Observations and Considerations for Implementing Vibration Signals as an Input Technique for Mobile Devices
Abstract
1. Introduction
2. Research Question
«What factors affect the efficiency of vibration-based input methods on mobile devices when users swipe with their index finger under different swipe movement behaviors over textured surfaces while wearing the devices?»
3. Related Work
3.1. Human-Determined Aspects
3.2. Software-Determined Aspects
3.2.1. Sliding Window
3.2.2. Filter
3.2.3. Feature Vector
3.2.4. SVM Kernel
4. Laboratory User Study
4.1. Swipe Surfaces
4.2. Human-Determined Aspects
4.3. Software-Determined Aspects
| Kernel | cache_size in MB | degree | (nu) | (gamma) | (C) | (eps) |
|---|---|---|---|---|---|---|
| Linear | 300 | — | — | 100 | 0.5 | |
| RBF | 300 | — | 1250 | |||
| Polynomial | 300 | 5 | 100 | |||
| Sigmoid | 300 | — | 100 |
Method
5. SVM Training and Classification
5.1. Screening Phase
5.1.1. Training
| Factor | Levels | |
|---|---|---|
| Software | l in samples: | 32, 64, 128 |
| in Hz: | 0, 0.1, 5, 20 | |
| : | seven different feature vectors; see Table 3 | |
| One-class kernel: | same as multiclass kernel or RBF | |
| Multiclass kernel: | linear, RBF, polynomial, sigmoid | |
| Mobile device: | smartphone, smartwatch, both | |
| Hum. | Swipe contact: | both |
| Swipe orientation: | horizontal, vertical, both; see Table 1 | |
| Swipe movement: | both |
5.1.2. Classification
5.2. Detail Phase
5.2.1. Training
5.2.2. Classification
6. Evaluation
6.1. Whole Swipe
6.2. In-Field User Study
Method
- Selection of swipe behavior: In the screening phase, the examiner provided instructions to participants regarding the swipe behavior to be used in the study.
- Different swipe conditions: During the screening phase, participants only performed swipes in the sitting condition. However, in the in-field user study, both sitting and standing swipe behaviors were included. The change in swipe conditions is significant because the position of the mobile devices and the swipe surface differs when standing, as depicted in Figure 5. This variation in the swipe condition should answer the question of whether and how it affects the classification of the swipe surface.
- Bluetooth connection: In the screening phase, both mobile devices were consistently connected via Bluetooth. However, in the in-field user study, the smartphone and smartwatch were used separately, without a Bluetooth connection between them. Participants performed swipe movements using both connected and unconnected devices. When there is no Bluetooth connection, the hand posture changes, as illustrated in Figure 6.
6.3. Ambient Noise User Study
Method
- Walking: The participants walked around our university for about five minutes. They wore the smartwatch on their wrist and held the smartphone in their hand. This walking activity also involved climbing up and down stairs. We included this condition based on our observation of how people typically hold their smartphones while walking on the campus at our university.
- Text typing: The participants picked up the smartphone from the desk and typed a text. Afterward, they placed the smartphone back on the desk. We did not provide a specific input text, and it was not crucial how they typed the text, that is, whether it was with their index finger or thumb, for example. The participants repeated this task three times.
- Phone call: We simulated a phone call for the participants. In this scenario, they picked up the smartphone from the table. Next, they swiped over the touchscreen to accept the phone call. After a while, they returned the smartphone to the table. The participants repeated this task three times.
- Whole day: The mobile devices recorded vibration signals for a duration of two hours. During this time, the devices were also charging. Each task was repeated twice, allowing us to collect vibration signals for approximately eight hours. These tasks were distributed throughout the day to simulate typical mobile device usage patterns. These charging times are in consideration of the limited battery capacity of the smartwatch. We handed over the mobile devices to the participants and were not able to observe their activities during the recording time.The start of the vibration recording varied slightly because the mobile devices were not connected via Bluetooth. Participants pressed the start button on each device to begin recording the vibration signals. A time series of was recorded randomly. To manage the data effectively, the software application on the mobile devices stopped after two hours, resulting in nearly 1000 of . At this stage, is not converted to a sliding window. When about 500 such time series in one hour have been recorded in one hour, the software application will stop recording the vibration signals until the next hour is started. After the recording time, the sliding windows w with 64 or 128 samples were applied as specified in Table 5 and explained in Figure 3.
