Effectiveness of Three Sampling Approaches for Optimizing Mapping and Preventive Chemotherapy against Schistosoma mansoni in the Western Part of Côte d’Ivoire
Abstract
1. Introduction
2. Materials and Methods
2.1. Ethics Statement
2.2. Study Area and Population
2.3. Study Design and Inclusion Criteria
2.4. Parasitological Survey
2.5. Statistical Analysis
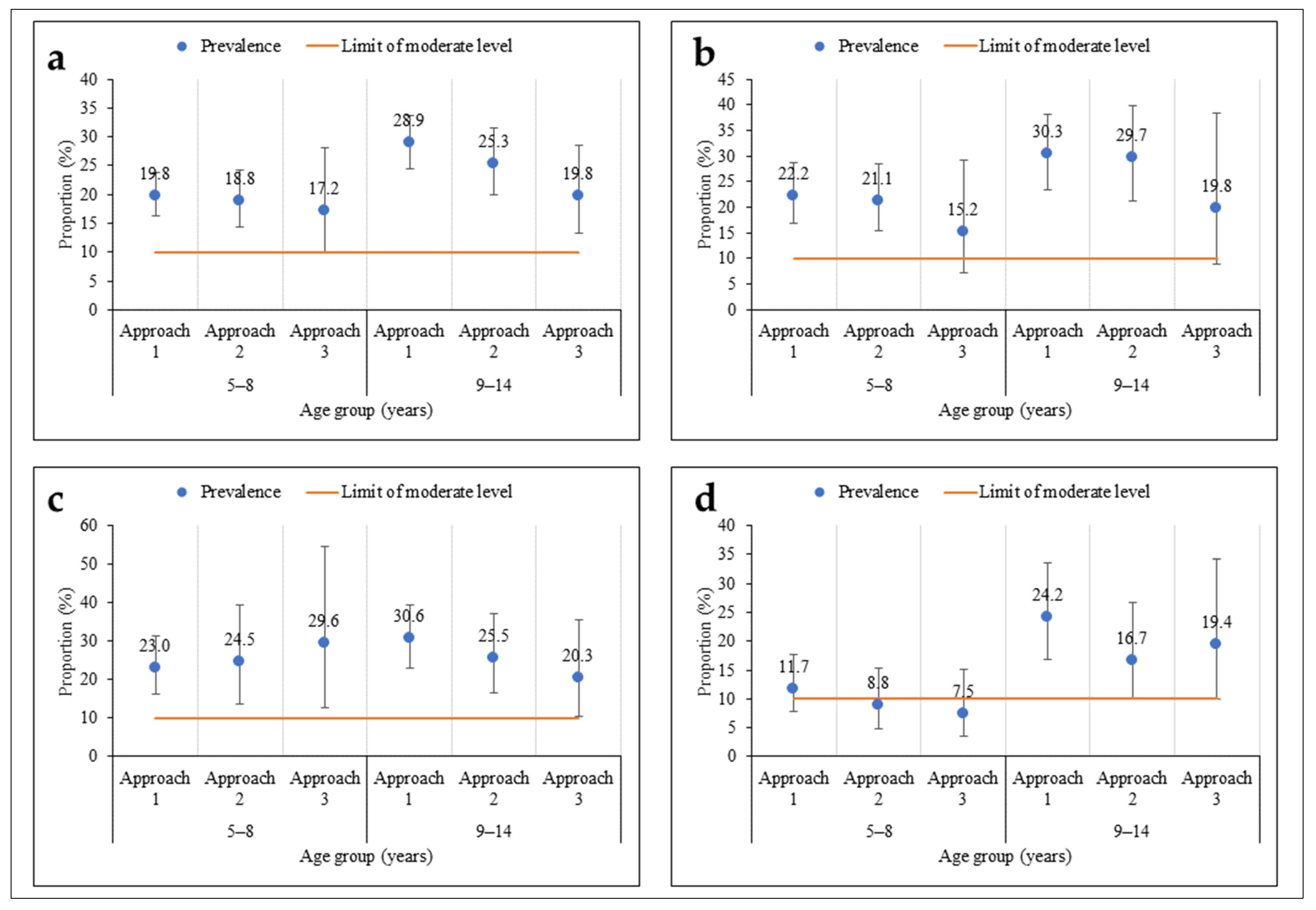
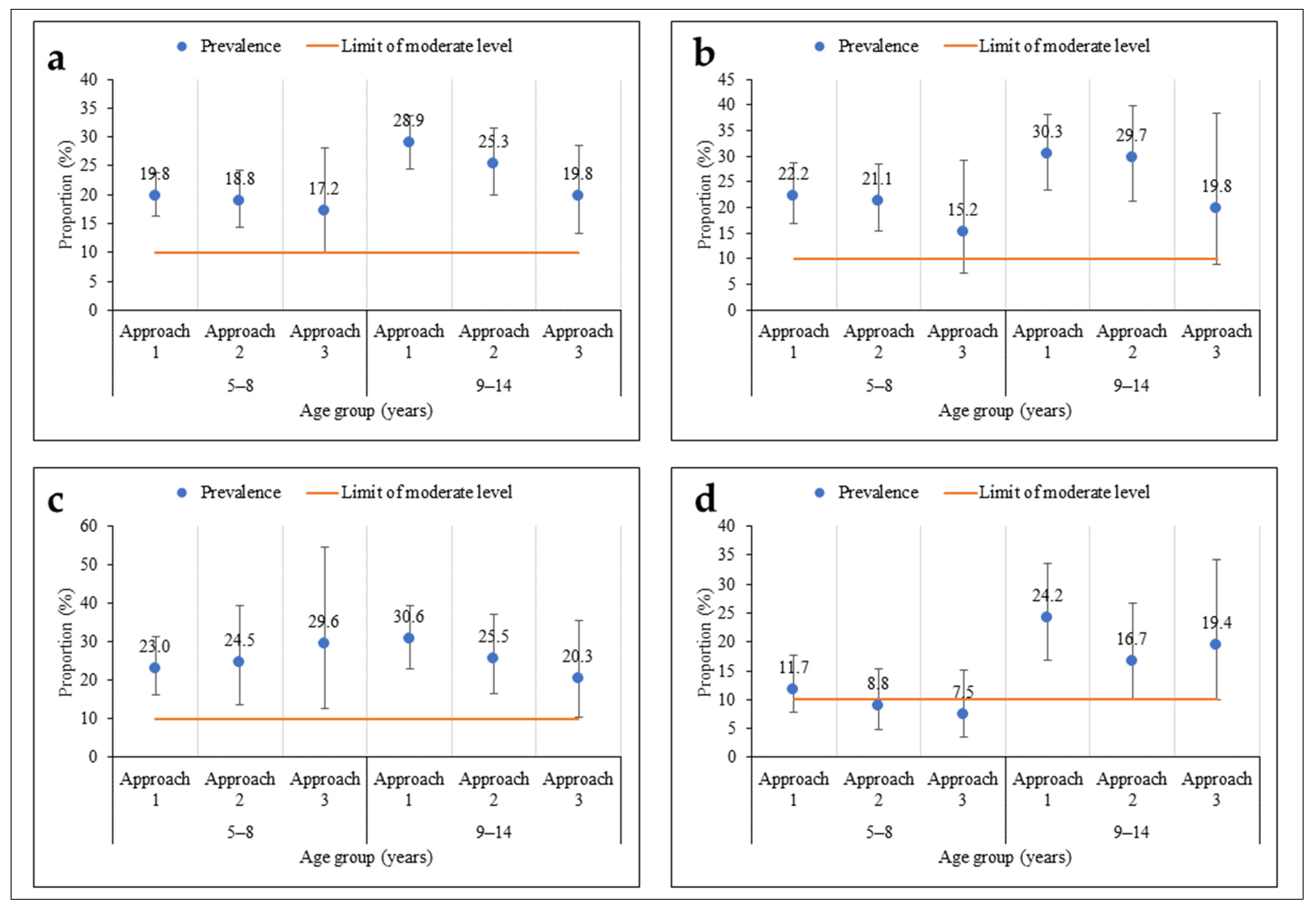
3. Results
3.1. Population Characteristics
3.2. Prevalence of S. mansoni Infection
3.3. Intensity of S. mansoni Infection
4. Discussion
5. Conclusions
Author Contributions
Funding
Institutional Review Board Statement
Informed Consent Statement
Data Availability Statement
Acknowledgments
Conflicts of Interest
References
- Gryseels, B. Schistosomiasis. Infect. Dis. Clin. N. Am. 2012, 26, 383–397. [Google Scholar] [CrossRef] [PubMed]
- Colley, D.G.; Bustinduy, A.L.; Secor, W.E.; King, C.H. Human schistosomiasis. Lancet 2014, 383, 2253–2264. [Google Scholar] [CrossRef] [PubMed]
- WHO. Schistosomiasis. Available online: https://www.who.int/news-room/fact-sheets/detail/schistosomiasis (accessed on 12 July 2023).
