Impact of Neurological Complications on Long-Term Outcomes in Patients with Infective Endocarditis
Abstract
1. Introduction
2. Materials and Methods
3. Results
3.1. Baseline Characteristics
3.2. Complications at Presentation
3.3. Other Characteristics during Treatment
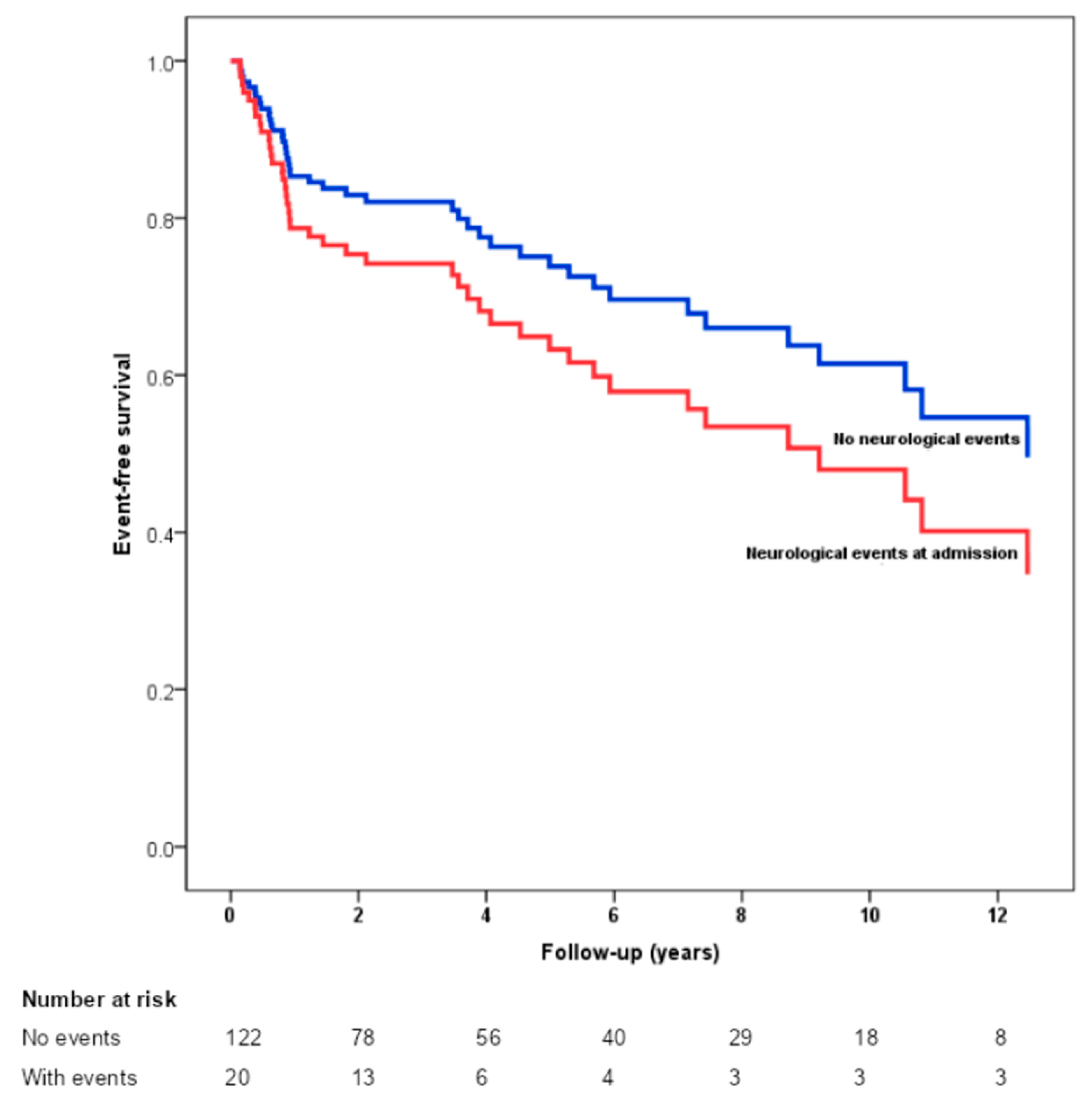
3.4. Long-Term Outcomes
4. Discussion
5. Conclusions
Author Contributions
Funding
Institutional Review Board Statement
Informed Consent Statement
Data Availability Statement
Conflicts of Interest
References
- Sunder, S.; Grammatico-Guillon, L.; Lemaignen, A.; Lacasse, M.; Gaborit, C.; Boutoille, D.; Tattevin, P.; Denes, E.; Guimard, T.; Dupont, M.; et al. Incidence, characteristics, and mortality of infective endocarditis in France in 2011. PLoS ONE 2019, 14, e0223857. [Google Scholar] [CrossRef] [PubMed]
- Pant, S.; Patel, N.J.; Deshmukh, A.; Golwala, H.; Patel, N.; Badheka, A.; Hirsch, G.A.; Mehta, J.L. Trends in infective endocarditis incidence, microbiology, and valve replacement in the United States from 2000 to 2011. J. Am. Coll. Cardiol. 2015, 65, 2070–2076. [Google Scholar] [CrossRef] [PubMed]
- Erichsen, P.; Gislason, G.H.; Bruun, N.E. The increasing incidence of infective endocarditis in Denmark, 1994–2011. Eur. J. Intern. Med. 2016, 35, 95–99. [Google Scholar] [CrossRef] [PubMed]
- Heredia-Rodríguez, M.; Hernández, A.; Bustamante-Munguira, J.; Álvarez, F.J.; Eiros, J.M.; Castrodeza, J.; Tamayo, E. Evolution of the Incidence, Mortality, and Cost of Infective Endocarditis in Spain between 1997 and 2014. J. Gen. Intern. Med. 2018, 33, 1610–1613. [Google Scholar] [CrossRef]
- Duval, X.; Iung, B.; Klein, I.; Brochet, E.; Thabut, G.; Arnoult, F.; Lepage, L.; Laissy, J.P.; Wolff, M.; Leport, C.; et al. Effect of early cerebral magnetic resonance imaging on clinical decisions in infective endocarditis: A prospective study. Ann. Intern. Med. 2010, 152, 497–504. [Google Scholar] [CrossRef] [PubMed]
- García-Cabrera, E.; Fernández-Hidalgo, N.; Almirante, B.; Ivanova-Georgieva, R.; Noureddine, M.; Plata, A.; Lomas, J.M.; Gálvez-Acebal, J.; Hidalgo-Tenorio, C.; Ruíz-Morales, J.; et al. Neurological complications of infective endocarditis: Risk factors, outcome, and impact of cardiac surgery: A multicenter observational study. Circulation 2013, 127, 2272–2284. [Google Scholar] [CrossRef] [PubMed]