7. Results
7.1. Human-Determined Aspects
| Swipe Behavior | Condition | Filled in in % | Applied in % | |
|---|---|---|---|---|
| Preferred | Orientation | Horizontal | 41.67 | 50.00 |
| Vertical | 58.33 | 50.00 | ||
| Contact | Skin | 75.00 | 75.00 | |
| Nail | 25.00 | 25.00 | ||
| Movement | Hand | 100.00 | 100.00 | |
| Finger | 00.00 | 00.00 | ||
| Dispreferred | Orientation | Horizontal | 50.00 | |
| Vertical | 50.00 | |||
| Contact | Skin | 16.67 | ||
| Nail | 83.33 | |||
| Movement | Hand | 25.00 | ||
| Finger | 75.00 |
| Preferred in % | Dispreferred in % | |
|---|---|---|
| Small comb | 41.67 | 8.33 |
| Breadbasket | 33.33 | 41.67 |
| Notebook | 16.67 | 8.33 |
| Closed fingers | 8.33 | 0.00 |
| Splayed fingers | 8.33 | 41.67 |
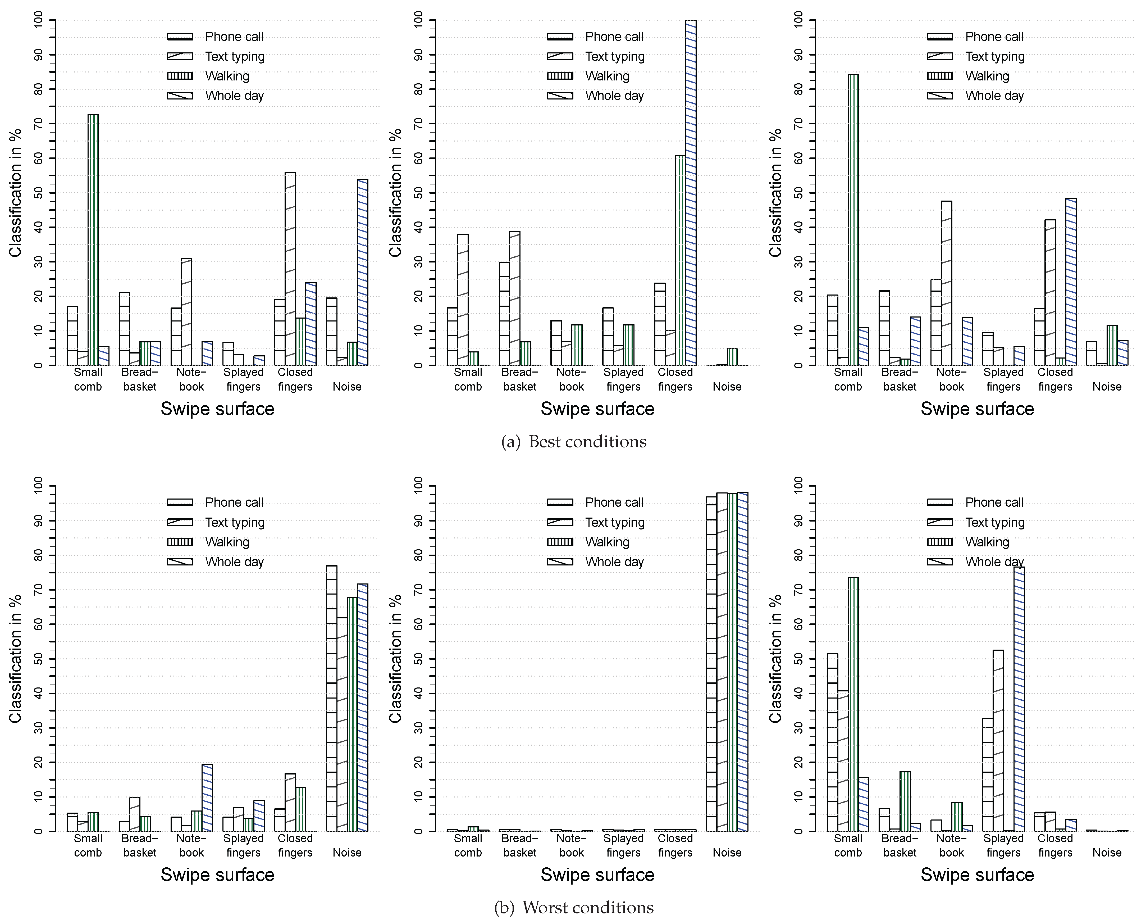
7.2. Software-Determined Aspect (Classification)





8. Discussion
8.1. Human-Determined Aspects
8.2. Software-Determined Aspects
9. Conclusions
9.1. Outlook
9.1.1. Human-Determined Aspects
9.1.2. Software-Determined Aspects
Author Contributions
Funding
Institutional Review Board Statement
Informed Consent Statement
Data Availability Statement
Acknowledgments
Conflicts of Interest
Appendix A. Swipe Gesture
Appendix B. Single-Board Computer
Appendix C. Vibration Signal

Appendix D. D-Optimal Design
Appendix E. Cohen’s Kappa
Appendix F. Shape of Feature Vector



References
- Kratz, S.; Rohs, M.; Wolf, K.; Müller, J.; Wilhelm, M.; Johansson, C.; Tholander, J.; Laaksolahti, J. Body, Movement, Gesture & Tactility in Interaction with Mobile Devices. In Proceedings of the 13th International Conference on Human Computer Interaction with Mobile Devices and Services, New York, NY, USA, 30 August–2 September 2011; MobileHCI’11. pp. 757–759. [Google Scholar] [CrossRef]
- Han, T.; Ahlström, D.; Yang, X.D.; Byagowi, A.; Irani, P. Exploring Design Factors for Transforming Passive Vibration Signals into Smartwear Interactions. In Proceedings of the 9th Nordic Conference on Human-Computer Interaction, New York, NY, USA, 23–27 October 2016; NordiCHI’16. pp. 35:1–35:10. [Google Scholar] [CrossRef]
- Awada, A.; Issa, Y.B.; Tekli, J.; Chbeir, R. Evaluation of Touch Screen Vibration Accessibility for Blind Users. In Proceedings of the 15th International ACM SIGACCESS Conference on Computers and Accessibility, New York, NY, USA, 21–23 October 2013; ASSETS’13. pp. 48:1–48:2. [Google Scholar] [CrossRef]
- Harrison, C.; Xiao, R.; Hudson, S. Acoustic Barcodes: Passive, Durable and Inexpensive Notched Identification Tags. In Proceedings of the 25th Annual ACM Symposium on User Interface Software and Technology, New York, NY, USA, 7–10 October 2012; UIST’12. pp. 563–568. [Google Scholar] [CrossRef]
- Dictionary.com. Swipe. Web Page. 2023. Available online: https://www.dictionary.com/browse/swipe (accessed on 24 May 2023).