- WHO. Elimination of Schistosomiasis; World Health Organization: Geneva, Switzerland, 2012; p. 2. [Google Scholar]
- WHO. Accelerating Work to Overcome the Global Impact of Neglected Tropical Diseases. A Roadmap for Implementation; World Health Organization: Geneva, Switzerland, 2012; p. 42. [Google Scholar]
- Tchuem Tchuenté, L.-A.; Rollinson, D.; Stothard, J.R.; Molyneux, D. Moving from control to elimination of schistosomiasis in sub-Saharan Africa: Time to change and adapt strategies. Infect. Dis. Poverty 2017, 6, 42. [Google Scholar] [CrossRef] [PubMed]
- WHO. Schistosomiasis: Progress Report 2001–2011 and Strategic Plan 2012–2020; World Health Organization: Geneva, Switzerland, 2013; p. 81. [Google Scholar]
- Brooker, S.; Hotez, P.J.; Bundy, D.A.P. The global atlas of helminth infection: Mapping the way forward in neglected tropical disease control. PLoS Negl. Trop. Dis. 2010, 4, e779. [Google Scholar] [CrossRef] [PubMed]
- Tchuem Tchuenté, L.-A.T.; Ngassam, R.I.K.; Sumo, L.; Ngassam, P.; Noumedem, C.D.; Nzu, D.D.L.; Dankoni, E.; Kenfack, C.M.; Gipwe, N.F.; Akame, J.; et al. Mapping of schistosomiasis and soil-transmitted helminthiasis in the regions of centre, east and west Cameroon. PLoS Negl. Trop. Dis. 2012, 6, e1553. [Google Scholar] [CrossRef] [PubMed]
- WHO. Lutte Contre les Helminthiases chez les Enfants d’âge Scolaire: Guide à l’Intention des Responsables des Programmes de Lutte; Deuxième Edition; World Health Organization: Geneva, Switzerland, 2012; ISBN 978-92-4-254826-6. [Google Scholar]
- WHO. WHO Guideline on Control and Elimination of Human Schistosomiasis; World Health Organization: Geneva, Switzerland, 2022; ISBN 978-92-4-004160-8. [Google Scholar]
- Chammartin, F.; Houngbedji, C.A.; Hürlimann, E.; Yapi, R.B.; Silué, K.D.; Soro, G.; Kouamé, F.N.; N′Goran, E.K.; Utzinger, J.; Raso, G.; et al. Bayesian risk mapping and model-based estimation of Schistosoma haematobium–Schistosoma mansoni co-distribution in Côte d′Ivoire. PLoS Negl. Trop. Dis. 2014, 8, e3407. [Google Scholar] [CrossRef] [PubMed]
- Assaré, R.K.; Knopp, S.; N’Guessan, N.A.; Yapi, A.; Tian-Bi, Y.-N.T.; Yao, P.K.; Coulibaly, J.T.; Ouattara, M.; Meïté, A.; Fenwick, A.; et al. Sustaining control of schistosomiasis mansoni in moderate endemicity areas in western Côte d’Ivoire: A SCORE study protocol. BMC Public Health 2014, 14, 1290. [Google Scholar] [CrossRef] [PubMed][Green Version]
- Assaré, R.K.; N’Tamon, R.N.; Bellai, L.G.; Koffi, J.A.; Mathieu, T.-B.I.; Ouattara, M.; Hürlimann, E.; Coulibaly, J.T.; Diabaté, S.; N’Goran, E.K.; et al. Characteristics of persistent hotspots of Schistosoma mansoni in western Côte d’Ivoire. Parasit. Vectors 2020, 13, 337. [Google Scholar] [CrossRef] [PubMed]
- Assaré, R.K.; Tra-Bi, M.I.; Coulibaly, J.T.; Corstjens, P.L.A.M.; Ouattara, M.; Hürlimann, E.; van Dam, G.J.; Utzinger, J.; N’Goran, E.K. Accuracy of two circulating antigen tests for the diagnosis and surveillance of Schistosoma mansoni infection in low-endemicity settings of Côte d’Ivoire. Am. J. Trop. Med. Hyg. 2021, 105, 677–683. [Google Scholar] [CrossRef]
- Meité, A.; Phillips, A.; Nogaro, S.; N’Goran, E.K.; Knowles, S. Contrôle Intégré de la Bilharziose et des Helminthes Intestinaux en Afrique Sub-Saharienne. Available online: https://files.givewell.org/files/DWDA%202009/SCI/SCI_Cote_dIvore_mapping_protocol_French.pdf (accessed on 27 June 2024).
