Evaluation of Durability as a Function of Fabric Strength and Residual Bio-Efficacy for the Olyset Plus and Interceptor G2 LLINs after 3 Years of Field Use in Tanzania
Abstract
1. Introduction
2. Materials and Methods
2.1. Study Site
2.2. Test Items (Nets Used in the Study)
- New unused Olyset Plus nets (1 for bio-efficacy, 1 for physical integrity)
- New unused Interceptor G2 nets (1 for bio-efficacy, 1 for physical integrity)
- Laboratory-washed Olyset Plus nets (1 for bio-efficacy, 1 for physical integrity)
- Laboratory-washed Interceptor G2 nets (1 for bio-efficacy, 1 for physical integrity)
- Interceptor G2 nets used under operational conditions for 36 months (1 for bio-efficacy, 1 for physical integrity)
- Olyset Plus nets used under operational conditions for 36 months (1 for bio-efficacy, 1 for physical integrity)
2.3. Net Washing
2.4. Cone Bioassays
2.5. WHO Tunnels Test
2.6. Nets Fabric Integrity
2.7. Fabric Weight
2.8. Tear Strength Test (Ballistic Pendulum)
2.9. Bursting Strength
2.10. Mesh Size Test
2.11. Tensile Strength Test (Hook Tensile Strength Test)
2.12. Tensile Strength Tests (Standard Grab Method)
2.13. Statistical Methods
3. Results
3.1. Bio-Efficacy
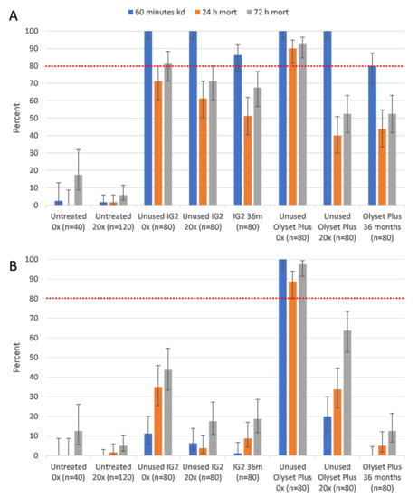
3.1.1. Cone Bioassays
3.1.2. Tunnel Test
Mortality Percentage
Blood Feeding Percentage
Penetration Percentage
3.1.3. Physical Strength
Interceptor G2 LLIN
Olyset Plus LLIN
4. Discussion
5. Conclusions
Supplementary Materials
Author Contributions
Funding
Institutional Review Board Statement
Informed Consent Statement
Data Availability Statement
Acknowledgments
Conflicts of Interest
References
- Bhatt, S.; Weiss, D.J.; Cameron, E.; Bisanzio, D.; Mappin, B.; Dalrymple, U.; Battle, K.; Moyes, C.L.; Henry, A.; Eckhoff, P.A.; et al. The effect of malaria control on Plasmodium falciparum in Africa between 2000 and 2015. Nature 2015, 526, 207–211. [Google Scholar] [CrossRef] [PubMed]
- WHO. Determination of Fabric Strength of Long-Lasting Insecticidal Nets: Report of a WHO Consultation; World Health Organization: Geneva, Switzerland, 2015. [Google Scholar]
- WHO. World Malaria Report 2020; World Health Organization: Geneva, Switzerland, 2020. [Google Scholar]
- Bermejo, A.; Veeken, H. Insecticide-impregnated bed nets for malaria control: A review of the field trials. Bull. World Health Organ. 1992, 70, 293–296. [Google Scholar] [PubMed]
- Ochomo, E.O.; Bayoh, N.M.; Walker, E.D.; Abongo, B.O.; Ombok, M.O.; Ouma, C.; Githeko, A.K.; Vulule, J.; Yan, G.; Gimnig, J.E. The efficacy of long-lasting nets with declining physical integrity may be compromised in areas with high levels of pyrethroid resistance. Malar. J. 2013, 12, 368. [Google Scholar] [CrossRef] [PubMed]
- WHO. Guidelines for Laboratory and Field Testing of Long-Lasting Insecticidal Mosquito Nets; World Health Organization: Geneva, Switzerland, 2005; Available online: https://www.who.int/publications/i/item/who-cds-whopes-gcdpp-2005.14 (accessed on 30 January 2023).