- Parera, J.; Angulo, C.; Rodríguez-Molinero, A.; Cabestany, J. User Daily Activity Classification from Accelerometry Using Feature Selection and SVM. In Bio-Inspired Systems: Computational and Ambient Intelligence; Cabestany, J., Sandoval, F., Prieto, A., Corchado, J.M., Eds.; Springer: Berlin/Heidelberg, Germany, 2009; pp. 1137–1144. [Google Scholar] [CrossRef]
- Zhang, X.; Wu, G.; Dong, Z.; Crawford, C. Embedded feature-selection support vector machine for driving pattern recognition. J. Frankl. Inst. 2015, 352, 669–685. [Google Scholar] [CrossRef]
- Pelletier, C.; Valero, S.; Inglada, J.; Champion, N.; Marais Sicre, C.; Dedieu, G. Effect of Training Class Label Noise on Classification Performances for Land Cover Mapping with Satellite Image Time Series. Remote Sens. 2017, 9, 173. [Google Scholar] [CrossRef]
- Le, V.K.; Beauseroy, P.; Grall-Maes, E. Abnormal Trajectory Detection for Security Infrastructure. In Proceedings of the 2nd International Conference on Digital Signal Processing, New York, NY, USA, 25–27 February 2018; ICDSP 2018. pp. 1–5. [Google Scholar] [CrossRef]
- Chang, C.C.; Lin, C.J. LIBSVM: A Library for Support Vector Machines. ACM Trans. Intell. Syst. Technol. 2011, 2, 27:1–27:27. [Google Scholar] [CrossRef]
- John, G.H.; Kohavi, R.; Pfleger, K. Irrelevant Features and the Subset Selection Problem. In Machine Learning Proceedings 1994; Cohen, W.W., Hirsh, H., Eds.; Morgan Kaufmann: San Francisco, CA, USA, 1994; pp. 121–129. [Google Scholar] [CrossRef]
- Neumann, J.; Schnörr, C.; Steidl, G. Combined SVM-Based Feature Selection and Classification. Mach. Learn. 2005, 61, 129–150. [Google Scholar] [CrossRef]
- Cho, J.; Hwang, I.; Oh, S. Vibration-Based Surface Recognition for Smartphones. In Proceedings of the 2012 IEEE International Conference on Embedded and Real-Time Computing Systems and Applications, Seoul, Republic of Korea, 19–22 August 2012; pp. 459–464. [Google Scholar] [CrossRef]
- Liu, J.; Chen, Y.; Gruteser, M. VibKeyboard: Virtual Keyboard Leveraging Physical Vibration: Demo. In Proceedings of the 22nd Annual International Conference on Mobile Computing and Networking, New York, NY, USA, 3–7 October 2016; MobiCom’16. pp. 507–508. [Google Scholar] [CrossRef]
- Jordan, M.I.; Mitchell, T.M. Machine learning: Trends, perspectives, and prospects. Science 2015, 349, 255–260. [Google Scholar] [CrossRef] [PubMed]
- Pan, S.; Ramirez, C.G.; Mirshekari, M.; Fagert, J.; Chung, A.J.; Hu, C.C.; Shen, J.P.; Noh, H.Y.; Zhang, P. SurfaceVibe: Vibration-Based Tap & Swipe Tracking on Ubiquitous Surfaces. In Proceedings of the 16th ACM/IEEE International Conference on Information Processing in Sensor Networks, New York, NY, USA, 18–21 April 2017; IPSN’17’. pp. 197–208. [Google Scholar] [CrossRef]
- Lukowicz, P.; Ward, J.A.; Junker, H.; Stäger, M.; Tröster, G.; Atrash, A.; Starner, T. Recognizing Workshop Activity Using Body Worn Microphones and Accelerometers. In Pervasive Computing; Ferscha, A., Mattern, F., Eds.; Springer: Berlin/Heidelberg, Germany, 2004; pp. 18–32. [Google Scholar] [CrossRef]
- Deyle, T.; Palinko, S.; Poole, E.S.; Starner, T. Hambone: A Bio-Acoustic Gesture Interface. In Proceedings of the 2007 11th IEEE International Symposium on Wearable Computers, Boston, MA, USA, 11–13 October 2007; pp. 3–10. [Google Scholar] [CrossRef]
- Stadler, S.; Riegler, S.; Hinterkörner, S. Bzzzt: When Mobile Phones Feel at Home. In Proceedings of the CHI’12 Extended Abstracts on Human Factors in Computing Systems, New York, NY, USA, 5–10 May 2012; CHI EA’12. pp. 1297–1302. [Google Scholar] [CrossRef]
- Porzi, L.; Messelodi, S.; Modena, C.M.; Ricci, E. A Smart Watch-Based Gesture Recognition System for Assisting People with Visual Impairments. In Proceedings of the 3rd ACM International Workshop on Interactive Multimedia on Mobile & Portable Devices, New York, NY, USA, 22 October 2013; IMMPD’13. pp. 19–24. [Google Scholar] [CrossRef]
- Poel, M. Detecting Mislabeled Data Using Supervised Machine Learning Techniques. In Augmented Cognition. Neurocognition and Machine Learning; Schmorrow, D.D., Fidopiastis, C.M., Eds.; Springer: Berlin/Heidelberg, Germany, 2017; pp. 571–581. [Google Scholar] [CrossRef]
- Spolaôr, N.; Monard, M.C.; Tsoumakas, G.; Lee, H.D. A systematic review of multi-label feature selection and a new method based on label construction. Neurocomputing 2016, 180, 3–15. [Google Scholar] [CrossRef]
- Liu, J.; Wang, C.; Chen, Y.; Saxena, N. VibWrite: Towards Finger-Input Authentication on Ubiquitous Surfaces via Physical Vibration. In Proceedings of the 2017 ACM SIGSAC Conference on Computer and Communications Security, New York, NY, USA, 30 October–3 November 2017; CCS’17. pp. 73–87. [Google Scholar] [CrossRef]
- Kefer, K.; Holzmann, C.; Findling, R.D. Evaluating the Placement of Arm-Worn Devices for Recognizing Variations of Dynamic Hand Gestures. J. Mob. Multimed. 2017, 12, 225–242. [Google Scholar]
- Chen, W.; Lian, Y.; Wang, L.; Ruby, R.; Hu, W.; Wu, K. Virtual Keyboard for Wearable Wristbands. In Proceedings of the 15th ACM Conference on Embedded Network Sensor Systems, New York, NY, USA, 6–8 November 2017; SenSys’17. pp. 44:1–44:2. [Google Scholar] [CrossRef]
- Kim, Y.; Lee, W.S.; Raghunathan, V.; Jha, N.K.; Raghunathan, A. Vibration-Based Secure Side Channel for Medical Devices. In Proceedings of the 52nd Annual Design Automation Conference, New York, NY, USA, 7–11 June 2015; DAC’15. pp. 32:1–32:6. [Google Scholar] [CrossRef]
- Ikeda, A.; Kosugi, S.; Tanaka, Y. Propagating Vibration Analysis of Leg towards Ankle Joint Angle Estimation. In Proceedings of the 24th International Conference on Intelligent User Interfaces: Companion, New York, NY, USA, 16–20 March 2019; IUI’19. pp. 11–12. [Google Scholar] [CrossRef]