- Rasoamanamihaja, C.F.; Rahetilahy, A.M.; Ranjatoarivony, B.; Dhanani, N.; Andriamaro, L.; Andrianarisoa, S.H.; Jourdan, P.M. Baseline prevalence and intensity of schistosomiasis at sentinel sites in Madagascar: Informing a national control strategy. Parasit. Vectors 2016, 9, 50. [Google Scholar] [CrossRef]
- Tchuem Tchuenté, L.-A.; Stothard, J.R.; Rollinson, D.; Reinhard-Rupp, J. Precision mapping: An innovative tool and way forward to shrink the map, better target interventions, and accelerate toward the elimination of schistosomiasis. PLoS Negl. Trop. Dis. 2018, 12, e0006563. [Google Scholar] [CrossRef] [PubMed]
- Coulibaly, J.T.; Hürlimann, E.; Patel, C.; Silué, D.K.; Avenié, D.J.; Kouamé, N.A.; Silué, U.M.; Keiser, J. Optimizing implementation of preventive chemotherapy against soil-transmitted helminthiasis and intestinal schistosomiasis using high-resolution data: Field-based experiences from Côte d’Ivoire. Diseases 2022, 10, 66. [Google Scholar] [CrossRef] [PubMed]
- Kouassi, J.-L.; Gyau, A.; Diby, L.; Bene, Y.; Kouamé, C. Assessing land use and land cover change and farmers’ perceptions of deforestation and land degradation in south-west Côte d’Ivoire, West Africa. Land 2021, 10, 429. [Google Scholar] [CrossRef]
- Fürst, T.; Raso, G.; Acka, C.A.; Tschannen, A.B.; N’Goran, E.K.; Utzinger, J. Dynamics of socioeconomic risk factors for neglected tropical diseases and malaria in an armed conflict. PLoS Negl. Trop. Dis. 2009, 3, e513. [Google Scholar] [CrossRef] [PubMed]
- Acka, C.A.; Raso, G.; N’Goran, E.K.; Tschannen, A.B.; Bogoch, I.I.; Séraphin, E.; Tanner, M.; Obrist, B.; Utzinger, J. Parasitic worms: Knowledge, attitudes, and practices in western Côte d’Ivoire with implications for integrated control. PLoS Negl. Trop. Dis. 2010, 4, e910. [Google Scholar] [CrossRef] [PubMed]
- Ouattara, M.; Diakité, N.R.; Yao, P.K.; Saric, J.; Coulibaly, J.T.; Assaré, R.K.; Bassa, F.K.; Koné, N.; Guindo-Coulibaly, N.; Hattendorf, J.; et al. Effectiveness of school-based preventive chemotherapy strategies for sustaining the control of schistosomiasis in Côte d’Ivoire: Results of a 5-year cluster randomized trial. PLoS Negl. Trop. Dis. 2021, 15, e0008845. [Google Scholar] [CrossRef] [PubMed]
- ESPEN; WHO. Schistosomiasis|ESPEN. Available online: https://espen.afro.who.int/diseases/schistosomiasis (accessed on 27 June 2024).
- Katz, N.; Chaves, A.; Pellegrino, J. A simple device for quantitative stool thick-smear technique in schistosomiasis mansoni. Rev. Inst. Med. Trop. 1972, 14, 397–400. [Google Scholar]
- Speich, B.; Ali, S.M.; Ame, S.M.; Albonico, M.; Utzinger, J.; Keiser, J. Quality control in the diagnosis of Trichuris trichiura and Ascaris lumbricoides using the Kato-Katz technique: Experience from three randomised controlled trials. Parasit. Vectors 2015, 8, 82. [Google Scholar] [CrossRef] [PubMed]
- WHO. Ending the Neglect to Attain the Sustainable Development Goals: A Road Map for Neglected Tropical Diseases 2021–2030. Available online: https://www.who.int/publications-detail-redirect/9789240010352 (accessed on 15 July 2023).