- Guillet, P.; Alnwick, D.; Cham, M.K.; Neira, M.; Zaim, M.; Heymann, D.; Mukelabai, K. Long-lasting treated mosquito nets: A breakthrough in malaria prevention. Bull. World Health Organ. 2001, 79, 998. [Google Scholar]
- WHO. World Malaria Report 2022; World Health Organization: Geneva, Switzerland, 2022. [Google Scholar]
- WHO. List of WHO Prequalified Vector Control Products; World Health Organization: Geneva, Switzerland, 2020; Available online: https://www.who.int/pq-vector-control/prequalified-lists/LOPrequalifiedProducts20190411.pdf?ua=1 (accessed on 5 June 2023).
- Protopopoff, N.; Mosha, J.F.; Lukole, E.; Charlwood, J.D.; Wright, A.; Mwalimu, C.D.; Manjurano, A.; Mosha, F.W.; Kisinza, W.; Kleinschmidt, I.; et al. Effectiveness of a long-lasting piperonyl butoxide-treated insecticidal net and indoor residual spray interventions, separately and together, against malaria transmitted by pyrethroid-resistant mosquitoes: A cluster, randomised controlled, two-by-two factorial design trial. Lancet 2018, 391, 1577–1588. [Google Scholar] [CrossRef]
- Staedke, S.G.; Gonahasa, S.; Dorsey, G.; Kamya, M.R.; Maiteki-Sebuguzi, C.; Lynd, A.; Katureebe, A.; Kyohere, M.; Mutungi, P.; Kigozi, S.P.; et al. Effect of long-lasting insecticidal nets with and without piperonyl butoxide on malaria indicators in Uganda (LLINEUP): A pragmatic, cluster-randomised trial embedded in a national LLIN distribution campaign. Lancet 2020, 395, 1292–1303. [Google Scholar] [CrossRef]
- WHO. WHO Guidelines for Malaria—14 March 2023; World Health Organization Global Malaria Programme: Geneva, Switzerland, 2023. [Google Scholar]
- Randriamaherijaona, S.; Raharinjatovo, J.; Boyer, S. Durability monitoring of long-lasting insecticidal (mosquito) nets (LLINs) in Madagascar: Physical integrity and insecticidal activity. Parasites Vectors 2017, 10, 564. [Google Scholar] [CrossRef]
- Boussougou-Sambe, S.T.; Awono-Ambene, P.; Tasse, G.C.; Etang, J.; Binyang, J.A.; Nouage, L.D.; Wamba, G.; Enyong, P.; Fokam, E.B. Physical integrity and residual bio-efficacy of used LLINs in three cities of the South-West region of Cameroon 4 years after the first national mass-distribution campaign. Malar. J. 2017, 16, 31. [Google Scholar] [CrossRef]
- Gnanguenon, V.; Azondekon, R.; Oke-Agbo, F.; Beach, R.; Akogbeto, M. Durability assessment results suggest a serviceable life of two, rather than three, years for the current long-lasting insecticidal (mosquito) net (LLIN) intervention in Benin. BMC Infect. Dis. 2014, 14, 69. [Google Scholar] [CrossRef]
- Haji, K.A.; Khatib, B.O.; Obi, E.; Dimoso, K.; Koenker, H.; Babalola, S.; Greer, G.; Serbantez, N.; Abbas, F.; Ali, A.; et al. Monitoring the durability of the long-lasting insecticidal nets Olyset® and PermaNet® 2.0 in similar use environments in Zanzibar. Malar. J. 2020, 19, 187. [Google Scholar] [CrossRef]
- Wheldrake, A.; Guillemois, E.; Arouni, H.; Chetty, V.; Russell, S.J. The causes of holes and loss of physical integrity in long-lasting insecticidal nets. Malar. J. 2021, 20, 45. [Google Scholar] [CrossRef] [PubMed]
- FAO; WHO. Manual on Development and Use of FAO and WHO Specifications for Pesticides, 1st ed.; World Health Organization: Geneva, Switzerland, 2016; Available online: https://www.who.int/publications/i/item/who-htm-ntd-whopes-2016.4 (accessed on 30 January 2023).