- McGrath, W.; Li, Y. Detecting Tapping Motion on the Side of Mobile Devices by Probabilistically Combining Hand Postures. In Proceedings of the 27th Annual ACM Symposium on User Interface Software and Technology, New York, NY, USA, 5–8 October 2014; UIST’14. pp. 215–219. [Google Scholar] [CrossRef]
- Yurttadur, A.A.; Karaçay, T. Intrusion Detection Using Seismic Signals and Classification with Support Vector Machine. In Proceedings of the 5th International Conference on Mechatronics and Control Engineering, New York, NY, USA, 14–17 December 2016; ICMCE’16. pp. 103–107. [Google Scholar] [CrossRef]
- Shen, D.; Markwood, I.; Shen, D.; Liu, Y. Virtual Safe: Unauthorized Walking Behavior Detection for Mobile Devices. IEEE Trans. Mob. Comput. 2019, 18, 688–701. [Google Scholar] [CrossRef]
- Liu, J.; Chen, Y.; Gruteser, M. Sensing on Ubiquitous Surfaces via Vibration Signals: Poster. In Proceedings of the 22nd Annual International Conference on Mobile Computing and Networking, New York, NY, USA, 3–7 October 2016; MobiCom’16. pp. 424–425. [Google Scholar] [CrossRef]
- Miluzzo, E.; Varshavsky, A.; Balakrishnan, S.; Choudhury, R.R. Tapprints: Your Finger Taps Have Fingerprints. In Proceedings of the 10th International Conference on Mobile Systems, Applications, and Services, New York, NY, USA, 25–29 June 2012; MobiSys’12. pp. 323–336. [Google Scholar] [CrossRef]
- Liu, X.; Zhou, Z.; Diao, W.; Li, Z.; Zhang, K. When Good Becomes Evil: Keystroke Inference with Smartwatch. In Proceedings of the 22nd ACM SIGSAC Conference on Computer and Communications Security, New York, NY, USA, 12–16 October 2015; CCS’15. pp. 1273–1285. [Google Scholar] [CrossRef]
- Owusu, E.; Han, J.; Das, S.; Perrig, A.; Zhang, J. ACCessory: Password Inference Using Accelerometers on Smartphones. In Proceedings of the Twelfth Workshop on Mobile Computing Systems & Applications, New York, NY, USA, 28–29 February 2012; HotMobile’12. pp. 9:1–9:6. [Google Scholar] [CrossRef]
- DeVaul, R.W.; Dunn, S. Real-Time Motion Classification for Wearable Computing Applications; Technical Report; MIT Media Laboratory: Cambridge, MA, USA, 2001. [Google Scholar]
- Bayat, A.; Pomplun, M.; Tran, D.A. A Study on Human Activity Recognition Using Accelerometer Data from Smartphones. Procedia Comput. Sci. 2014, 34, 450–457. [Google Scholar] [CrossRef]
- Srivastava, N.; Bhatnagar, M.; Yadav, A.; Dutta, M.K.; Travieso, C.M. Machine Learning Based Improved Automatic Diagnosis of Cardiac Disorder. In Proceedings of the 2nd International Conference on Applications of Intelligent Systems, New York, NY, USA, 7–9 January 2019; APPIS’19. pp. 11:1–11:8. [Google Scholar] [CrossRef]
- Sherin, B.M.; Supriya, M.H. Selection and parameter optimization of SVM kernel function for underwater target classification. In Proceedings of the 2015 IEEE Underwater Technology (UT), Chennai, India, 23–25 February 2015; pp. 1–5. [Google Scholar] [CrossRef]
- Saeys, Y.; Inza, I.; Larrañaga, P. A review of feature selection techniques in bioinformatics. Bioinformatics 2007, 23, 2507–2517. [Google Scholar] [CrossRef]
- Arbabshirani, M.R.; Plis, S.; Sui, J.; Calhoun, V.D. Single subject prediction of brain disorders in neuroimaging: Promises and pitfalls. NeuroImage 2017, 145, 137–165. [Google Scholar] [CrossRef]
- Mehrnezhad, M.; Toreini, E.; Shahandashti, S.F.; Hao, F. Stealing PINs via mobile sensors: Actual risk versus user perception. Int. J. Inf. Secur. 2018, 17, 291–313. [Google Scholar] [CrossRef] [PubMed]
- Liu, J.; Wang, C.; Chen, Y. PIN Number-Based Authentication Leveraging Physical Vibration: Poster. In Proceedings of the 22nd Annual International Conference on Mobile Computing and Networking, New York, NY, USA, 3–7 October 2016; MobiCom’16. pp. 426–427. [Google Scholar] [CrossRef]
- Tran, D.S.; Yang, H.J.; Kim, S.H.; Lee, G.S.; Do, L.N.; Ho, N.H.; Nguyen, V.Q. Audio-Based Emotion Recognition Using GMM Supervector an SVM Linear Kernel. In Proceedings of the 2nd International Conference on Machine Learning and Soft Computing, New York, NY, USA, 2–4 February 2018; ICMLSC’18. pp. 169–173. [Google Scholar] [CrossRef]
- Funato, N.; Takemura, K. Grip Force Estimation by Emitting Vibration. In Proceedings of the Adjunct Publication of the 30th Annual ACM Symposium on User Interface Software and Technology, New York, NY, USA, 22–25 October 2017; UIST’17. pp. 141–142. [Google Scholar] [CrossRef]
- Önem, I.M. Testing and Improving the Performance of SVM Classifier in Intrusion Detection Scenario. In Knowledge Discovery, Knowledge Engineering and Knowledge Management; Fred, A., Dietz, J.L.G., Liu, K., Filipe, J., Eds.; Springer: Berlin/Heidelberg, Germany, 2013; pp. 173–184. [Google Scholar] [CrossRef]
- Bennett, K.P.; Campbell, C. Support Vector Machines: Hype or Hallelujah? ACM SIGKDD Explor. Newsl. 2000, 2, 1–13. [Google Scholar] [CrossRef]
- Sangeetha, R.; Kalpana, B. Optimizing the Kernel Selection for Support Vector Machines Using Performance Measures. In Proceedings of the 1st Amrita ACM-W Celebration on Women in Computing in India, New York, NY, USA, 16–17 September 2010; A2CWiC’10. pp. 1:1–1:7. [Google Scholar] [CrossRef]
- Yao, J.; Zhao, S.; Fan, L. An Enhanced Support Vector Machine Model for Intrusion Detection. In Rough Sets and Knowledge Technology; Wang, G.Y., Peters, J.F., Skowron, A., Yao, Y., Eds.; Springer: Berlin/Heidelberg, Germany, 2006; pp. 538–543. [Google Scholar] [CrossRef]
- Hsu, C.W.; Chang, C.C.; Lin, C.J. A Practical Guide to Support Vector Classification; National Taiwan University: Taipei, Taiwan, 2016; Available online: http://www.csie.ntu.edu.tw/~cjlin (accessed on 9 November 2020).