- WHO. Schistosomiasis and soiltransmitted helminthiases: Progress report, 2020. Wkly. Epidemiol. Rec. 2021, 96, 585–596. [Google Scholar]
- Montresor, A.; Crompton, D.W.T.; Hall, A.; Bundy, D.A.P.; Savioli, L. Guidelines for the Evaluation of Soil-Transmitted Helminthiasis and Schistosomiasis at Community Level: A Guide for Managers of Control Programmes; World Health Organization: Geneva, Switzerland, 1998; p. 48. [Google Scholar]
- WHO Expert Committee. Prevention and Control of Schistosomiasis and Soil-Transmitted Helminthiasis; World Health Organization Technical Report Series; World Health Organization: Geneva, Switzerland, 2002; Volume 912, pp. 1–57. [Google Scholar]
- WHO. Preventive Chemotherapy in Human Helminthiasis: Coordinated Use of Anthelminthic Drugs in Control Interventions; A Manual for Health Professionals and Programme Managers; World Health Organization: Geneva, Switzerland, 2006; ISBN 978-92-4-154710-9. [Google Scholar]
- Knowles, S.C.L.; Sturrock, H.J.W.; Turner, H.; Whitton, J.M.; Gower, C.M.; Jemu, S.; Phillips, A.E.; Meite, A.; Thomas, B.; Kollie, K.; et al. Optimising cluster survey design for planning schistosomiasis preventive chemotherapy. PLoS Negl. Trop. Dis. 2017, 11, e0005599. [Google Scholar] [CrossRef]
- Kepha, S.; Ochol, D.; Wakesho, F.; Omondi, W.; Njenga, S.M.; Njaanake, K.; Kihara, J.; Mwatha, S.; Kanyi, C.; Oloo, J.O.; et al. Precision mapping of schistosomiasis and soil-transmitted helminthiasis among school age children at the Coastal region, Kenya. PLoS Negl. Trop. Dis. 2023, 17, e0011043. [Google Scholar] [CrossRef] [PubMed]





| Characteristics | All Districts | Biankouma | Ouaninou | Touba | ||||||||
|---|---|---|---|---|---|---|---|---|---|---|---|---|
| Approach 1 | Approach 2 | Approach 3 | Approach 1 | Approach 2 | Approach 3 | Approach 1 | Approach 2 | Approach 3 | Approach 1 | Approach 2 | Approach 3 | |
| Overall | 4964 | 2441 | 1034 | 2357 | 1161 | 360 | 1342 | 658 | 331 | 1265 | 622 | 343 |
| Sex | ||||||||||||
| Female (%) | 2363 (47.6) | 1137 (46.6) | 478 (46.2) | 1152 (48.9) | 548 (47.2) | 171 (47.5) | 623 (46.4) | 299 (45.4) | 137 (41.4) | 588 (46.5) | 290 (46.6) | 170 (49.6) |
| Male (%) | 2601 (52.4) | 1304 (53.4) | 556 (53.8) | 1205 (51.1) | 613 (58.8) | 189 (52.5) | 719 (53.6) | 359 (54.6) | 194 (58.6) | 677 (53.5) | 332 (53.4) | 173 (50.4) |
| Age group | ||||||||||||
| 5–8 years (%) | 2913 (58.7) | 1410 (57.8) | 615 (59.5) | 1388 (58.9) | 673 (58.0) | 198 (55.0) | 784 (58.4) | 372 (56.5) | 203 (61.3) | 741 (58.6) | 365 (58.7) | 214 (62.4) |
| 9–14 years (%) | 2051 (41.3) | 1031 (42.2) | 419 (40.5) | 969 (41.1) | 488 (42.0) | 162 (45.0) | 558 (41.6) | 286 (43.5) | 128 (38.7) | 524 (41.4) | 257 (41.3) | 129 (37.6) |
| Mean (SD) age (in years) | 8.4 (2.7) | 8.4 (2.7) | 8.3 (2.6) | 8.3 (2.6) | 8.4 (2.7) | 8.5 (2.7) | 8.4 (2.7) | 8.5 (2.7) | 8.3 (2.6) | 8.4 (2.7) | 8.4 (2.7) | 8.1 (2.6) |
| No. of villages | 209 | 105 | 45 | 91 | 46 | 15 | 60 | 30 | 15 | 58 | 29 | 15 |
| Health District | Study Village | SD | ||||||||||||||
|---|---|---|---|---|---|---|---|---|---|---|---|---|---|---|---|---|