- Shih, C.J.; Chu, H.; Chao, P.W.; Lee, Y.J.; Kuo, S.C.; Li, S.Y.; Tarng, D.C.; Yang, C.Y.; Yang, W.C.; Ou, S.M.; et al. Long-term clinical outcome of major adverse cardiac events in survivors of infective endocarditis: A nationwide population-based study. Circulation 2014, 130, 1684–1691. [Google Scholar] [CrossRef] [PubMed]
- Østergaard, L.; Oestergaard, L.B.; Lauridsen, T.K.; Dahl, A.; Chaudry, M.; Gislason, G.; Torp-Pedersen, C.; Bruun, N.E.; Valeur, N.; Køber, L.; et al. Long-term causes of death in patients with infective endocarditis who undergo medical therapy only or surgical treatment: A nationwide population-based study. Eur. J. Cardio-Thorac. Surg. 2018, 54, 860–866. [Google Scholar] [CrossRef]
- Park, L.P.; Chu, V.H.; Peterson, G.; Skoutelis, A.; Lejko-Zupa, T.; Bouza, E.; Tattevin, P.; Habib, G.; Tan, R.; Gonzalez, J.; et al. Validated Risk Score for Predicting 6-Month Mortality in Infective Endocarditis. J. Am. Heart Assoc. 2016, 5, e003016. [Google Scholar] [CrossRef]
- Chu, V.H.; Sexton, D.J.; Cabell, C.H.; Reller, L.B.; Pappas, P.A.; Singh, R.K.; Fowler, V.G.; Corey, G.R.; Aksoy, O.; Woods, C.W. Repeat infective endocarditis: Differentiating relapse from reinfection. Clin. Infect. Dis. 2005, 41, 406–409. [Google Scholar] [CrossRef]
- Østergaard, L.; Andersson, N.W.; Kristensen, S.L.; Dahl, A.; Bundgaard, H.; Iversen, K.; Eske-Bruun, N.; Gislason, G.; Torp-Pedersen, C.; Valeur, N.; et al. Risk of stroke subsequent to infective endocarditis: A nationwide study. Am. Heart J. 2019, 212, 144–151. [Google Scholar] [CrossRef] [PubMed]
- Durack, D.T.; Lukes, A.S.; Bright, D.K. New criteria for diagnosis of infective endocarditis: Utilization of specific echocardiographic findings. Duke Endocarditis Service. Am. J. Med. 1994, 96, 200–209. [Google Scholar] [CrossRef] [PubMed]
- Li, J.S.; Sexton, D.J.; Mick, N.; Nettles, R.; Fowler, V.G.; Ryan, T.; Bashore, T.; Corey, G.R. Proposed modifications to the Duke criteria for the diagnosis of infective endocarditis. Clin. Infect. Dis. 2000, 30, 633–638. [Google Scholar] [CrossRef] [PubMed]
- Habib, G.; Lancellotti, P.; Antunes, M.J.; Bongiorni, M.G.; Casalta, J.P.; Del Zotti, F.; Dulgheru, R.; El Khoury, G.; Erba, P.A.; Iung, B.; et al. 2015 ESC Guidelines for the management of infective endocarditis: The Task Force for the Management of Infective Endocarditis of the European Society of Cardiology (ESC). Endorsed by: European Association for Cardio-Thoracic Surgery (EACTS), the European Association of Nuclear Medicine (EANM). Eur. Heart. J. 2015, 36, 3075–3128. [Google Scholar] [CrossRef] [PubMed]
