Characterization of Japanese Encephalitis Virus Isolated from Persistently Infected Mouse Embryo Cells
Abstract
1. Introduction
2. Materials and Methods
2.1. Animals
2.2. Cells and Viruses
2.3. Established Persistent Virus Strain
2.4. Immunofluorescence Assay for JEV-NS1 Protein
2.5. Virus Growth Rate
2.6. Challenge Test in ICR Mice
2.7. Sequence Analysis
3. Results
3.1. Established Persistent Virus Strain
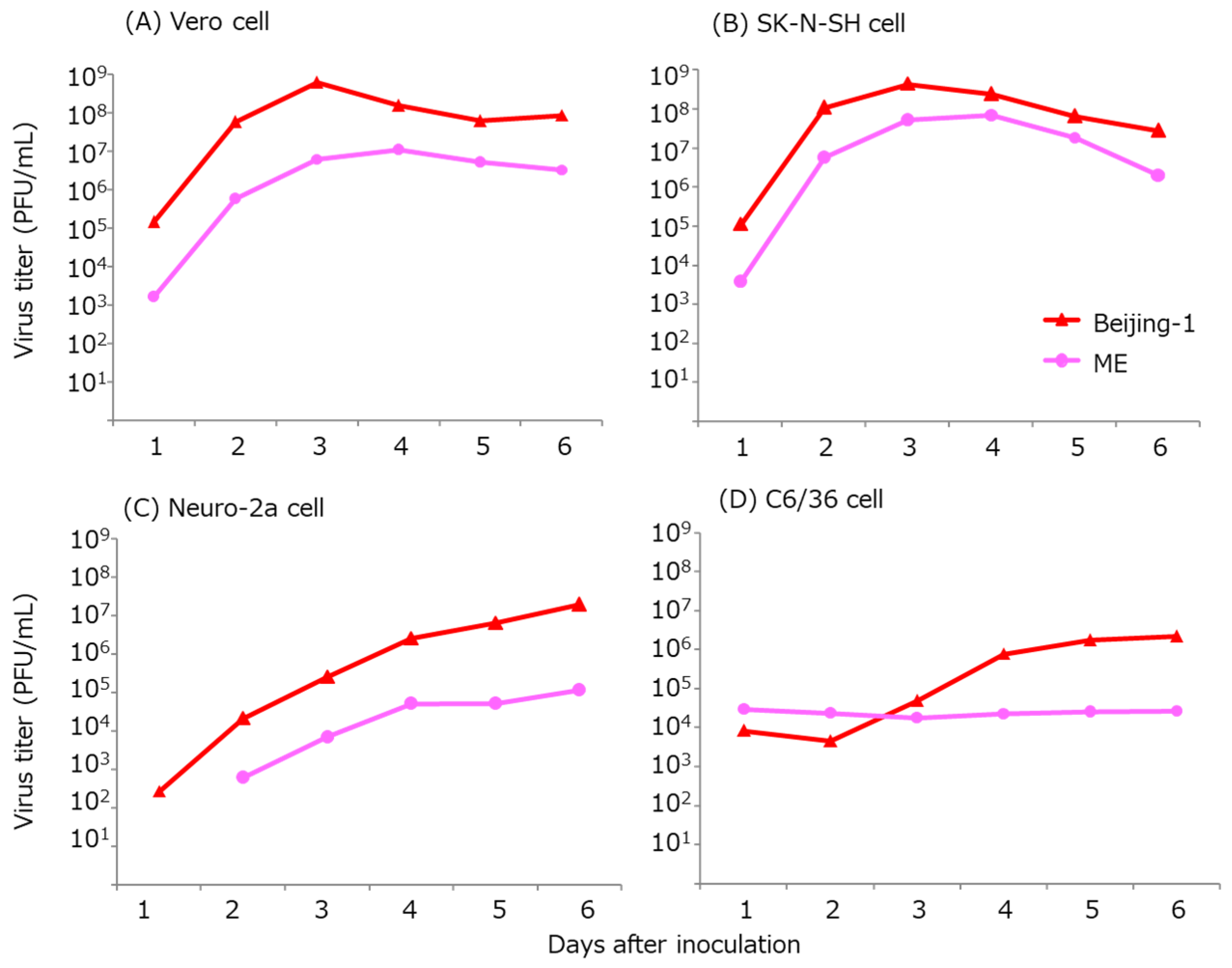
3.2. Virus Growth Rate
3.3. Mouse Survival Rate
3.4. Sequence Analysis
4. Discussion
5. Conclusions
Author Contributions
Funding
Institutional Review Board Statement
Informed Consent Statement
Data Availability Statement
Acknowledgments
Conflicts of Interest
References
- Solomon, T. Flavivirus encephalitis. N. Engl. J. Med. 2004, 351, 370–378. [Google Scholar] [CrossRef]
- Murphy, F.A.; Fauquet, C.M.; Bishop, D.H.L.; Ghabrial, S.A.; Jarvis, A.W.; Martelli, G.P.; Mayo, M.A.; Summer, D.M. Virus taxonomy, classification and nomenclature of viruses. Arch. Virol. 1995, 10, 1–586. [Google Scholar]
- Konishi, E.; Yamaoka, M.; Khin-Sane-Win; Kurane, I.; Takada, K.; Mason, P.W. The anamnestic neutralizing antibody response is critical for protection of mice from challenge following vaccination with a plasmid encoding the Japanese encephalitis virus premembrane and envelope genes. J. Virol. 1999, 73, 5527–5534. [Google Scholar] [CrossRef]
- Srivastava, A.K.; Aira, Y.; Mori, C.; Kobayashi, Y.; Igarashi, A. Antigenicity of Japanese encephalitis virus envelope glycoprotein V3(E) and its cyanogen bromide cleaved fragments examined by monoclonal antibodies and Western blotting. Arch. Virol. 1987, 96, 96–107. [Google Scholar] [CrossRef]
- Mackenzie, J.S.; Gubler, D.J.; Petersen, L.R. Emerging flaviviruses: The spread and resurgence of Japanese encephalitis, West Nile and dengue viruses. Nat. Med. 2004, 10, S98–S109. [Google Scholar] [CrossRef] [PubMed]
- Mansfield, K.L.; Hernandez-Triana, L.M.; Banyard, A.; Fooks, A.R.; Johnson, N. Japanese encephalitis infection, diagnosis and control in domestic animals. Vet. MIcrobiol. 2017, 201, 85–92. [Google Scholar] [CrossRef]
- McCarthy, M.K.; Morrison, T.E. Persistent RNA virus infections: Do PAMPS drive chronic disease? Curr. Opin. Virol. 2017, 23, 8–15. [Google Scholar] [CrossRef] [PubMed]
