A Baseline Assessment of Residential Wood Burning and Urban Air Quality in Climate-Vulnerable Chilean Cities
Abstract
1. Introduction
2. Materials and Methods
2.1. Data Collection
2.2. Data Processing
3. Results and Discussion
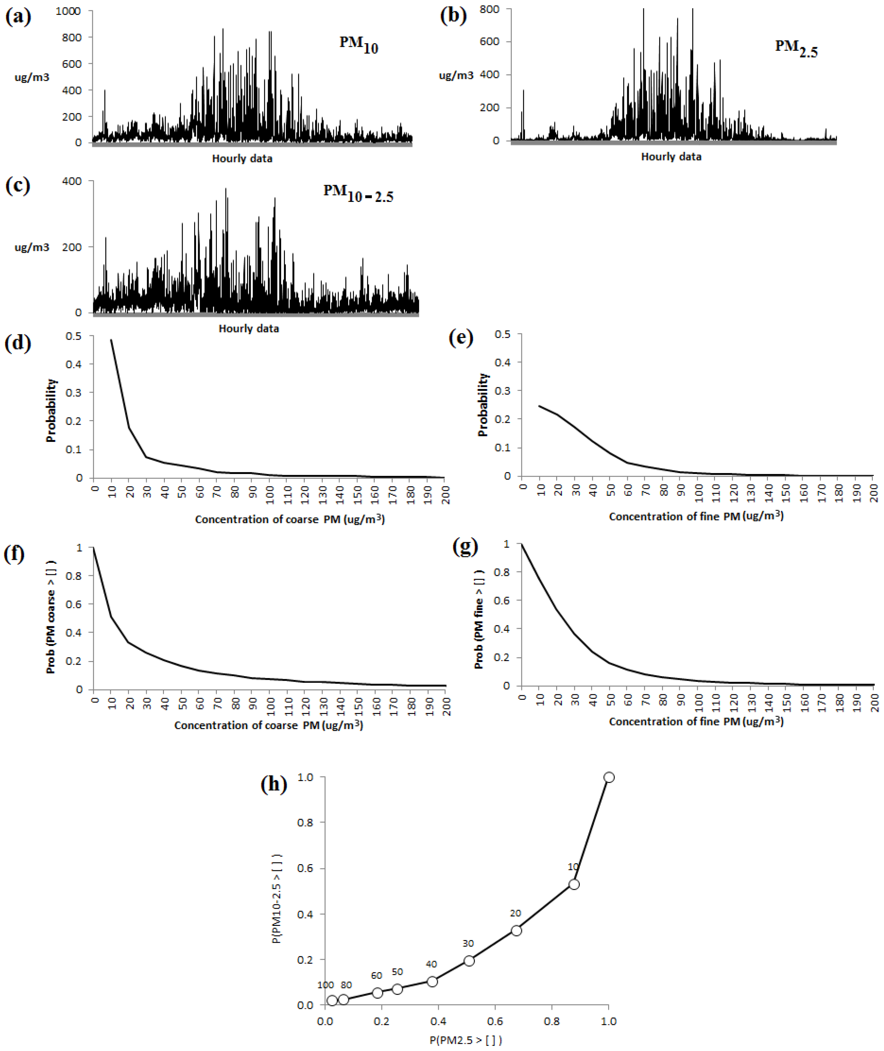
3.1. Description of Urban Air Quality Using Diurnal Averages
3.2. Variability of Fine and Coarse PM by City
3.3. Relationship Between Urban Air Quality and Intensity of Firewood Use
4. Conclusions
Author Contributions
Funding
Data Availability Statement
Conflicts of Interest
Abbreviations
| PM | Particulate Matter |
| RWC | Residential wood combustion |
| WHO | World Health Organisation |
| RETC | Registro de Emisiones y Transferencia de Contaminantes (Pollutant emission and transfer register) |
| MASL | Meters above sea level |
References
- Schwartz, J.; Dockery, D.; Neas, L. Is daily mortality associated specifically with fine particles? J. Air Waste Manag. Assoc. 1996, 46, 927–939. [Google Scholar] [CrossRef]
- Raaschou-Nielsen, O.; Sørensen, M.; Ketzel, M.; Hertel, O.; Loft, S.; Tjønneland, A.; Overvad, K.; Andersen, Z. Long-term exposure to traffic-related air pollution and diabetes-associated mortality: A cohort study. Diabetologia 2013, 56, 36–46. [Google Scholar] [CrossRef]
- Franchini, M.; Mannucci, P. Mitigation of air pollution by greenness: A narrative review. Eur. J. Intern. Med. 2018, 55, 1–5. [Google Scholar] [CrossRef]
- Vowles, M.; Kerry, R.; Ingram, B.; Mason, B. Investigation of the environmental and socio-economic characteristics of counties with a high asthma burden to focus asthma action in Utah. Int. J. Environ. Res. Public Health 2020, 17, 5251. [Google Scholar] [CrossRef]
- Lee, L.Y.; Kerry, R.; Ingram, B.; Golden, C.S.; LeMonte, J.J. Investigating the Spatial Patterns of Heavy Metals in Topsoil and Asthma in the Western Salt Lake Valley, Utah. Environments 2024, 11, 223. [Google Scholar] [CrossRef]
- Straif, K.; Cohen, A.; Samet, J.; International Agency for Research on Cancer. Air Pollution and Cancer; IARC Scientific Publication No. 161; IARC Scientific: Lyon, France, 2013. [Google Scholar]
