Virtual Reality-Based Approach to Evaluate Emotional Everyday Scenarios for a Digital Health Application
Abstract
1. Introduction
- Is the difference in complexity reflected in the quantitative and qualitative positive and negative emotional assessments of different levels of complexity?
- Do different levels of complexity differ in terms of perceived safety?
- Is the difference in complexity reflected in the psychophysiological responses of the participants (cardiovascular and electrodermal activities)?
2. Materials and Methods
2.1. Participants
2.2. Material
2.3. Procedure
2.4. Statistical Analyses
3. Results
3.1. Positive and Negative Assessments
3.2. Perceived Safety
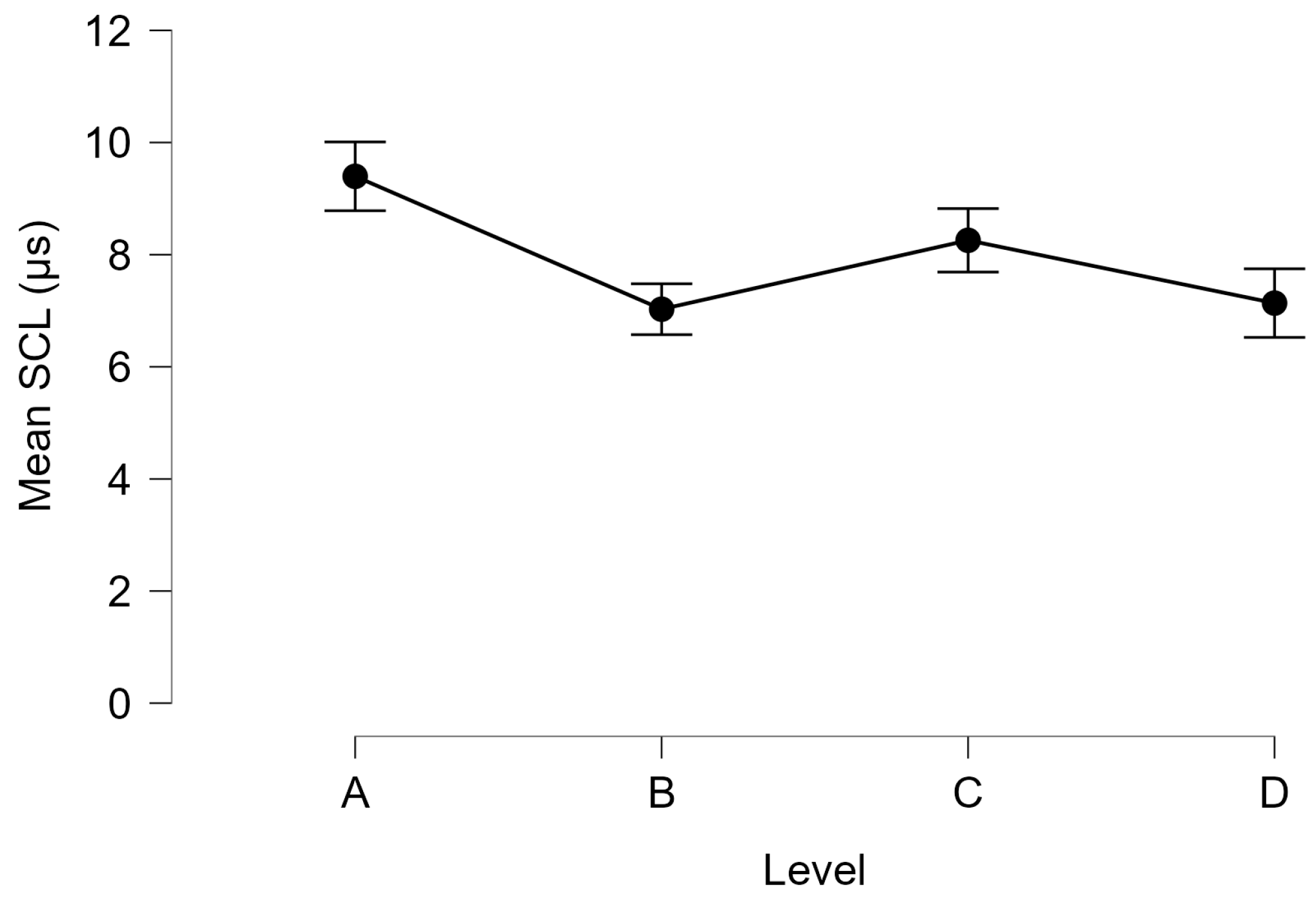
3.3. Psychophysiological Measurements
4. Discussion
5. Conclusions
Author Contributions
Funding
Institutional Review Board Statement
Informed Consent Statement
Data Availability Statement
Acknowledgments
Conflicts of Interest
References
- German, K.T.; Robbins, M.L. Social Interaction. In Encyclopedia of Personality and Individual Differences; Zeigler-Hill, V., Shackelford, T.K., Eds.; Springer International Publishing: Cham, Switzerland, 2020; pp. 5075–5079. ISBN 978-3-319-24612-3. [Google Scholar]
- Brandstätter, V.; Schüler, J.; Puca, R.M.; Lozo, L. Motivation und Emotion; Springer-Lehrbuch; Springer: Berlin/Heidelberg, Germany, 2013; ISBN 978-3-642-30149-0. [Google Scholar]
- Eller, E.; Frey, D. Psychological Perspectives on Perceived Safety: Social Factors of Feeling Safe: A Multidisciplinary Perspective. In Perceived Safety: A Multidisciplinary Perspective; Springer: Cham, Switzerland, 2019; pp. 43–60. ISBN 978-3-030-11454-1. [Google Scholar]
- Freeth, M.; Morgan, E.J. I See You, You See Me: The Impact of Social Presence on Social Interaction Processes in Autistic and Non-Autistic People. Philos. Trans. R. Soc. Lond. B Biol. Sci. 2023, 378, 20210479. [Google Scholar] [CrossRef] [PubMed]
- Tebartz van Elst, L.; Fangmeier, T.; Schaller, U.M.; Hennig, O.; Kieser, M.; Koelkebeck, K.; Kuepper, C.; Roessner, V.; Wildgruber, D.; Dziobek, I. FASTER and SCOTT&EVA Trainings for Adults with High-Functioning Autism Spectrum Disorder (ASD): Study Protocol for a Randomized Controlled Trial. Trials 2021, 22, 261. [Google Scholar] [CrossRef] [PubMed]
- Autism Spectrum Disorder. National Institute of Mental Health (NIMH). Available online: https://www.nimh.nih.gov/health/topics/autism-spectrum-disorders-asd (accessed on 17 July 2024).
- Zeidan, J.; Fombonne, E.; Scorah, J.; Ibrahim, A.; Durkin, M.S.; Saxena, S.; Yusuf, A.; Shih, A.; Elsabbagh, M. Global Prevalence of Autism: A Systematic Review Update. Autism Res. 2022, 15, 778–790. [Google Scholar] [CrossRef] [PubMed]