- Pérez-Padilla, J.; Paz-Bailey, G.; Meaney-Delman, D.; Doyle, K.; Gary, J.; Rodriguez, D.M.; Bhatnagar, J.; Pérez-Rodriguez, N.M.; Montalvo, S.; Alvarado, L.; et al. Persistent Zika virus infection associated with early fetal demise: A case report. Open J. Obstet. Gynecol. 2019, 9, 698–706. [Google Scholar] [CrossRef]
- Castro, V.; Ávila-Pérez, G.; Mingorance, L.; Gastaminza, P. A cell culture model for persistent HCV infection. In Hepatitis C Virus Protocols; Methods in Molecular Biology; Humana Press: New York, NY, USA, 2019; Volume 1911, pp. 157–168. [Google Scholar]
- Takegami, T. Japanese encephalitis. Virus 2003, 53, 25–30. (In Japanese) [Google Scholar] [CrossRef]
- Toriniwa, H.; Komiya, T. Long-term stability of Vero cell-derived inactivated Japanese encephalitis vaccine prepared using serum-free medium. Vaccine 2008, 4, 3680–3689. [Google Scholar] [CrossRef]
- Monath, T.P.C. Neutlralizaition antibody response in the major immunogloblin classes to yellow fever 170 vaccination of humans. Am. J. Epidemiol. 1971, 93, 123–129. [Google Scholar] [CrossRef] [PubMed]
- Lancaster, M.U.; Hoolgetis, S.I.; Mackmzie, J.S. Characterization of detection viral RNA produced during persistent infection of Vero cells with Murray Valley encephalitis virus. J. Virol. 1998, 72, 2472–2482. [Google Scholar] [CrossRef] [PubMed]
- Guohe, F.; Takegami, T.; Guizhen, Z. Characterization and E protein expression of mutant strains during persistent infection of KN73 cells with Japanese encephalitis virus. Chin. Med. J. 2002, 115, 1324–1327. [Google Scholar]
- Takegami, T.; Sakamuro, D.; Furukawa, T. Japanese encephalitis virus nonstructural protein NS3 has RNA binding and ATPase activities. Virus Genes 1995, 9, 105–112. [Google Scholar] [CrossRef] [PubMed]
- Wang, Q.; Xin, X.; Wang, T.; Wan, J.; Ou, Y.; Yang, Z.; Yu, Q.; Zhu, L.; Guo, Y.; Wu, Y.; et al. Japanese Encephalitis Virus Induces Apoptosis and Encephalitis by Activating the PERK Pathway. J. Virol. 2019, 93, e00887-19. [Google Scholar] [CrossRef] [PubMed]
- Monath, T.P.; Arroyo, J.; Levenbook, I.; Zhang, Z.X.; Catalan, J.; Draper, K.; Guirakhoo, F. Shingle mutation in the flavivirus protein hinge region increase neurovirulence for mice and monkeys but decrease viscerotropism for monkeys: Relevance to development and safety testing of live, attenuated vaccines. J. Virol. 2002, 76, 1932–1943. [Google Scholar] [CrossRef] [PubMed]