- Habib, G.; Erba, P.A.; Iung, B.; Donal, E.; Cosyns, B.; Laroche, C.; Popescu, B.A.; Prendergast, B.; Tornos, P.; Sadeghpour, A.; et al. Clinical presentation, aetiology and outcome of infective endocarditis. Results of the ESC-EORP EURO-ENDO (European infective endocarditis) registry: A prospective cohort study. Eur. Heart J. 2019, 40, 3222–3232. [Google Scholar] [CrossRef] [PubMed]
- Martínez-Sellés, M.; Muñoz, P.; Arnáiz, A.; Moreno, M.; Gálvez, J.; Rodríguez-Roda, J.; de Alarcón, A.; García Cabrera, E.; Fariñas, M.C.; Miró, J.M.; et al. Valve surgery in active infective endocarditis: A simple score to predict in-hospital prognosis. Int. J. Cardiol. 2014, 175, 133–137. [Google Scholar] [CrossRef] [PubMed]
- Murdoch, D.R.; Corey, G.R.; Hoen, B.; Miró, J.M.; Fowler, V.G.; Bayer, A.S.; Karchmer, A.W.; Olaison, L.; Pappas, P.A.; Moreillon, P.; et al. Clinical presentation, etiology, and outcome of infective endocarditis in the 21st century: The International Collaboration on Endocarditis-Prospective Cohort Study. Arch. Intern. Med. 2009, 169, 463–473. [Google Scholar] [CrossRef] [PubMed]
- Nunes, M.C.P.; Guimarães-Júnior, M.H.; Murta Pinto, P.H.O.; Coelho, R.M.P.; Souza Barros, T.L.; Faleiro Maia, N.P.A.; Madureira, D.A.; Padilha Reis, R.C.; Costa, P.H.N.; Bráulio, R.; et al. Outcomes of infective endocarditis in the current era: Early predictors of a poor prognosis. Int. J. Infect. Dis. 2018, 68, 102–107. [Google Scholar] [CrossRef] [PubMed]
- Morris, N.A.; Matiello, M.; Lyons, J.L.; Samuels, M.A. Neurologic complications in infective endocarditis: Identification, management, and impact on cardiac surgery. Neurohospitalist 2014, 4, 213–222. [Google Scholar] [CrossRef]
- Chen, C.C.; Wu, V.C.; Chang, C.H.; Chen, C.T.; Hsieh, P.C.; Liu, Z.H.; Wong, H.F.; Yang, C.H.; Chou, A.H.; Chu, P.H.; et al. Long-term Outcome of Neurological Complications after Infective Endocarditis. Sci. Rep. 2020, 10, 3994. [Google Scholar] [CrossRef]
- Snygg-Martin, U.; Gustafsson, L.; Rosengren, L.; Alsiö, A.; Ackerholm, P.; Andersson, R.; Olaison, L. Cerebrovascular complications in patients with left-sided infective endocarditis are common: A prospective study using magnetic resonance imaging and neurochemical brain damage markers. Clin. Infect. Dis. 2008, 47, 23–30. [Google Scholar] [CrossRef] [PubMed]