- Ministerio del Medio Ambiente. Informe del Estado del Medio Ambiente, Capítulo 1; Contaminación del Aire; Technical Report; Ministerio del Medio Ambiente: Santiago, Chile, 2012. [Google Scholar]
- Ministerio de Desarrollo Social. Estimación del Valor de la Vida Estadística en Chile a Través del Enfoque de Disposición a Pagar; Technical Report; Ministerio de Desarrollo Social, División de Evaluación Social de Inversiones. Ministerio de Desarrollo Social: Santiago, Chile, 2018. [Google Scholar]
- Ministerio Secretaría General de la Presidencia. Decreto Supremo N° 59. Establece Norma de Calidad Primaria para Material Particulado Respirable MP10, en Especial de los Valores que Definen Situaciones de Emergencia. Technical Report. 2018. Available online: https://www.bcn.cl/leychile/navegar?idNorma=99434 (accessed on 12 April 2018).
- Ministerio del Medio Ambiente. Decreto Supremo N° 12 Establece Norma Primaria de Calidad Ambiental para Material Particulado Fino Respirable MP2.5. Technical Report. 2018. Available online: https://www.bcn.cl/leychile/Navegar?idNorma=1025202 (accessed on 14 May 2018).
- Ministerio de Energía. Política de Uso de la Leña y Sus Derivados para Calefacción; Technical Report; División de Eficiencia Energética, Ministerio de Energía: Santiago, Chile, 2016; Available online: https://www.minenergia.cl/archivos_bajar/2016/03/politica_lena_2016_web.pdf (accessed on 14 May 2018).
- HEI International. State of Global Air 2017: A Special Report on Global Exposure to Air Pollution and Its Disease Burden. 2018. Available online: https://www.ccacoalition.org/resources/state-global-air-2017-special-report-global-exposure-air-pollution-and-its-disease-burden (accessed on 4 April 2018).
- World Health Organization. A Global Campaign for Clean Air. Discover How the Air in Your City Impacts You. 2018. Available online: https://www.ccacoalition.org/resources/breathelife-global-campaign-clean-air (accessed on 14 May 2018).