- Yasui, K. Neuropathogenesis of Japanese encephalitis virus. J. Neurovirol. 2002, 8 (Suppl. 2), 112–114. [Google Scholar] [CrossRef] [PubMed]
- Kato, F.; Kotaki, A.; Yamaguchi, Y.; Shiba, H.; Hosono, K.; Harada, S.; Saijo, M.; Kurane, I.; Takasaki, T.; Tajima, S. Identification and characterization of the short variable region of the Japanese encephalitis virus 3′ NTR. Virus Genes 2012, 44, 191–197. [Google Scholar] [CrossRef]
- Mandl, C.W.; Holzmann, H.; Meixner, T.; Rauscher, S.; Stadler, P.F.; Allison, S.L.; Heinz, F.X. Spontaneous and engineered deletions in the 3’ noncoding region of tick-borne encephalitis virus: Construction of highly attenuated mutants of a flavivirus. J. Virol. 1998, 72, 2132–2140. [Google Scholar] [CrossRef] [PubMed]
- Komiya, T.; Toriniwa, H.; Matsumura, T.; Takegami, T.; Nakayama, T. Epidemiological study on Japanese encephalitis virus distribution in Ishikawa prefecture, Japan, by serological investigation using wild boar sera. J. Vet. Med. Sci. 2019, 81, 903–905. [Google Scholar] [CrossRef]
- Ricklin, M.E.; Garcia-Nicolas, O.; Brechbuhi, D.; Python, S.; Zumkehr, B.; Nougairede, A.; Charrel, R.N.; Posthaus, H.; Overmann, A.; Summerfield, A. Vector-free transmission and persistence of Japanese encephalitis virus in pigs. Nat. Commun. 2016, 7, 10832. [Google Scholar] [CrossRef] [PubMed]
- Morita, K.; Nabeshima, T.; Buerano, C.C. Japanese encephalitis. Rev. Sci. Tech. 2015, 34, 441–452. [Google Scholar] [CrossRef] [PubMed]





| DNA Position | AA Position | Beijing-1 | ME134 | |
|---|---|---|---|---|
| Capsid | 97 | 1 | M | T |
| 246 | 51 | I | ||
| 402 | 102 | N | ||
| 456 | 121 | V | ||
| prM | 516 | 141 | I | |
| 606 | 171 | M | ||
| M | 769 | 225 | T | I |
| 814 | 240 | D | G | |
| 861 | 256 | I | ||
| 974 | 300 | I | ||
| E | 995 | 307 | M | I |
| 1128 | 345 | S | ||
| 1215 | 374 | A | P | |
| 1224 | 377 | E | ||
| 1346 | 417 = E123 | R | R | |
| 1389 | 432 = E138 | E | ||
| 1452 | 453 | V | ||
| 1504 | 470 | I | ||
| 1512 | 473 | K | ||
| 1804 | 570 | S | ||
| 1846 | 584 | K | ||
| 1893 | 600 | E | G | |
| 2166 | 691 | Y | F | |
| 2230 | 712 | A | ||
| 2394 | 767 | I | ||
| NS1 | 2499 | 802 | I | |
| 2509 | 805 | R | ||
| 2689 | 865 | V | ||
| 2775 | 894 | A | S | |