- Qin, Z.; Du, J.; Han, G.; Yong, G.; Guo, L.; Wang, L. LOL: Localization-free online keystroke tracking using acoustic signals. Soft Comput. 2019, 23, 11063–11075. [Google Scholar] [CrossRef]
- Harrison, C.; Ramamurthy, S.; Hudson, S.E. On-Body Interaction: Armed and Dangerous. In Proceedings of the Sixth International Conference on Tangible, Embedded and Embodied Interaction, New York, NY, USA, 19–22 February 2012; TEI’12. pp. 69–76. [Google Scholar] [CrossRef]
- Strohmeier, P.; Carrascal, J.P.; Hornbæk, K. What Can Doodles on the Arm Teach Us about On-Body Interaction? In Proceedings of the 2016 CHI Conference Extended Abstracts on Human Factors in Computing Systems, New York, NY, USA, 7–12 May 2016; CHI EA’16. pp. 2726–2735. [Google Scholar] [CrossRef]
- Harrison, C.; Tan, D.; Morris, D. Skinput: Appropriating the Body as an Input Surface. In Proceedings of the SIGCHI Conference on Human Factors in Computing Systems, New Orleans, LA, USA, 30 April–5 May 2010; Association for Computing Machinery: New York, NY, USA, 2010; pp. 453–462. [Google Scholar] [CrossRef]
- Harrison, C.; Hudson, S.E. Scratch Input: Creating Large, Inexpensive, Unpowered and Mobile Finger Input Surfaces. In Proceedings of the 21st Annual ACM Symposium on User Interface Software and Technology, New York, NY, USA, 19–22 October 2008; UIST’08. pp. 205–208. [Google Scholar] [CrossRef]
- Sato, M.; Poupyrev, I.; Harrison, C. Touché: Enhancing Touch Interaction on Humans, Screens, Liquids, and Everyday Objects. In Proceedings of the SIGCHI Conference on Human Factors in Computing Systems, New Orleans, LA, USA, 5–10 May 2012; Association for Computing Machinery: New York, NY, USA, 2012; pp. 483–492. [Google Scholar] [CrossRef]
- Shi, Y.; Zhang, H.; Zhao, K.; Cao, J.; Sun, M.; Nanayakkara, S. Ready, Steady, Touch! Sensing Physical Contact with a Finger-Mounted IMU. Proc. ACM Interact. Mob. Wearable Ubiquitous Technol. 2020, 4, 1–25. [Google Scholar] [CrossRef]
- Edson-Niu. Butterworth-Filter. GitHub. 2018. Available online: https://github.com/nxsEdson/Butterworth-Filter (accessed on 31 January 2020).
- Schölkopf, B.; Williamson, R.; Smola, A.; Shawe-Taylor, J.; Platt, J. Support Vector Method for Novelty Detection. In Proceedings of the 12th International Conference on Neural Information Processing Systems, Cambridge, MA, USA, 29 November–4 December 1999; NIPS’99. pp. 582–588. [Google Scholar]
- Amer, M.; Goldstein, M.; Abdennadher, S. Enhancing One-Class Support Vector Machines for Unsupervised Anomaly Detection. In Proceedings of the ACM SIGKDD Workshop on Outlier Detection and Description, New York, NY, USA, 11 August 2013; ODD’13. pp. 8–15. [Google Scholar] [CrossRef]
- Manevitz, L.M.; Yousef, M. One-Class Svms for Document Classification. J. Mach. Learn. Res. 2002, 2, 139–154. [Google Scholar]
- Manevitz, L.M.; Yousef, M. Document Classification on Neural Networks Using Only Positive Examples (Poster Session). In Proceedings of the 23rd Annual International ACM SIGIR Conference on Research and Development in Information Retrieval, New York, NY, USA, 24–28 July 2000; SIGIR’00. pp. 304–306. [Google Scholar] [CrossRef]
- Devos, O.; Ruckebusch, C.; Durand, A.; Duponchel, L.; Huvenne, J.P. Support vector machines (SVM) in near infrared (NIR) spectroscopy: Focus on parameters optimization and model interpretation. Chemom. Intell. Lab. Syst. 2009, 96, 27–33. [Google Scholar] [CrossRef]
- Vabalas, A.; Gowen, E.; Poliakoff, E.; Cassion, A.J. Machine learning algorithm validation with a limited sample size. PLoS ONE 2019, 14, e0224365. [Google Scholar] [CrossRef]
- Prune. Selection Parameters in Libsvm. Web Page. 2016. Available online: https://stackoverflow.com/questions/37447619/selection-parameters-in-libsvm (accessed on 15 February 2021).