- Tonelli, M.; Wiebe, N.; Culleton, B.; House, A.; Rabbat, C.; Fok, M.; McAlister, F.; Garg, A.X. Chronic kidney disease and mortality risk: A systematic review. J. Am. Soc. Nephrol. 2006, 17, 2034–2047. [Google Scholar] [CrossRef] [PubMed]
- Pericàs, J.M.; Llopis, J.; Jiménez-Exposito, M.J.; Kourany, W.M.; Almirante, B.; Carosi, G.; Durante-Mangoni, E.; Fortes, C.Q.; Giannitsioti, E.; Lerakis, S.; et al. Infective Endocarditis in Patients on Chronic Hemodialysis. J. Am. Coll. Cardiol. 2021, 77, 1629–1640. [Google Scholar] [CrossRef] [PubMed]
- Charlson, M.E.; Pompei, P.; Ales, K.L.; MacKenzie, C.R. A new method of classifying prognostic comorbidity in longitudinal studies: Development and validation. J. Chronic Dis. 1987, 40, 373–383. [Google Scholar] [CrossRef] [PubMed]
- Delgado, V.; Ajmone Marsan, N.; de Waha, S.; Bonaros, N.; Brida, M.; Burri, H.; Caselli, S.; Doenst, T.; Ederhy, S.; Erba, P.A.; et al. 2023 ESC Guidelines for the management of endocarditis. Eur. Heart J. 2023, 44, 3948–4042. [Google Scholar] [CrossRef] [PubMed]
- Pericart, L.; Fauchier, L.; Bourguignon, T.; Bernard, L.; Angoulvant, D.; Delahaye, F.; Babuty, D.; Bernard, A. Long-Term Outcome and Valve Surgery for Infective Endocarditis in the Systematic Analysis of a Community Study. Ann. Thorac. Surg. 2016, 102, 496–504. [Google Scholar] [CrossRef] [PubMed]
- Chu, V.H.; Park, L.P.; Athan, E.; Delahaye, F.; Freiberger, T.; Lamas, C.; Miro, J.M.; Mudrick, D.W.; Strahilevitz, J.; Tribouilloy, C.; et al. Association between surgical indications, operative risk, and clinical outcome in infective endocarditis: A prospective study from the International Collaboration on Endocarditis. Circulation 2015, 131, 131–140. [Google Scholar] [CrossRef] [PubMed]
- Alagna, L.; Park, L.P.; Nicholson, B.P.; Keiger, A.J.; Strahilevitz, J.; Morris, A.; Wray, D.; Gordon, D.; Delahaye, F.; Edathodu, J.; et al. Repeat endocarditis: Analysis of risk factors based on the International Collaboration on Endocarditis—Prospective Cohort Study. Clin. Microbiol. Infect. 2014, 20, 566–575. [Google Scholar] [CrossRef] [PubMed]
- Toyoda, N.; Chikwe, J.; Itagaki, S.; Gelijns, A.C.; Adams, D.H.; Egorova, N.N. Trends in Infective Endocarditis in California and New York State, 1998–2013. JAMA 2017, 317, 1652–1660. [Google Scholar] [CrossRef]
- Ambrosioni, J.; Hernandez-Meneses, M.; Téllez, A.; Pericàs, J.; Falces, C.; Tolosana, J.M.; Vidal, B.; Almela, M.; Quintana, E.; Llopis, J.; et al. The Changing Epidemiology of Infective Endocarditis in the Twenty-First Century. Curr. Infect. Dis. Rep. 2017, 19, 21. [Google Scholar] [CrossRef]