- Peláez, L.M.G.; Santos, J.M.; de Almeida Albuquerque, T.T.; Reis, N.C., Jr.; Andreão, W.L.; de Fátima Andrade, M. Air quality status and trends over large cities in South America. Environ. Sci. Policy 2020, 114, 422–435. [Google Scholar] [CrossRef]
- Molina, L.T.; Gallardo, L.; Andrade, M.; Baumgardner, D.; Borbor-Córdova, M.; Bórquez, R.; Casassa, G.; Cereceda-Balic, F.; Dawidowski, L.; Garreaud, R.; et al. Pollution and its Impacts on the South American Cryosphere. Earth’s Future 2015, 3, 345–369. [Google Scholar] [CrossRef]
- Andreae, M.; Andreae, T.; Annegarn, H.; Beer, J.; Cachier, H.; Le Canut, P.; Elbert, W.; Maenhaut, W.; Salma, I.; Wienhold, F.; et al. Airborne studies of aerosol emissions from savanna fires in southern Africa: 2. Aerosol chemical composition. J. Geophys. Res. Atmos. 1998, 103, 32119–32128. [Google Scholar] [CrossRef]
- Samsonov, Y.; Ivanov, V.; McRae, D.; Baker, S. Chemical and dispersal characteristics of particulate emissions from forest fires in Siberia. Int. J. Wildland Fire 2012, 21, 818–827. [Google Scholar] [CrossRef]
- Sarigiannis, D.; Karakitsios, S.; Kermenidou, M.; Nikolaki, S.; Zikopoulos, D.; Semelidis, S.; Papagiannakis, P.; Tzimou, R. Total exposure to airborne particulate matter in cities: The effect of biomass combustion. Sci. Total Environ. 2014, 493, 795–805. [Google Scholar] [CrossRef]
- Ponce-Donoso, M.; Vallejos-Barra, O.; Ingram, B.; Daniluk-Mosquera, G. Urban trees and environmental variables: Relationships in a city of central Chile. Arboric. Urban For. 2020, 45, 84–95. [Google Scholar] [CrossRef]
- Rutllant, J.; Garreaud, R. Meteorological Air Pollution Potential for Santiago, Chile: Towards an Objective Episode Forecasting. Environ. Monit. Assess. 1995, 34, 223–244. [Google Scholar] [CrossRef]
- Escribano, J.; Gallardo, L.; Rondanelli, R.; Choi, Y. Satellite retrievals of aerosol optical depth over a subtropical urban area: The role of stratification and surface reflectance. Aerosol Air Qual. Res. 2014, 14, 596–607. [Google Scholar] [CrossRef]
- Gramsch, E.; Catalán, L.; Ormeño, I.; Palma, G. Traffic and seasonal dependence of the light absorption coefficient in Santiago de Chile. Appl. Opt. 2000, 39, 4895–4901. [Google Scholar] [CrossRef] [PubMed]
- Gramsch, E.; Cáceres, D.; Oyola, P.; Reyes, F.; Vásquez, Y.; Rubio, M.; Sánchez, G. Influence of surface and subsidence thermal inversion on PM2.5 and black carbon concentration. Atmos. Environ. 2014, 98, 290–298. [Google Scholar] [CrossRef]
- Salini, G. Desarrollo de un Modelo para Pronosticar Concentraciones de PM2.5 en Santiago. Ph.D. Thesis, Facultad de Ciencias Departamento de Física, Universidad de Santiago de Chile, Santiago, Chile, 2009. [Google Scholar]
- De Wekker, S.F.J.; Kossmann, M. Convective Boundary Layer Heights Over Mountainous Terrain—A Review of Concepts. Front. Earth Sci. 2015, 3, 77. [Google Scholar] [CrossRef]
- Solanki, R.; Macatangay, R.; Sakulsupich, V.; Sonkaew, T.; Mahapatra, P.S. Mixing Layer Height Retrievals From MiniMPL Measurements in the Chiang Mai Valley: Implications for Particulate Matter Pollution. Front. Earth Sci. 2019, 7, 308. [Google Scholar] [CrossRef]