- Käse, S.K.; Russell, S.J. Modes of hole formation in long-lasting insecticidal nets (LLINs) retrieved from South Eastern Ghana. Parasit Vectors 2014, 7, 547. [Google Scholar] [CrossRef] [PubMed]
- Mosha, J.F.; Kulkarni, M.A.; Lukole, E.; Matowo, N.S.; Pitt, C.; Messenger, L.A.; Mallya, E.; Jumanne, M.; Aziz, T.; Kaaya, R.; et al. Effectiveness and cost-effectiveness against malaria of three types of dual-active-ingredient long-lasting insecticidal nets (LLINs) compared with pyrethroid-only LLINs in Tanzania: A four-arm, cluster-randomised trial. Lancet 2022, 399, 1227–1241. [Google Scholar] [CrossRef]
- Bayili, K.; N’do, S.; Namountougou, M.; Sanou, R.; Ouattara, A.; Dabire, R.K.; Ouédraogo, A.G.; Malone, D.; Diabaté, A. Evaluation of efficacy of Interceptor((R)) G2, a long-lasting insecticide net coated with a mixture of chlorfenapyr and alpha-cypermethrin, against pyrethroid resistant Anopheles gambiae s.l. in Burkina Faso. Malar J. 2017, 16, 190. [Google Scholar] [CrossRef]
- Matowo, N.S.; Kulkarni, M.A.; Messenger, L.A.; Jumanne, M.; Martin, J.; Mallya, E.; Lukole, E.; Mosha, J.F.; Moshi, O.; Shirima, B.; et al. Differential impact of dual-active ingredient long-lasting insecticidal nets on primary malaria vectors: A secondary analysis of a 3-year, single-blind, cluster-randomised controlled trial in rural Tanzania. Lancet Planet. Health 2023, 7, e370–e380. [Google Scholar] [CrossRef]
- Pennetier, C.; Bouraima, A.; Chandre, F.; Piameu, M.; Etang, J.; Rossignol, M.; Sidick, I.; Zogo, B.; Lacroix, M.N.; Yadav, R.; et al. Efficacy of Olyset® Plus, a new long-lasting insecticidal net incorporating permethrin and piperonyl-butoxide against multi-resistant malaria vectors [corrected]. PLoS ONE 2013, 8, e75134. [Google Scholar] [CrossRef]
- Kilian, A.; Byamukama, W.; Pigeon, O.; Gimnig, J.; Atieli, F.; Koekemoer, L.; Protopopoff, N. Evidence for a useful life of more than three years for a polyester-based long-lasting insecticidal mosquito net in Western Uganda. Malar. J. 2011, 10, 299. [Google Scholar] [CrossRef]
- WHO. Guidelines for Laboratory and Field Testing of Long-Lasting Insecticidal Mosquito Nets; World Health Organization: Geneva, Switzerland, 2013; Available online: https://apps.who.int/iris/bitstream/handle/10665/80270/9789241505277_eng.pdf (accessed on 30 January 2023).
- World Health Organization. Technical Consultation on Specifications and Quality Control of Netting Materials and Mosquito Nets. Updated WHO Specifications for Netting Materials and Mosquito Nets; WHO Headquarters: Geneva, Switzerland, 2007. [Google Scholar]
- UNHCR. Mosquito Nets: LLIN; United Nations High Commissioner for Refugees: Geneva, Switzerland, 2011; Available online: https://www.unhcr.org/sites/default/files/legacy-pdf/4e04982c9.pdf (accessed on 30 January 2023).
- Azizi, S.; Snetselaar, J.; Wright, A.; Matowo, J.; Shirima, B.; Kaaya, R.; Athumani, R.; Tenu, F.; Protopopoff, N.; Kirby, M. Colonization and Authentication of the Pyrethroid-Resistant Anopheles gambiae s.s. Muleba-Kis Strain; an Important Test System for Laboratory Screening of New Insecticides. Insects 2021, 12, 710. [Google Scholar] [CrossRef] [PubMed]
- Olyset plus; Interceptor LN; Malathion 440 EW; Vectobac GR. Proceedings of the Report of the 15th WHOPES Working Group Meeting, Geneva, Switzerland, 18–22 June 2012; WHO/HQ: Geneva, Switzerland, 2012. [Google Scholar]
- Santos, E.M.; Coalson, J.E.; Jacobs, E.T.; Klimentidis, Y.C.; Munga, S.; Agawo, M.; Anderson, E.; Stroupe, N.; Ernst, K.C. Bed net care practices and associated factors in western Kenya. Malar. J. 2019, 18, 274. [Google Scholar] [CrossRef] [PubMed]