| Characteristics | |
|---|---|
| Age (years) | 52 [36–64] |
| Male sex | 159 (60.5) |
| Predisposing condition | |
| Previous IE | 22 (8.5) |
| Rheumatic heart disease | 79 (30.2) |
| Prosthetic valve | 68 (26.1) |
| CIED | 77 (29.3) |
| Diabetes mellitus | 37 (14.2) |
| Chronic kidney disease | 34 (12.9) |
| Laboratory findings | |
| Hemoglobin (g/dL) | 10.1 [8.7–11.7] |
| Leukocytes (cells ×103/µL) | 11.1 [7.7–15.8] |
| NLR | 5.6 [3.2–10.3] |
| CRP (mg/L) | 73 [32.6–177] |
| Main causative microorganisms | |
| Staphylococcus aureus | 54 (20.5) |
| Coagulase-negative staphylococci | 38 (14.4) |
| Streptococci | 37 (14.1) |
| Enterococcus sp. | 20 (7.6) |
| Gram-negative bacteria | 13 (4.9) |
| Negative culture | 89 (33.8) |
| Echocardiographic findings | |
| Vegetation size | 11 [8–15] |
| Paravalvular leak, leaflet perforations, chordae tendinea rupture, mitral-aortic intervalvular fibrosa abscess | 71 (27) |
| Characteristics | Patients with NC at Hospital Admission (n = 48) | Patients without NC at Hospital Admission (n = 215) | p Value |
|---|---|---|---|
| Age (years) | 52 [37–63] | 52 [36.2–64.0] | 0.629 |
| Male sex | 28 (58.3) | 131 (60.9) | 0.755 |
| Predisposing condition | |||
| Previous IE | 3 (6.2) | 19 (8.8) | 0.732 |
| Rheumatic heart disease | 14 (29.1) | 65 (30.2) | 0.865 |
| Prosthetic valve | 10 (20.8) | 58 (26.9) | 0.325 |
| CIED | 8 (16.6) | 69 (32.0) | 0.025 |
| Diabetes mellitus | 8 (16.6) | 29 (13.4) | 0.772 |
| Chronic kidney disease | 3 (6.2) | 31 (14.4) | 0.234 |
| Laboratory findings | |||
| Hemoglobin (g/dL) | 9.7 [8.9–10.9] | 10.1 [8.6–11.7] | 0.274 |
| Leukocytes (cells ×103/µL) | 12.7 [8.7–18.9] | 10.7 [7.1–14.5] | 0.039 |
| CRP (mg/L) | 82 [51.2–181] | 68.4 [30–172.8] | 0.136 |
| Main causative microorganisms | |||
| Staphylococcus aureus | 14 (29.1) | 40 (18.6) | 0.107 |
| Coagulase-negative staphylococci | 3 (6.2) | 35 (16.2) | 0.075 |
| Streptococci | 10 (20.8) | 27 (12.5) | 0.210 |
| Enterococcus sp. | 5 (10.4) | 15 (6.9) | 0.407 |
| Gram-negative bacteria | 1 (2.0) | 12 (5.5) | 0.315 |
| Negative culture | 13 (27.0) | 76 (35.3) | 0.285 |
| Echocardiographic findings | |||
| Vegetation size | 12 [7–16] | 11 [8.0–15.0] | 0.895 |
| Paravalvular leak, leaflet perfora- tions, chordae tendinea rupture, mitral-aortic intervalvular fibrosa abscess | 14 (29.1) | 57 (26.5) | 0.793 |