- Herrera-Mejía, L.; Hoyos, C.D. Characterization of the atmospheric boundary layer in a narrow tropical valley using remote-sensing and radiosonde observations and the WRF model: The Aburrá Valley case-study. Q. J. R. Meteorol. Soc. 2019, 145, 2641–2665. [Google Scholar] [CrossRef]
- Pierce, A.M.; Loría-Salazar, S.M.; Holmes, H.A.; Gustin, M.S. Investigating horizontal and vertical pollution gradients in the atmosphere associated with an urban location in complex terrain, Reno, Nevada, USA. Atmos. Environ. 2019, 196, 103–117. [Google Scholar] [CrossRef]
- Hallar, A.G.; Brown, S.S.; Crosman, E.; Barsanti, K.C.; Cappa, C.D.; Faloona, I.; Fast, J.; Holmes, H.A.; Horel, J.; Lin, J.; et al. Coupled Air Quality and Boundary-Layer Meteorology in Western U.S. Basins during Winter: Design and Rationale for a Comprehensive Study. Bull. Am. Meteorol. Soc. 2021, 102, E2012–E2033. [Google Scholar] [CrossRef]
- Zhang, H.; Huang, W.; Shen, X.; Ramisetty, R.; Song, J.; Kiseleva, O.; Holst, C.C.; Khan, B.; Leisner, T.; Saathoff, H. Aerosol composition, air quality, and boundary layer dynamics in the urban background of Stuttgart in winter. Atmos. Chem. Phys. 2024, 24, 10617–10637. [Google Scholar] [CrossRef]
- Kavouras, I.; Koutrakis, P.; Cereceda-Balic, F.; Oyola, P. Source apportionment of PM10 and PM25 in five Chilean cities using factor analysis. J. Air Waste Manag. Assoc. 2001, 51, 451–464. [Google Scholar] [CrossRef]
- Tsapakis, M.; Lagoudaki, E.; Stephanou, E.; Kavouras, I.; Koutrakis, P.; Oyola, P.; Von Baer, D. The composition and sources of PM2.5 organic aerosol in two urban areas of Chile. Atmos. Environ. 2002, 36, 3851–3863. [Google Scholar] [CrossRef]
- Carvacho, O.; Trzepla-Nabaglo, K.; Ashbaugh, L.; Flocchini, R.; Melín, P.; Celis, J. Elemental composition of springtime aerosol in Chillán, Chile. Atmos. Environ. 2004, 38, 5349–5352. [Google Scholar] [CrossRef]
- Celis, J.E.; Morales, J.R.; Zaror, C.A.; Inzunza, J.C. A study of the particulate matter PM10 composition in the atmosphere of Chillán, Chile. Chemosphere 2004, 54, 541–550. [Google Scholar] [CrossRef] [PubMed]
- Hedberg, E.; Gidhagen, L.; Johansson, C. Source contributions to PM10 and arsenic concentrations in Central Chile using positive matrix factorization. Atmos. Environ. 2005, 39, 549–561. [Google Scholar] [CrossRef]
- Díaz-Robles, L.; Saavedra, H.; Schiappacasse, L.; Cereceda-Balic, F.; Cereceda, F.; Santa, T. The Air Quality in Chile. In EM: Air and Waste Management Association’s Magazine for Environmental Managers (2011); Air and Waste Management Association: Pittsburgh, PA, USA, 2011; pp. 28–33. [Google Scholar]
- Pope, C.A., III; Muhlestein, J.B.; Anderson, J.L.; Cannon, J.B.; Hales, N.M.; Meredith, K.G.; Le, V.; Horne, B.D. Short-term exposure to fine particulate matter air pollution is preferentially associated with the risk of ST-segment elevation acute coronary events. J. Am. Heart Assoc. 2015, 4, e002506. [Google Scholar] [CrossRef]