- Oxborough, R.M.; N’Guessan, R.; Jones, R.; Kitau, J.; Ngufor, C.; Malone, D.; Mosha, F.W.; Rowland, M.W. The activity of the pyrrole insecticide chlorfenapyr in mosquito bioassay: Towards a more rational testing and screening of non-neurotoxic insecticides for malaria vector control. Malar. J. 2015, 14, 124. [Google Scholar] [CrossRef]
- Bubun, N.; Anetul, E.; Koinari, M.; Freeman, T.W.; Karl, S. Coating formulation change leads to inferior performance of long-lasting insecticidal nets in Papua New Guinea. Malar. J. 2022, 21, 349. [Google Scholar] [CrossRef]
- Gichuki, P.M.; Kamau, L.; Njagi, K.; Karoki, S.; Muigai, N.; Matoke-Muhia, D.; Bayoh, N.; Mathenge, E.; Yadav, R.S. Bioefficacy and durability of Olyset® Plus, a permethrin and piperonyl butoxide-treated insecticidal net in a 3-year long trial in Kenya. Infect. Dis. Poverty 2021, 10, 135. [Google Scholar] [CrossRef]
- Morris, S.E.; Davies, N.W.; Brown, P.H.; Groom, T. Effect of drying conditions on pyrethrins content. Ind. Crops Prod. 2006, 23, 9–14. [Google Scholar] [CrossRef]
- Atieli, F.K.; Munga, S.O.; Ofulla, A.V.; Vulule, J.M. Wash durability and optimal drying regimen off four brands of long lasting insecticide-treated nets after repeated washing under tropical conditions. Malar. J. 2010, 9, 248. [Google Scholar] [CrossRef] [PubMed]
- Brake, S.; Gomez-Maldonado, D.; Hummel, M.; Zohdy, S.; Peresin, M.S. Understanding the current state-of-the-art of long-lasting insecticide nets and potential for sustainable alternatives. CRPVBD 2022, 2, 100101. [Google Scholar] [CrossRef] [PubMed]
- Tungu, P.K.; Michael, E.; Sudi, W.; Kisinza, W.W.; Rowland, M. Efficacy of interceptor® G2, a long-lasting insecticide mixture net treated with chlorfenapyr and alpha-cypermethrin against Anopheles funestus: Experimental hut trials in north-eastern Tanzania. Malar. J. 2021, 20, 180. [Google Scholar] [CrossRef]
- Camara, S.; Ahoua Alou, L.P.; Koffi, A.A.; Clegban, Y.C.M.; Kabran, J.P.; Koffi, F.M.; Koffi, K.; Pennetier, C. Efficacy of Interceptor®, a new long-lasting insecticidal net against wild pyrethroid-resistant Anopheles gambiae s.s. from Côte d’Ivoire: A semi-field trial. Parasite 2018, 25, 42. [Google Scholar] [CrossRef] [PubMed]
- N’Guessan, R.; Odjo, A.; Ngufor, C.; Malone, D.; Rowland, M. A Chlorfenapyr Mixture Net Interceptor® G2 Shows High Efficacy and Wash Durability against Resistant Mosquitoes in West Africa. PLoS ONE 2016, 11, e0165925. [Google Scholar] [CrossRef]
- Ngufor, C.; Fagbohoun, J.; Agobevo, A.; Ismail, H.; Challenger, J.D.; Churcher, T.; Rowland, M. Comparative efficacy of two pyrethroid-piperonyl butoxide nets (Olyset Plus and PermaNet 3.0) against pyrethroid resistant malaria vectors: A non-inferiority assessment. Malar. J. 2022, 21, 20. [Google Scholar] [CrossRef]
- Skovmand, O.; Bosselmann, R. Strength of bed nets as function of denier, knitting pattern, texturizing and polymer. Malar. J. 2011, 10, 87. [Google Scholar] [CrossRef]
- Vinit, R.; Timinao, L.; Bubun, N.; Katusele, M.; Robinson, L.J.; Kaman, P.; Sakur, M.; Makita, L.; Reimer, L.; Schofield, L.; et al. Decreased bioefficacy of long-lasting insecticidal nets and the resurgence of malaria in Papua New Guinea. Nat. Commun. 2020, 11, 3646. [Google Scholar] [CrossRef] [PubMed]
- TANA Netting. Procurement of Sub-Standard Long-Lasting Insecticidal Nets. 2021. Available online: https://www.theglobalfund.org/media/ (accessed on 22 February 2023).
- Innovtion to Impact. Raising the Floor on Nets—May 2022 Convening. Available online: https://innovationtoimpact.org/wp-content/uploads/2022/06/2nd-Convening-Summary_edit.pdf (accessed on 10 June 2023).
