedings of the DAS/DAGA 2025—51st Annual Meeting on Acoustics, Copenhagen, Denmark, 17–20 March 2025. [Google Scholar]
- Geyer, T.F. Experimental evaluation of cylinder vortex shedding noise reduction using porous material. Exp. Fluids 2020, 61, 153. [Google Scholar] [CrossRef]
- Li, T.; Lu, N. Numerical investigation on noise and flow characteristics of a circular cylinder with helical grooves. Discov. Appl. Sci. 2025, 7, 699. [Google Scholar] [CrossRef]
- Jia, W.; Xu, H. Vortex shedding suppression in elliptical cylinder via reinforcement learning. arXiv 2025, arXiv:2410.00421v2. [Google Scholar] [CrossRef]
- DIN EN ISO 3745; Akustik—Bestimmung der Schallleistungspegel von Geräuschquellen aus Schalldruckmessungen—Verfahren der Genauigkeitsklasse 1 für Reflexionsarme Räume und Halbräume. DIN Deutsches Institut für Normung e.V.: Berlin, Germany, 2017. [CrossRef]
- ISO 13347-3; Industrial Fans—Determination of Fan Sound Power Levels Under Standardized Laboratory Conditions—Part 3: Enveloping Surface Methods. International Organization for Standardization: Geneva, Switzerland, 2004.
- Chen, S.; Doolen, G.D. Lattice Boltzmann method for Fluid Flow. Annu. Rev. Fluid Mech. 1998, 30, 329–364. [Google Scholar] [CrossRef]
- Marié, S. Etude de la Méthode Boltzmann sur Réseau Pour les Simulations en Aéroacoustique. Ph.D. Thesis, Université Pierre et Marie Curie, Paris, France, 2008. [Google Scholar]
- Chen, H.; Filippova, O.; Hoch, J.; Molvig, K.; Shock, R.; Teixeira, C.; Zhang, R. Grid refinement in Lattice Boltzmann methods based on Volumetric Formulation. Phys. A Stat. Mech. Its Appl. 2006, 362, 158–167. [Google Scholar] [CrossRef]
- DBZ Deutsche Bauzeitschrift—Thyssenkrupp Testturm, Rottweil. Available online: https://www.dbz.de/artikel/thyssenkrupp-testturm-rottweil-3156533.html (accessed on 26 November 2024).
- SKI Consult—Wirbelerregte Querschwingung. Available online: https://ski-consult.de/taetigkeitsbreiche/strukturanalysen/wirbelerregte-querschwingung/ (accessed on 26 November 2024).

















| v∞ (m/s) | ftheo (Hz) (Sr = 0.21) | ftheo,9wires (Hz) (Sr = 0.21) | fexp (Hz) Narrow Band | fsim (Hz) Third-Octave Band |
|---|---|---|---|---|
| 10 | 840 | 1084 | 790 | |
| 12 | 1008 | 1301 | 1000 | |
| 15 | 1260 | 1626 | 1675 | 1260 |
| 17 | 1428 | 1843 | 1690 | |
| 20 | 1680 | 2168 | 1925 |
Disclaimer/Publisher’s Note: The statements, opinions and data contained in all publications are solely those of the individual author(s) and contributor(s) and not of MDPI and/or the editor(s). MDPI and/or the editor(s) disclaim responsibility for any injury to people or property resulting from any ideas, methods, instructions or products referred to in the content. |
© 2025 by the authors. Published by MDPI on behalf of the EUROTURBO. Licensee MDPI, Basel, Switzerland. This article is an open access article distributed under the terms and conditions of the Creative Commons Attribution (CC BY-NC-ND) license (https://creativecommons.org/licenses/by-nc-nd/4.0/).
Share and Cite
Hub, S.; Lörcher, F. Numerical and Experimental Investigations of the Sound Generation and Possible Optimization Techniques of Wires for Fan Guard Grilles. Int. J. Turbomach. Propuls. Power 2025, 10, 45. https://doi.org/10.3390/ijtpp10040045
Hub S, Lörcher F. Numerical and Experimental Investigations of the Sound Generation and Possible Optimization Techniques of Wires for Fan Guard Grilles. International Journal of Turbomachinery, Propulsion and Power. 2025; 10(4):45. https://doi.org/10.3390/ijtpp10040045
Chicago/Turabian StyleHub, Sandra, and Frieder Lörcher. 2025. "Numerical and Experimental Investigations of the Sound Generation and Possible Optimization Techniques of Wires for Fan Guard Grilles" International Journal of Turbomachinery, Propulsion and Power 10, no. 4: 45. https://doi.org/10.3390/ijtpp10040045
APA StyleHub, S., & Lörcher, F. (2025). Numerical and Experimental Investigations of the Sound Generation and Possible Optimization Techniques of Wires for Fan Guard Grilles. International Journal of Turbomachinery, Propulsion and Power, 10(4), 45. https://doi.org/10.3390/ijtpp10040045