| 3369 | 1092 | I | ||
| 3523 | 1143 | R | ||
| 3530 | 1145 | D | E | |
| NS2A | 3610 | 1172 | K | R |
| 3661 | 1189 | V | ||
| 3850 | 1252 | A | ||
| 3873 | 1260 | F | ||
| 3886 | 1264 | S/L | L | |
| 3981 | 1296 | V | ||
| 4069 | 1325 | I | ||
| 4098 | 1335 | A | ||
| NS2B | 4233 | 1380 | F | V |
| 4468 | 1458 | F | Y | |
| NS3 | 4784 | 1563 | M | I |
| 5032 | 1646 | F | ||
| 5152 | 1686 | T | ||
| 5736 | 1881 | Q | K | |
| 6151 | 2019 | G | ||
| 6159 | 2022 | F | ||
| NS4B | 6970 | 2292 | K | T |
| 7167 | 2358 | V | M | |
| 7450 | 2452 | G | ||
| 7561 | 2489 | V | A | |
| 7660 | 2522 | K | R | |
| NS5 | 7744 | 2550 | E | |
| 8499 | 2802 | D | ||
| 8617 | 2841 | K | R | |
| 10,257 | 3388 | R | ||
| 10,317 | 3408 | K | E |
Disclaimer/Publisher’s Note: The statements, opinions and data contained in all publications are solely those of the individual author(s) and contributor(s) and not of MDPI and/or the editor(s). MDPI and/or the editor(s) disclaim responsibility for any injury to people or property resulting from any ideas, methods, instructions or products referred to in the content. |
© 2024 by the authors. Licensee MDPI, Basel, Switzerland. This article is an open access article distributed under the terms and conditions of the Creative Commons Attribution (CC BY) license (https://creativecommons.org/licenses/by/4.0/).
Share and Cite
Kondo, Y.; Komiya, T. Characterization of Japanese Encephalitis Virus Isolated from Persistently Infected Mouse Embryo Cells. Trop. Med. Infect. Dis. 2024, 9, 117. https://doi.org/10.3390/tropicalmed9050117
Kondo Y, Komiya T. Characterization of Japanese Encephalitis Virus Isolated from Persistently Infected Mouse Embryo Cells. Tropical Medicine and Infectious Disease. 2024; 9(5):117. https://doi.org/10.3390/tropicalmed9050117
Chicago/Turabian StyleKondo, Yume, and Tomoyoshi Komiya. 2024. "Characterization of Japanese Encephalitis Virus Isolated from Persistently Infected Mouse Embryo Cells" Tropical Medicine and Infectious Disease 9, no. 5: 117. https://doi.org/10.3390/tropicalmed9050117
APA StyleKondo, Y., & Komiya, T. (2024). Characterization of Japanese Encephalitis Virus Isolated from Persistently Infected Mouse Embryo Cells. Tropical Medicine and Infectious Disease, 9(5), 117. https://doi.org/10.3390/tropicalmed9050117