- Vardoulakis, S.; Johnston, F.; Goodman, N.; Morgan, G.; Jones, P.; Borchers Arriagada, N.; Smurthwaite, K.; Indu, G.; Robinson, D. Reducing exposure to residential wood smoke in Australia: Health equity, environmental justice, and implementation challenges and opportunities. In Proceedings of the ISEE Conference Abstracts; EHP Publishing: Research Triangle Park, NC, USA, 2024; Volume 2024. [Google Scholar]
- Savolahti, M.; Karvosenoja, N.; Soimakallio, S.; Kupiainen, K.; Tissari, J.; Paunu, V.V. Near-term climate impacts of Finnish residential wood combustion. Energy Policy 2019, 133, 110837. [Google Scholar] [CrossRef]
- Wu, D.; Zheng, H.; Li, Q.; Jin, L.; Lyu, R.; Ding, X.; Huo, Y.; Zhao, B.; Jiang, J.; Chen, J.; et al. Toxic potency-adjusted control of air pollution for solid fuel combustion. Nat. Energy 2022, 7, 194–202. [Google Scholar] [CrossRef]
- Koutrakis, P.; Sax, S.; Sarnat, J.; Coull, B.; Demokritou, P.; Demokritou, P.; Oyola, P.; Garcia, J.; Gramsch, E. Analysis of PM10, PM2.5, and PM2.5–10 Concentrations in Santiago, Chile, from 1989 to 2001. J. Air Waste Manag. Assoc. 2005, 55, 342–351. [Google Scholar] [CrossRef]
- O’Ryan, R.; Larraguibel, L. Contaminación del aire en Santiago: ¿Qué es, qué se ha hecho, qué falta? Rev. Perspect. 2000, 4, 153–191. [Google Scholar]
- Universidad de Chile. Informe País: Estado del Medio Ambiente en Chile, 2008; Technical Report; Centro de Análisis de Políticas Públicas, Universidad de Chile: Santiago, Chile, 2010. [Google Scholar]
- Universidad de Chile. Informe País: Estado del Medio Ambiente en Chile, 2005; Technical Report; Centro de Análisis de Políticas Públicas, Universidad de Chile: Santiago, Chile, 2006. [Google Scholar]
- Hamilton, I.; Kennard, H.; McGushin, A.; Höft, L.; Ebi, K.; Kelman, I.; Hess, J.; Haines, A. The public health implications of the Paris Agreement: A modelling study. Lancet Planet. Health 2021, 5, e74–e83. [Google Scholar] [CrossRef] [PubMed]
- Real, E.; Couvidat, F.; Ung, A.; Malherbe, L.; Raux, B.; Gressent, A.; Colette, A. Historical reconstruction of background air pollution over France for 2000–2015. Earth Syst. Sci. Data 2022, 14, 2419–2443. [Google Scholar] [CrossRef]
- Turnock, S.T.; Allen, R.J.; Andrews, M.; Bauer, S.E.; Deushi, M.; Emmons, L.; Good, P.; Horowitz, L.; John, J.G.; Michou, M.; et al. Historical and future changes in air pollutants from CMIP6 models. Atmos. Chem. Phys. 2020, 20, 14547–14579. [Google Scholar] [CrossRef]
- Thomas, N.; Collow, A.; Bosilovich, M.; Dezfuli, A. Effect of baseline period on quantification of climate extremes over the United States. Geophys. Res. Lett. 2023, 50, e2023GL105204. [Google Scholar] [CrossRef]
- Chen, C.f.; de Rubens, G.Z.; Xu, X.; Li, J. Coronavirus comes home? Energy use, home energy management, and the social-psychological factors of COVID-19. Energy Res. Soc. Sci. 2020, 68, 101688. [Google Scholar] [CrossRef]
- Sangüesa, C.; Ibañez, A.; Pizarro, R.; Vidal-Silva, C.; García-Chevesich, P.; Mendoza, R.; Toledo, C.; Pino, J.; Paredes, R.; Ingram, B. A Sub-Hourly Precipitation Dataset from a Pluviographic Network in Central Chile. Data 2025, 10, 95. [Google Scholar] [CrossRef]