- Gaspar, P.; Carbonell, J.; Oliveira, J.L. On the parameter optimization of Support Vector Machines for binary classification. J. Integr. Bioinform. 2012, 9, 33–43. [Google Scholar] [CrossRef]
- Raff, E. What Is ‘Eps’ in Libsvm? Web Page. 2016. Available online: https://stackoverflow.com/questions/38996696/what-is-eps-in-libsvm (accessed on 15 February 2021).
- Wang, L.; Xu, G.; Wang, J.; Yang, S.; Guo, L.; Yan, W. GA-SVM based feature selection and parameters optimization for BCI research. In Proceedings of the 2011 Seventh International Conference on Natural Computation, Shanghai, China, 26–28 July 2011; Volume 1, pp. 580–583. [Google Scholar] [CrossRef]
- Press, W.H.; Teukolsky, S.A.; Vetterling, W.T.; Flannery, B.P. Numerical Recipes in C; The Art of Scientific Computing, 2nd ed.; Cambridge University Press: New York, NY, USA, 1992. [Google Scholar]
- Tsai, S.F. Generating optimal order-of-addition designs with flexible run sizes. J. Stat. Plan. Inference 2022, 218, 147–163. [Google Scholar] [CrossRef]
- McClelland, G.H. Optimal design in psychological research. Psychol. Methods 1997, 2, 3–19. [Google Scholar] [CrossRef]
- Hoskins, D.; Turban, R.C.; Colbourn, C.J. Experimental Designs in Software Engineering: D-Optimal Designs and Covering Arrays. In Proceedings of the 2004 ACM Workshop on Interdisciplinary Software Engineering Research, New York, NY, USA, 5 November 2004; WISER’04. pp. 55–66. [Google Scholar] [CrossRef]
- Hermann, M.; Christensen, H.; Reubsaet, J. Evaluation of essential parameters in the chromatographic determination of cyclosporin A and metabolites using a D-optimal design. J. Pharm. Biomed. Anal. 2002, 30, 1263–1276. [Google Scholar] [CrossRef] [PubMed]
- Green, B.; Duffull, S.B. Prospective Evaluation of a D-Optimal Designed Population Pharmacokinetic Study. J. Pharmacokinet. Pharmacodyn. 2003, 30, 145–161. [Google Scholar] [CrossRef] [PubMed]
- Rajmohan, T.; Palanikumar, K. Modeling and analysis of performances in drilling hybrid metal matrix composites using D-optimal design. Int. J. Adv. Manuf. Technol. 2013, 64, 1249–1261. [Google Scholar] [CrossRef]
- Vinayagamoorthy, R.; Rajeswari, N.; Vijayshankar, S.; Balasubramanian, K. Drilling Performance Investigations on Hybrid Composites by Using D-Optimal Design. Int. Rev. Mech. Eng. 2014, 8, 952–961. [Google Scholar] [CrossRef]
- Kjeldskov, J.; Stage, J. New techniques for usability evaluation of mobile systems. Int. J. Hum.-Comput. Stud. 2004, 60, 599–620. [Google Scholar] [CrossRef]
- Baillie, L.; Schatz, R. Exploring Multimodality in the Laboratory and the Field. In Proceedings of the 7th International Conference on Multimodal Interfaces, New York, NY, USA, 4–6 October 2005; ICMI’05. pp. 100–107. [Google Scholar] [CrossRef]
- Carlsson, V.; Schiele, B. Towards Systematic Research of Multimodal Interfaces for Non-Desktop Work Scenarios. In Proceedings of the CHI’07 Extended Abstracts on Human Factors in Computing Systems, New York, NY, USA, 28 April–3 May 2007; CHI EA’07. pp. 1715–1720. [Google Scholar] [CrossRef]
- De Sá, M.; Carriço, L. Defining Scenarios for Mobile Design and Evaluation. In Proceedings of the CHI’08 Extended Abstracts on Human Factors in Computing Systems, New York, NY, USA, 5–10 April 2008; CHI EA’08. pp. 2847–2852. [Google Scholar] [CrossRef]
- Duh, H.B.L.; Tan, G.C.B.; Chen, V.H.h. Usability Evaluation for Mobile Device: A Comparison of Laboratory and Field Tests. In Proceedings of the Conference on Human-Computer Interaction with Mobile Devices and Services, New York, NY, USA, 12–15 September 2006; MobileHCI’06. pp. 181–186. [Google Scholar] [CrossRef]
- Choi, S.; Hwang, J.; Cho, S.; Kim, A.; Nam, B.G. A low-power real-time hidden Markov model accelerator for gesture user interface on wearable devices. In Proceedings of the 2016 IEEE Asian Solid-State Circuits Conference (A-SSCC), Toyama, Japan, 7–9 November 2016; pp. 261–264. [Google Scholar] [CrossRef]
- Foerster, F.; Smeja, M.; Fahrenberg, J. Detection of posture and motion by accelerometry: A validation study in ambulatory monitoring. Comput. Hum. Behav. 1999, 15, 571–583. [Google Scholar] [CrossRef]
- Ravi, N.; Dandekar, N.; Mysore, P.; Littman, M.L. Activity Recognition from Accelerometer Data. In Proceedings of the 17th Conference on Innovative Applications of Artificial Intelligence, Pittsburgh, PA, USA, 9–13 July 2005; AAAI Press: Washington, DC, USA, 2005. IAAI’05. Volume 3, pp. 1541–1546. [Google Scholar]