- Baio, J.; Wiggins, L.; Christensen, D.L.; Maenner, M.J.; Daniels, J.; Warren, Z.; Kurzius-Spencer, M.; Zahorodny, W.; Robinson Rosenberg, C.; White, T.; et al. Prevalence of Autism Spectrum Disorder Among Children Aged 8 Years—Autism and Developmental Disabilities Monitoring Network, 11 Sites, United States, 2014. MMWR Surveill. Summ. 2018, 67, 1–23. [Google Scholar] [CrossRef]
- Rylaarsdam, L.; Guemez-Gamboa, A. Genetic Causes and Modifiers of Autism Spectrum Disorder. Front. Cell. Neurosci. 2019, 13, 385. [Google Scholar] [CrossRef]
- Lord, C.; Elsabbagh, M.; Baird, G.; Veenstra-Vanderweele, J. Autism Spectrum Disorder. Lancet 2018, 392, 508–520. [Google Scholar] [CrossRef] [PubMed]
- American Psychiatric Association. Diagnostic and Statistical Manual of Mental Disorders: DSM-5™, 5th ed.; American Psychiatric Publishing, Inc.: Arlington, VA, USA, 2013; p. 991. ISBN 978-0-89042-554-1. [Google Scholar]
- Ke, F.; Whalon, K.; Yun, J. Social Skill Interventions for Youth and Adults With Autism Spectrum Disorder: A Systematic Review. Rev. Educ. Res. 2018, 88, 3–42. [Google Scholar] [CrossRef]
- Ke, F.; Moon, J.; Sokolikj, Z. Virtual Reality–Based Social Skills Training for Children With Autism Spectrum Disorder. J. Spec. Educ. Technol. 2022, 37, 49–62. [Google Scholar] [CrossRef]
- Zhang, M.; Ding, H.; Naumceska, M.; Zhang, Y. Virtual Reality Technology as an Educational and Intervention Tool for Children with Autism Spectrum Disorder: Current Perspectives and Future Directions. Behav. Sci. 2022, 12, 138. [Google Scholar] [CrossRef] [PubMed]
- Newbutt, N.; Sung, C.; Kuo, H.J.; Leahy, M.J. The Acceptance, Challenges, and Future Applications of Wearable Technology and Virtual Reality to Support People with Autism Spectrum Disorders. In Recent Advances in Technologies for Inclusive Well-Being: From Worn to Off-Body Sensing, Virtual Worlds, and Games for Serious Applications; Brooks, A.L., Brahnam, S., Kapralos, B., Jain, L.C., Eds.; Springer International Publishing: Cham, Switzerland, 2017; pp. 221–241. ISBN 978-3-319-49879-9. [Google Scholar]
- Kandalaft, M.R.; Didehbani, N.; Krawczyk, D.C.; Allen, T.T.; Chapman, S.B. Virtual Reality Social Cognition Training for Young Adults with High-Functioning Autism. J. Autism Dev. Disord. 2013, 43, 34–44. [Google Scholar] [CrossRef] [PubMed]
- Chang, E.; Kim, H.T.; Yoo, B. Virtual Reality Sickness: A Review of Causes and Measurements. Int. J. Hum.—Comput. Interact. 2020, 36, 1658–1682. [Google Scholar] [CrossRef]
- Glaser, N.; Schmidt, M.; Schmidt, C. Learner Experience and Evidence of Cybersickness: Design Tensions in a Virtual Reality Public Transportation Intervention for Autistic Adults. Virtual Real. 2022, 26, 1705–1724. [Google Scholar] [CrossRef]