| Characteristics | Survivors (n = 173) | Deceased (n = 90) | p Value |
|---|---|---|---|
| Age (years) | 51 [33.5–63] | 54 [40.7–66.0] | 0.073 |
| Male sex | 107 (61.8) | 52 (57.8) | 0.522 |
| Predisposing condition | |||
| Previous IE | 14 (8.1) | 8 (8.9) | 0.805 |
| Rheumatic heart disease | 53 (30.6) | 26 (28.9) | 0.863 |
| Prosthetic valve | 48 (27.7) | 20 (22.2) | 0.335 |
| CIED | 54 (31.2) | 23 (25.5) | 0.416 |
| Diabetes mellitus | 19 (11.0) | 18 (20.0) | 0.040 |
| Chronic kidney disease | 22 (12.7) | 12 (13.3) | 0.919 |
| Laboratory findings | |||
| Hemoglobin (g/dL) | 10.3 [8.7–12.0] | 9.4 [8.3–11.2] | 0.689 |
| Leukocytes (cells ×103/µL) | 10.2 [7.0–14.4] | 13.3 [9.6–17.9] | 0.001 |
| CRP (mg/L) | 56 [25.4–135] | 118 [55–242.0] | <0.001 |
| Main causative microorganisms | |||
| Staphylococcus aureus | 28 (16.2) | 26 (28.9) | 0.014 |
| Coagulase-negative staphylococci | 25 (14.5) | 13 (14.4) | 0.973 |
| Streptococci | 30 (17.3) | 7 (7.8) | 0.037 |
| Enterococcus sp. | 13 (7.5) | 7 (7.8) | 0.919 |
| Gram-negative bacteria | 8 (4.6) | 5 (5.6) | 0.726 |
| Negative culture | 64 (37.0) | 25 (27.8) | 0.150 |
| Echocardiographic findings | |||
| Vegetation size | 10 [7–15] | 14 [9.0–20.0] | 0.008 |
| Paravalvular leak, leaflet perforations, chordae tendinea rupture, mitral-aortic intervalvular fibrosa abscess | 46 (26.6) | 25 (27.8) | 0.837 |
| Characteristics | Univariate Analysis | Multivariate Analysis | ||
|---|---|---|---|---|
| HR (95% CI) | p Value | HR (95% CI) | p Value | |
| Age (years) | 1.024 (1.005–1.043) | 0.014 | 1.026 (1.006–1.047) | 0.012 |
| Male gender | 1.65 (0.90–3.00) | 0.102 | ||
| Rheumatic heart disease | 1.03 (0.50–2.00) | 0.924 | ||
| Degenerative valve disease | 1.51 (0.60–3.43) | 0.316 | ||
| Mitral valve prolapse | 1.34 (0.56–3.20) | 0.510 | ||
| Prosthetic valve | 1.03 (0.51–2.07) | 0.925 | ||
| Congenital heart disease | 0.04 (0.001–3.31) | 0.154 | ||
| Previous IE | 1.01 (0.31–3.28) | 0.982 | ||
| Diabetes mellitus | 2.04 (0.77–5.35) | 0.146 | ||
| Chronic kidney disease | 2.95 (1.46–5.92) | 0.002 | 4.265 (2.035–8.938) | <0.001 |
| C-reactive protein | 1.00 (0.99–1.00) | 0.327 | ||
| S. aureus infection | 1.30 (0.60–2.82) | 0.505 | ||
| Vegetation size | 0.99 (0.92–1.05) | 0.749 | ||
| Paravalvular complications | 1.04 (0.52–2.07) | 0.910 | ||
| Neurological events a | 1.50 (0.69–3.26) | 0.297 | 2.237 (1.006–4.976) | 0.048 |
| Embolic events | 1.60 (0.56–4.52) | 0.370 | ||