- ul Haq, M.E.; Awais Azam, M.; Asim, Y.; Amin, Y.; Naeem, U.; Khalid, A. Using Smartphone Accelerometer for Human Physical Activity and Context Recognition in-the-Wild. Procedia Comput. Sci. 2020, 177, 24–31. [Google Scholar] [CrossRef]
- Qamar, N.; Siddiqui, N.; ul Haq, M.E.; Awais Azam, M.; Naeem, U. An Approach towards Position-Independent Human Activity Recognition Model based on Wearable Accelerometer Sensor. Procedia Comput. Sci. 2020, 177, 196–203. [Google Scholar] [CrossRef]
- Kostakos, V.; Musolesi, M. Avoiding Pitfalls When Using Machine Learning in HCI Studies. Interactions 2017, 24, 34–37. [Google Scholar] [CrossRef]
- Ruuska, S.; Hämäläinen, W.; Kajava, S.; Mughal, M.; Matilainen, P.; Mononen, J. Evaluation of the confusion matrix method in the validation of an automated system for measuring feeding behaviour of cattle. Behav. Process. 2018, 148, 56–62. [Google Scholar] [CrossRef] [PubMed]
- Ben-David, A. Comparison of classification accuracy using Cohen’s Weighted Kappa. Expert Syst. Appl. 2008, 34, 825–832. [Google Scholar] [CrossRef]
- Kolesnyk, A.S.; Khairova, N.F. Justification for the Use of Cohen’s Kappa Statistic in Experimental Studies of NLP and Text Mining. Cybern. Syst. Anal. 2022, 58, 280–288. [Google Scholar] [CrossRef]
- Vieira, S.M.; Kaymak, U.; Sousa, J.M.C. Cohen’s kappa coefficient as a performance measure for feature selection. In Proceedings of the International Conference on Fuzzy Systems, Barcelona, Spain, 18–23 July 2010; pp. 1–8. [Google Scholar] [CrossRef]
- McHugh, M.L. Interrater reliability: The kappa statistic. Biochem. Med. 2012, 22, 276–282. [Google Scholar] [CrossRef]
- Ribeiro, M.T.; Singh, S.; Guestrin, C. “Why Should I Trust You?”: Explaining the Predictions of Any Classifier. In Proceedings of the 22nd ACM SIGKDD International Conference on Knowledge Discovery and Data Mining, New York, NY, USA, 13–17 August 2016; KDD’16. pp. 1135–1144. [Google Scholar] [CrossRef]
- Linardatos, P.; Papastefanopoulos, V.; Kotsiantis, S. Explainable AI: A Review of Machine Learning Interpretability Methods. Entropy 2021, 23, 18. [Google Scholar] [CrossRef]
- Lin, H.T.; Lin, C.J. A Study on Sigmoid Kernels for SVM and the Training of Non-PSD Kernels by SMO-Type Methods; Technical Report; Department of Computer Science and Information Engineering, National Taiwan University: Taipei, China, 2003. [Google Scholar]
- Yang, X.S. A New Metaheuristic Bat-Inspired Algorithm. In Nature Inspired Cooperative Strategies for Optimization (NICSO 2010); González, J.R., Pelta, D.A., Cruz, C., Terrazas, G., Krasnogor, N., Eds.; Springer: Berlin/Heidelberg, Germany, 2010; pp. 65–74. [Google Scholar] [CrossRef]
- Mohammed, L.B.; Raahemifar, K. Improving Support Vector Machine Classification Accuracy Based on Kernel Parameters Optimization. In Proceedings of the Communications and Networking Symposium, San Diego, CA, USA, 15–18 April 2018; CNS’18. pp. 1–9. [Google Scholar]
- user3421031. Android Accelerometer Sampling Rate/Delay Stabilization. Web Page. 2014. Available online: https://stackoverflow.com/questions/23302645/android-accelerometer-sampling-rate-delay-stabilization (accessed on 18 November 2020).
- Guerra-Casanova, J.; Sánchez-Ávila, C.; Bailador, G.; de Santos Sierra, A. Authentication in mobile devices through hand gesture recognition. Int. J. Inf. Secur. 2012, 11, 65–83. [Google Scholar] [CrossRef]
- Choi, H.R.; Kim, T.Y. Directional Dynamic Time Warping for Gesture Recognition. In Proceedings of the 2017 2nd International Conference on Multimedia Systems and Signal Processing, New York, NY, USA, 13–16 August 2017; ICMSSP 2017. pp. 22–25. [Google Scholar] [CrossRef]
- Yuan, J.; Lin, Q.; Zhang, W.; Wang, Z. Locally Slope-Based Dynamic Time Warping for Time Series Classification. In Proceedings of the 28th ACM International Conference on Information and Knowledge Management, New York, NY, USA, 3–7 November 2019; CIKM’19. pp. 1713–1722. [Google Scholar] [CrossRef]
- Kuhfeld, W.F.; Tobias, R.D.; Garratt, M. Efficient Experimental Design with Marketing Research Applications. J. Mark. Res. 1994, 31, 545–557. [Google Scholar] [CrossRef]
- Kuhfeld, W.F.; Tobias, R.D.; Garratt, M. Efficient Experimental Design with Marketing Research Applications (Revision). PDF. 2010. Available online: https://support.sas.com/techsup/technote/mr2010d.pdf (accessed on 6 November 2020).
- StatguyUser. How to Interpret D-Efficiency in Experimental Design in R optFederov. Web Page. 2015. Available online: https://stats.stackexchange.com/questions/137695/how-to-interpret-d-efficiency-in-experimental-design-in-r-optfederov (accessed on 25 March 2020).