- Kellems, R.O.; Charlton, C.; Kversøy, K.S.; Győri, M. Exploring the Use of Virtual Characters (Avatars), Live Animation, and Augmented Reality to Teach Social Skills to Individuals with Autism. Multimodal Technol. Interact. 2020, 4, 48. [Google Scholar] [CrossRef]
- Moon, J. Reviews of Social Embodiment for Design of Non-Player Characters in Virtual Reality-Based Social Skill Training for Autistic Children. Multimodal Technol. Interact. 2018, 2, 53. [Google Scholar] [CrossRef]
- Bayro, A.; Buneo, C.; Jeong, H. Emotion Recognition in Virtual Reality: Investigating the Effect of Gameplay Variations on Affective Responses. Proc. Hum. Factors Ergon. Soc. Annu. Meet. 2023, 67, 1516–1517. [Google Scholar] [CrossRef]
- Boucsein, W.; Backs, R.W. The Psychophysiology of Emotion, Arousal and Personality: Methods and Models. In Handbook of Digital Human Modeling: Research for Applied Ergonomics and Human Factors Engineering; Duffy, V.G., Ed.; Human Factors and Ergonomics; CRC Press: Boca Raton, FL, USA, 2009. [Google Scholar]
- Boucsein, W. Psychophysiologische Methoden in der Ingenieurpsychologie [Psychophysiological methods in engineering psychology]. In Enzyklopädie der Psychologie [Encyclopedia of Psychology]; Serie III Wirtschafts-, Organisations- und Arbeitspsychologie [Series III Economic, Organizational and Industrial Psychology]; Hogrefe: Göttingen, Germany, 2006; Volume 2, pp. 317–358. [Google Scholar]
- Wagner, V. Hochwertigkeit von Geräuschen im Fahrzeuginnenraum [High quality of noises in the vehicle interior]. In Beiträge zur Arbeitspsychologie [Contributions to Occupational Psychology]; Sachse, P., Ulich, E., Eds.; Pabst Science Publishers: Lengerich, Germany, 2014. [Google Scholar]
- Schmid, R.; Picka, E.F.; Herag, A.; Möller, K.; Wagner-Hartl, V. Evaluation of Emotional Everyday Scenarios for the Development of a Digital Health Application. IFAC-Pap. 2024, 58, 205–210. [Google Scholar] [CrossRef]
- Eriksson, J.M.; Andersen, L.M.; Bejerot, S. RAADS-14 Screen: Validity of a Screening Tool for Autism Spectrum Disorder in an Adult Psychiatric Population. Mol. Autism 2013, 4, 49. [Google Scholar] [CrossRef]
- Franke, T.; Attig, C.; Wessel, D. A Personal Resource for Technology Interaction: Development and Validation of the Affinity for Technology Interaction (ATI) Scale. Int. J. Hum.—Comput. Interact. 2019, 35, 456–467. [Google Scholar] [CrossRef]
- Abdulbaki Alshirbaji, T.; Arabian, H.; Igel, M.; Wagner-Hartl, V.; Moeller, K. Emotion-Driven Training: Innovating Virtual Reality Environment for Autism Spectrum Disorder Patients. Curr. Dir. Biomed. Eng. 2024, 10, 5–8. [Google Scholar] [CrossRef]
- ECG and Activity Sensor. EcgMove 4. Available online: https://www.movisens.com/en/products/ecg-sensor/ (accessed on 29 September 2024).