| Heart failure b | 1.95 (1.04–3.64) | 0.036 | 1.982 (1.035–3.795) | 0.039 |
| Cardiac surgery | 0.84 (0.44–1.59) | 0.603 | ||
Disclaimer/Publisher’s Note: The statements, opinions and data contained in all publications are solely those of the individual author(s) and contributor(s) and not of MDPI and/or the editor(s). MDPI and/or the editor(s) disclaim responsibility for any injury to people or property resulting from any ideas, methods, instructions or products referred to in the content. |
© 2024 by the authors. Licensee MDPI, Basel, Switzerland. This article is an open access article distributed under the terms and conditions of the Creative Commons Attribution (CC BY) license (https://creativecommons.org/licenses/by/4.0/).
Share and Cite
Pinto, P.H.O.M.; Fae, I.G.; Oliveira, G.B.; Duque, R.A.S.; Oliveira, M.V.M.; Barbalho, L.S.M.; Parreiras, A.O.; Gelape, F.A.; Cambraia, F.S.L.; Costa, G.L.; et al. Impact of Neurological Complications on Long-Term Outcomes in Patients with Infective Endocarditis. Trop. Med. Infect. Dis. 2024, 9, 132. https://doi.org/10.3390/tropicalmed9060132
Pinto PHOM, Fae IG, Oliveira GB, Duque RAS, Oliveira MVM, Barbalho LSM, Parreiras AO, Gelape FA, Cambraia FSL, Costa GL, et al. Impact of Neurological Complications on Long-Term Outcomes in Patients with Infective Endocarditis. Tropical Medicine and Infectious Disease. 2024; 9(6):132. https://doi.org/10.3390/tropicalmed9060132
Chicago/Turabian StylePinto, Pedro Henrique Oliveira Murta, Isabela Galizzi Fae, Gustavo Brandão Oliveira, Roni Arley Silva Duque, Mauricio Vitor Machado Oliveira, Luan Salvador Machado Barbalho, André Oliveira Parreiras, Fernanda Alves Gelape, Fernanda Sophya Leite Cambraia, Guilherme Lelis Costa, and et al. 2024. "Impact of Neurological Complications on Long-Term Outcomes in Patients with Infective Endocarditis" Tropical Medicine and Infectious Disease 9, no. 6: 132. https://doi.org/10.3390/tropicalmed9060132
APA StylePinto, P. H. O. M., Fae, I. G., Oliveira, G. B., Duque, R. A. S., Oliveira, M. V. M., Barbalho, L. S. M., Parreiras, A. O., Gelape, F. A., Cambraia, F. S. L., Costa, G. L., Diamante, L. C., Bráulio, R., Gelape, C. L., Teixeira-Carvalho, A., Ferrari, T. C. A., & Nunes, M. C. P. (2024). Impact of Neurological Complications on Long-Term Outcomes in Patients with Infective Endocarditis. Tropical Medicine and Infectious Disease, 9(6), 132. https://doi.org/10.3390/tropicalmed9060132