| Horizontal | Vertical | |
|---|---|---|
| Swipe orientation | View from the side | |
![]() | ![]() | |
| View from the top | ||
![]() | ![]() | |
| Swipe contact | Skin | Nail |
![]() | ![]() | |
| Swipe movement | Hand | Finger |
![]() | ![]() | |
| Structure | |||
|---|---|---|---|
| (1) | 18 | mean, SD, skewness, kurtosis, index distance between and , and the index distance between two values | |
| (2) | 18 | mean, SD, skewness, kurtosis, index distance between and , and the index distance between two values | |
| (3) | 10 | →, , , , , →, , , | |
| (4) | 4 | , , , | |
| (5) | 6 | , , , , , | |
| (6) | , , and | ||
| (7) |
| Factor | Both Devices | Smartphone | Smartwatch | ||||
|---|---|---|---|---|---|---|---|
| Best | Worst | Best | Worst | Best | Worst | ||
| Software | l in samples: | 128 | 128 | 128 | 64 | 128 | 128 |
| 1-class: | RBF | Sigmoid | RBF | RBF | RBF | RBF | |
| m-class: | RBF | Sigmoid | RBF | RBF | RBF | RBF | |
| in Hz: | 20 | 0.1 | 0.1 | 20 | 20 | 0.1 | |
| : | (6) | (6) | (6) | (3) | (7) | (4) | |
| : | 384 | 384 | 384 | 10 | 384 | 4 | |
| Hum. | Contact: | both | both | both | both | both | both |
| Orient.: | horizontal | vertical | vertical | horizontal | horizontal | horizontal | |
| Move.: | both | both | both | both | both | both | |
| Correct : | 104 | 0 | 94 | 58 | 95 | 0 | |
| Wrong : | 69 | 190 | 0 | 1 | 0 | 35 | |
| Noise : | 17 | 0 | 2 | 37 | 0 | 61 | |
| in %: | 69.61 | 15.78 | 97.59 | 42.03 | 99.79 | 20.00 | |
| Both Mobile Devices | Smartwatch | |
|---|---|---|
| Moving hand | ![]() | ![]() |
| Moving finger | ![]() | ![]() |
| Best Condition | Worst Condition | ||||||||
|---|---|---|---|---|---|---|---|---|---|
| User Study | Device | -CI | Agreement | -CI | Agreement | ||||
| Laboratory | both devices | 0.615 | 0.575 | 0.655 | moderate | 0.284 | 0.220 | 0.348 | minimal |
| Laboratory | smartphone | 0.970 | 0.953 | 0.988 | almost perfect | 0.007 | −0.069 | 0.082 | none |
| Laboratory | smartwatch | 0.997 | 0.992 | 1.000 | almost perfect | −0.053 | −0.078 | −0.028 | none |
| Whole swipe | both devices | 0.184 | 0.171 | 0.197 | none | 0.116 | 0.096 | 0.137 | none |
| Whole swipe | smartphone | 0.250 | 0.231 | 0.270 | minimal | 0.581 | 0.511 | 0.652 | weak |
| Whole swipe | smartwatch | 0.268 | 0.251 | 0.285 | minimal | 0.036 | 0.028 | 0.045 | none |
| In the field | both devices | 0.039 | 0.016 | 0.061 | none | 0.025 | −0.026 | 0.076 | none |
| In the field | smartphone | 0.014 | −0.034 | 0.063 | none | 0.056 | −0.075 | 0.188 | none |
| In the field | smartwatch | 0.048 | 0.025 | 0.072 | none | 0.005 | −0.009 | 0.019 | none |
| Best Condition | Worst Condition | |||||||||
|---|---|---|---|---|---|---|---|---|---|---|
| Device | Used | -CI | Agreement | -CI | Agreement | |||||
| Both devices | both | standing | −0.010 | −0.041 | 0.020 | none | 0.030 | −0.043 | 0.103 | none |
| Both devices | both | sitting | 0.079 | 0.047 | 0.111 | none | 0.015 | −0.057 | 0.087 | none |
| Both devices | one | standing | −0.044 | −0.072 | −0.017 | none | 0.001 | −0.075 | 0.077 | none |
| Both devices | one | sitting | 0.038 | 0.008 | 0.068 | none | 0.009 | −0.057 | 0.075 | none |
| Smartphone | both | standing | 0.000 | −0.068 | 0.067 | none | 0.062 | −0.124 | 0.249 | none |
| Smartphone | both | sitting | 0.032 | −0.036 | 0.100 | none | 0.042 | −0.126 | 0.211 | none |
| Smartphone | one | standing | 0.048 | −0.023 | 0.118 | none | −0.090 | −0.229 | 0.049 | none |
| Smartphone | one | sitting | 0.030 | −0.036 | 0.097 | none | −0.133 | −0.336 | 0.070 | none |
| Smartwatch | both | standing | −0.003 | −0.035 | 0.029 | none | −0.018 | −0.037 | 0.001 | none |
| Smartwatch | both | sitting | 0.092 | 0.059 | 0.125 | none | 0.030 | 0.008 | 0.052 | none |
| Smartwatch | one | standing | −0.043 | −0.072 | −0.014 | none | 0.001 | −0.021 | 0.023 | none |
| Smartwatch | one | sitting | 0.039 | 0.008 | 0.069 | none | 0.021 | −0.004 | 0.046 | none |
Disclaimer/Publisher’s Note: The statements, opinions and data contained in all publications are solely those of the individual author(s) and contributor(s) and not of MDPI and/or the editor(s). MDPI and/or the editor(s) disclaim responsibility for any injury to people or property resulting from any ideas, methods, instructions or products referred to in the content. |
© 2024 by the authors. Licensee MDPI, Basel, Switzerland. This article is an open access article distributed under the terms and conditions of the Creative Commons Attribution (CC BY) license (https://creativecommons.org/licenses/by/4.0/).
Share and Cite
Hrast, T.; Ahlström, D.; Hitz, M. Observations and Considerations for Implementing Vibration Signals as an Input Technique for Mobile Devices. Multimodal Technol. Interact. 2024, 8, 76. https://doi.org/10.3390/mti8090076
Hrast T, Ahlström D, Hitz M. Observations and Considerations for Implementing Vibration Signals as an Input Technique for Mobile Devices. Multimodal Technologies and Interaction. 2024; 8(9):76. https://doi.org/10.3390/mti8090076
Chicago/Turabian StyleHrast, Thomas, David Ahlström, and Martin Hitz. 2024. "Observations and Considerations for Implementing Vibration Signals as an Input Technique for Mobile Devices" Multimodal Technologies and Interaction 8, no. 9: 76. https://doi.org/10.3390/mti8090076
APA StyleHrast, T., Ahlström, D., & Hitz, M. (2024). Observations and Considerations for Implementing Vibration Signals as an Input Technique for Mobile Devices. Multimodal Technologies and Interaction, 8(9), 76. https://doi.org/10.3390/mti8090076