- EDA and Activity Sensor. EdaMove 4. Available online: https://www.movisens.com/en/products/eda-and-activity-sensor/ (accessed on 29 September 2024).
- Kennedy, R.S.; Lane, N.E.; Berbaum, K.S.; Lilienthal, M.G. Simulator Sickness Questionnaire: An Enhanced Method for Quantifying Simulator Sickness. Int. J. Aviat. Psychol. 1993, 3, 203–220. [Google Scholar] [CrossRef]
- Schubert, T.W. The Sense of Presence in Virtual Environments: A three-component scale measuring spatial presence, involvement, and realness. Z. Für Medien. [J. Media Psychol.] 2003, 15, 69–71. [Google Scholar] [CrossRef]
- Mayring, P. Qualitative Inhaltsanalyse: Grundlagen und Techniken [Qualitative Content Analysis: Basics and Techniques], 13th ed.; Beltz: Weinheim, Germany; Basel, Switzerland, 2022. [Google Scholar]
- Arabian, H.; Schmid, R.; Wagner-Hartl, V.; Moeller, K. Analysis of EDA and Heart Rate Signals for Emotional Stimuli Responses. Curr. Dir. Biomed. Eng. 2023, 9, 150–153. [Google Scholar] [CrossRef]
- Arabian, H.; Abdulbaki Alshirbaji, T.; Schmid, R.; Wagner-Hartl, V.; Chase, J.G.; Moeller, K. Harnessing Wearable Devices for Emotional Intelligence: Therapeutic Applications in Digital Health. Sensors 2023, 23, 8092. [Google Scholar] [CrossRef] [PubMed]
- Senju, A.; Johnson, M.H. Atypical Eye Contact in Autism: Models, Mechanisms and Development. Neurosci. Biobehav. Rev. 2009, 33, 1204–1214. [Google Scholar] [CrossRef]
- Crawford, H.; Moss, J.; Oliver, C.; Elliott, N.; Anderson, G.M.; McCleery, J.P. Visual Preference for Social Stimuli in Individuals with Autism or Neurodevelopmental Disorders: An Eye-Tracking Study. Mol. Autism 2016, 7, 24. [Google Scholar] [CrossRef] [PubMed]
- Dalmaso, M. Exploring the Social Environment with the Eyes: A Review of the Impact of Facial Stimuli on Saccadic Trajectories. Int. J. Environ. Res. Public Health 2022, 19, 16615. [Google Scholar] [CrossRef]
- Wagner-Hartl, V.; Igel, M.; Schmid, R.; Gleichauf, K.; Wunsch, V.; Arabian, H.; Zimmermann, M.; Möller, K.; Hartz, P. Exploring Virtual Reality Avatars: Assessing Basic Emotion Representations for Mental Health Applications. IFAC-Pap. 2024, 58, 448–453. [Google Scholar] [CrossRef]
- Martínez Pérez, E.; Adanero Velasco, A.; Gómez Clemente, V.; Miegimolle Herrero, M.; Planells Del Pozo, P. Importance of Desensitization for Autistic Children in Dental Practice. Children 2023, 10, 796. [Google Scholar] [CrossRef] [PubMed]



| Scenario | Complexity Level | Facial Expression Interacting Avatar |
|---|---|---|
| Conversation in the working environment | (A) Factual conversation, one person | (A) friendly |
| (B) Factual conversation, two persons | (B) friendly | |
| (C) Personal conversation, one person | (C) friendly | |
| (D) Personal conversation, two persons | (D) friendly | |
| Complaining in a shop | (A) Polite salesperson, successful return | (A) neutral positive |
| (B) Polite salesperson, unsuccessful return | (B) neutral positive | |
| (C) Impolite salesperson, successful return | (C) unfriendly | |
| (D) Impolite salesperson, unsuccessful return | (D) unfriendly |
| Scenario | Complexity Level | Positive | Negative | ||
|---|---|---|---|---|---|
| M | SD | M | SD | ||
| Conversation in the working environment | (A) Factual conversation, one person | 73.61 | 19.99 | 12.22 | 16.38 |
| (B) Factual conversation, two persons | 68.61 | 19.76 | 20.56 | 19.01 | |
| (C) Personal conversation, one person | 80.28 | 18.35 | 7.50 | 9.43 | |