| 1 | 2 | 3 | 4 | 5 | 6 | 7 | 8 | 9 | 10 | 11 | 12 | 13 | 14 | 15 | ||
| Biankouma | 0.0 | 0.0 | 0.0 | 0.0 | 0.0 | 6.9 | 9.1 | 11.1 | 14.3 | 17.4 | 20.8 | 21.4 | 38.5 | 52.6 | 75.9 | 22.2 |
| Ouaninou | 0.0 | 0.0 | 4.0 | 4.4 | 5.3 | 6.1 | 7.7 | 9.1 | 10.5 | 11.1 | 27.3 | 37.5 | 57.1 | 82.4 | 86.1 | 29.3 |
| Touba | 0.0 | 0.0 | 0.0 | 3.0 | 3.2 | 3.7 | 4.4 | 6.3 | 6.7 | 10.5 | 13.6 | 18.8 | 18.9 | 36.8 | 54.2 | 15.3 |
| Approach 1 (GM, 95% CI) | Approach 2 (GM, 95% CI) | Approach 3 (GM, 95% CI) | |
|---|---|---|---|
| All health districts | 117.9 (109.3–127.3) | 104.6 (93.8–116.6) | 94.6 (79.5–112.7) |
| Biankouma | 132.1 (118.7–146.9) | 111.6 (95.6–130.2) | 99.6 (70.9–140.0) |
| Ouaninou | 100.9 (88.4–115.2) | 93.0 (78.4–110.3) | 104.6 (82.5–132.6) |
| Touba | 110.9 (91.6–134.3) | 105.5 (77.2–144.1) | 71.0 (48.2–104.5) |
Disclaimer/Publisher’s Note: The statements, opinions and data contained in all publications are solely those of the individual author(s) and contributor(s) and not of MDPI and/or the editor(s). MDPI and/or the editor(s) disclaim responsibility for any injury to people or property resulting from any ideas, methods, instructions or products referred to in the content. |
© 2024 by the authors. Licensee MDPI, Basel, Switzerland. This article is an open access article distributed under the terms and conditions of the Creative Commons Attribution (CC BY) license (https://creativecommons.org/licenses/by/4.0/).
Share and Cite
Sékré, J.-B.K.; Ouattara, M.; Diakité, N.R.; Bassa, F.K.; Assaré, R.K.; Kouadio, J.N.; Coulibaly, G.; Loukouri, A.; Orsot, M.N.; Utzinger, J.; et al. Effectiveness of Three Sampling Approaches for Optimizing Mapping and Preventive Chemotherapy against Schistosoma mansoni in the Western Part of Côte d’Ivoire. Trop. Med. Infect. Dis. 2024, 9, 159. https://doi.org/10.3390/tropicalmed9070159
Sékré J-BK, Ouattara M, Diakité NR, Bassa FK, Assaré RK, Kouadio JN, Coulibaly G, Loukouri A, Orsot MN, Utzinger J, et al. Effectiveness of Three Sampling Approaches for Optimizing Mapping and Preventive Chemotherapy against Schistosoma mansoni in the Western Part of Côte d’Ivoire. Tropical Medicine and Infectious Disease. 2024; 9(7):159. https://doi.org/10.3390/tropicalmed9070159
Chicago/Turabian StyleSékré, Jean-Baptiste K., Mamadou Ouattara, Nana R. Diakité, Fidèle K. Bassa, Rufin K. Assaré, Jules N. Kouadio, Gaoussou Coulibaly, Agodio Loukouri, Mathieu N. Orsot, Jürg Utzinger, and et al. 2024. "Effectiveness of Three Sampling Approaches for Optimizing Mapping and Preventive Chemotherapy against Schistosoma mansoni in the Western Part of Côte d’Ivoire" Tropical Medicine and Infectious Disease 9, no. 7: 159. https://doi.org/10.3390/tropicalmed9070159
APA StyleSékré, J.-B. K., Ouattara, M., Diakité, N. R., Bassa, F. K., Assaré, R. K., Kouadio, J. N., Coulibaly, G., Loukouri, A., Orsot, M. N., Utzinger, J., & N’Goran, E. K. (2024). Effectiveness of Three Sampling Approaches for Optimizing Mapping and Preventive Chemotherapy against Schistosoma mansoni in the Western Part of Côte d’Ivoire. Tropical Medicine and Infectious Disease, 9(7), 159. https://doi.org/10.3390/tropicalmed9070159