- Karl, S.; Katusele, M.; Freeman, T.W.; Moore, S.J. Quality Control of Long-Lasting Insecticidal Nets: Are We Neglecting It? Trends Parasitol. 2021, 37, 610–621. [Google Scholar] [CrossRef] [PubMed]
- Smith, S.C.; Joshi, U.B.; Grabowsky, M.; Selanikio, J.; Nobiya, T.; Aapore, T. Evaluation of bednets after 38 months of household use in northwest Ghana. Am. J. Trop. Med. Hyg. 2007, 77, 243–248. [Google Scholar] [CrossRef] [PubMed]
- Diouf, E.H.; Diouf, M.; Dieme, C.; Swamidoss, I.; Ngom, E.H.M.; Senghor, M.W.; Mbaye, M.; Konaté, A.; Coulibaly, Y.; Tine, D.; et al. Evaluation of the residual efficacy and physical durability of five long-lasting insecticidal nets (LLINs) in Senegal. Malar. J. 2022, 21, 210. [Google Scholar] [CrossRef]




| Net Type | Polymer | Bursting Strength | Denier | Minimum Mesh Size (holes/cm2) | Active Ingredient |
|---|---|---|---|---|---|
| Olyset Plus | Polyethylene | ≥250 kPa | 100 | 6 | Permethrin * 2.0% w/w (+/−0.5% w/w) Piperonyl butoxide ** 1.0% w/w (+/−0.25% w/w) |
| Interceptor G2 | Polyester | ≥405 kPa | 100 | 24 | Chlorfenapyr (200 mg/m2 ± 25%), alpha-cypermethrin (100 mg/m2 ± 25%) |
Disclaimer/Publisher’s Note: The statements, opinions and data contained in all publications are solely those of the individual author(s) and contributor(s) and not of MDPI and/or the editor(s). MDPI and/or the editor(s) disclaim responsibility for any injury to people or property resulting from any ideas, methods, instructions or products referred to in the content. |
© 2023 by the authors. Licensee MDPI, Basel, Switzerland. This article is an open access article distributed under the terms and conditions of the Creative Commons Attribution (CC BY) license (https://creativecommons.org/licenses/by/4.0/).
Share and Cite
Azizi, S.; Martin, J.; Mbewe, N.J.; Msapalla, A.; Mwacha, S.; Joram, A.; Mawa, B.; Kaaya, R.D.; Kitau, J.; Mosha, F.; et al. Evaluation of Durability as a Function of Fabric Strength and Residual Bio-Efficacy for the Olyset Plus and Interceptor G2 LLINs after 3 Years of Field Use in Tanzania. Trop. Med. Infect. Dis. 2023, 8, 379. https://doi.org/10.3390/tropicalmed8080379
Azizi S, Martin J, Mbewe NJ, Msapalla A, Mwacha S, Joram A, Mawa B, Kaaya RD, Kitau J, Mosha F, et al. Evaluation of Durability as a Function of Fabric Strength and Residual Bio-Efficacy for the Olyset Plus and Interceptor G2 LLINs after 3 Years of Field Use in Tanzania. Tropical Medicine and Infectious Disease. 2023; 8(8):379. https://doi.org/10.3390/tropicalmed8080379
Chicago/Turabian StyleAzizi, Salum, Jackline Martin, Njelembo J. Mbewe, Agness Msapalla, Silvia Mwacha, Amandus Joram, Benson Mawa, Robert Diotrephes Kaaya, Jovin Kitau, Franklin Mosha, and et al. 2023. "Evaluation of Durability as a Function of Fabric Strength and Residual Bio-Efficacy for the Olyset Plus and Interceptor G2 LLINs after 3 Years of Field Use in Tanzania" Tropical Medicine and Infectious Disease 8, no. 8: 379. https://doi.org/10.3390/tropicalmed8080379
APA StyleAzizi, S., Martin, J., Mbewe, N. J., Msapalla, A., Mwacha, S., Joram, A., Mawa, B., Kaaya, R. D., Kitau, J., Mosha, F., Matowo, J., & Protopopoff, N. (2023). Evaluation of Durability as a Function of Fabric Strength and Residual Bio-Efficacy for the Olyset Plus and Interceptor G2 LLINs after 3 Years of Field Use in Tanzania. Tropical Medicine and Infectious Disease, 8(8), 379. https://doi.org/10.3390/tropicalmed8080379