| (D) Personal conversation, two persons | 78.06 | 17.42 | 12.39 | 15.08 | |
| Complaining in a shop | (A) Polite salesperson, successful return | 90.00 | 15.72 | 8.06 | 11.52 |
| (B) Polite salesperson, unsuccessful return | 42.78 | 25.74 | 52.22 | 26.47 | |
| (C) Impolite salesperson, successful return | 39.72 | 29.73 | 57.22 | 30.45 | |
| (D) Impolite salesperson, unsuccessful return | 23.89 | 26.65 | 70.28 | 30.07 | |
| Scenario | Complexity Level | M | SD |
|---|---|---|---|
| Conversation in the working environment | (A) Factual conversation, one person | 2.06 | 1.16 |
| (B) Factual conversation, two persons | 2.22 | 1.06 | |
| (C) Personal conversation, one person | 1.67 | 0.77 | |
| (D) Personal conversation, two persons | 1.89 | 0.90 | |
| Complaining in a shop | (A) Polite salesperson, successful return | 1.72 | 0.75 |
| (B) Polite salesperson, unsuccessful return | 2.72 | 1.13 | |
| (C) Impolite salesperson, successful return | 2.89 | 1.02 | |
| (D) Impolite salesperson, unsuccessful return | 3.33 | 0.97 |
| Scenario | Parameter | F | df | dfError | p | η2part. |
|---|---|---|---|---|---|---|
| Conversation in the working environment | HR | 1.39 | 3 | 51 | 0.258 | 0.075 |
| HRV (RMSSD) | 0.15 | 3 | 51 | 0.928 | 0.009 | |
| SCL | 0.67 | 3 | 51 | 0.575 | 0.038 | |
| Mean sum amplitude | 2.88 | 3 | 51 | 0.045 | 0.145 | |
| Complaining in a shop | HR | 1.08 | 3 | 51 | 0.368 | 0.059 |
| HRV (RMSSD) | 0.83 | 3 | 51 | 0.482 | 0.047 | |
| SCL | 3.87 | 3 | 51 | 0.014 | 0.185 | |
| Mean sum amplitude | 0.77 | 3 | 51 | 0.514 | 0.044 |
Disclaimer/Publisher’s Note: The statements, opinions and data contained in all publications are solely those of the individual author(s) and contributor(s) and not of MDPI and/or the editor(s). MDPI and/or the editor(s) disclaim responsibility for any injury to people or property resulting from any ideas, methods, instructions or products referred to in the content. |
© 2024 by the authors. Licensee MDPI, Basel, Switzerland. This article is an open access article distributed under the terms and conditions of the Creative Commons Attribution (CC BY) license (https://creativecommons.org/licenses/by/4.0/).
Share and Cite
Wunsch, V.; Picka, E.F.; Schumm, H.; Kopp, J.; Abdulbaki Alshirbaji, T.; Arabian, H.; Möller, K.; Wagner-Hartl, V. Virtual Reality-Based Approach to Evaluate Emotional Everyday Scenarios for a Digital Health Application. Multimodal Technol. Interact. 2024, 8, 113. https://doi.org/10.3390/mti8120113
Wunsch V, Picka EF, Schumm H, Kopp J, Abdulbaki Alshirbaji T, Arabian H, Möller K, Wagner-Hartl V. Virtual Reality-Based Approach to Evaluate Emotional Everyday Scenarios for a Digital Health Application. Multimodal Technologies and Interaction. 2024; 8(12):113. https://doi.org/10.3390/mti8120113
Chicago/Turabian StyleWunsch, Valentin, Effi Freya Picka, Hanna Schumm, Joshua Kopp, Tamer Abdulbaki Alshirbaji, Herag Arabian, Knut Möller, and Verena Wagner-Hartl. 2024. "Virtual Reality-Based Approach to Evaluate Emotional Everyday Scenarios for a Digital Health Application" Multimodal Technologies and Interaction 8, no. 12: 113. https://doi.org/10.3390/mti8120113
APA StyleWunsch, V., Picka, E. F., Schumm, H., Kopp, J., Abdulbaki Alshirbaji, T., Arabian, H., Möller, K., & Wagner-Hartl, V. (2024). Virtual Reality-Based Approach to Evaluate Emotional Everyday Scenarios for a Digital Health Application. Multimodal Technologies and Interaction, 8(12), 113. https://doi.org/10.3390/mti8120113