- Pizarro-Tapia, R.; González-Leiva, F.; Valdes-Pineda, R.; Ingram, B.; Sangüesa, C.; Vallejos, C. A Rainfall Intensity Data Rescue Initiative for Central Chile Utilizing a Pluviograph Strip Charts Reader (PSCR). Water 2020, 12, 1887. [Google Scholar] [CrossRef]
- Carslaw, D.C.; Ropkins, K. Openair—An R package for air quality data analysis. Environ. Model. Softw. 2012, 27–28, 52–61. [Google Scholar] [CrossRef]
- R Development Core Team. R: A Language and Environment for Statistical Computing; R Foundation for Statistical Computing: Vienna, Austria, 2011; ISBN 3-900051-07-0. [Google Scholar]
- World Health Organization. Global Urban Ambient Air Pollution Database; World Health Organization: Geneva, Switzerland, 2018. [Google Scholar]
- Schwela, D.H.; Haq, G. Strengths and Weaknesses of the WHO Global Ambient Air Quality Database. Aerosol Air Qual. Res. 2020, 20, 1026–1037. [Google Scholar] [CrossRef]
- IQAir. 2024 World Air Quality Report; Technical Report; IQAir: Steinach, Switzerland, 2024. [Google Scholar]
- World Health Organization. WHO Ambient Air Quality Database; World Health Organization: Geneva, Switzerland, 2024. [Google Scholar]
- Global Burden of Disease from Major Air Pollution Sources (GBD MAPS): A Global Approach. Research Report. 2022. Available online: https://pmc.ncbi.nlm.nih.gov/articles/PMC9501767/ (accessed on 1 January 2018).
- Jorquera, H.; Barraza, F. Source apportionment of ambient PM2.5 in Santiago, Chile: 1999 and 2004 results. Sci. Total Environ. 2012, 435, 418–429. [Google Scholar] [CrossRef] [PubMed]
- Valdivia, S.A.P. Análisis Temporal y Espacial de la Calidad del Aire Determinado por Material Particulado PM10 y PM2,5 en Lima Metropolitana; Technical Report 2. 2016. Available online: https://revistas.lamolina.edu.pe/index.php/acu/article/view/699/pdf_37 (accessed on 1 January 2018).
- Artaxo, P.; Oyola, P.; Martinez, R. Aerosol composition and source apportionment in Santiago de Chile. Nucl. Instrum. Methods Phys. Res. Sect. B Beam Interact. Mater. Atoms 1999, 150, 409–416. [Google Scholar] [CrossRef]
- Kleeman, M.; Schauer, J.; Cass, G. Size and composition distribution of fine particulate matter emitted from wood burning, meat charbroiling, and cigarettes. Environ. Sci. Technol. 1999, 33, 3516–3523. [Google Scholar] [CrossRef]
- Hays, M.; Smith, N.; Kinsey, J.; Dong, Y.; Kariher, P. Polycyclic aromatic hydrocarbon size distributions in aerosols from appliances of residential wood combustion as determined by direct thermal desorption-GC/MS. J. Aerosol Sci. 2003, 34, 1061–1084. [Google Scholar] [CrossRef]
- Ehrlich, C.; Noll, G.; Kalkoff, W.D.; Baumbach, G.; Dreiseidler, A. PM10, PM2.5 and PM1.0—Emissions from industrial plants—Results from measurement programmes in Germany. Atmos. Environ. 2007, 41, 6236–6254. [Google Scholar] [CrossRef]
- Simoneit, B.; Schauer, J.; Nolte, C.; Oros, D.; Elias, V.; Fraser, M.; Rogge, W.; Cass, G. Levoglucosan, a tracer for cellulose in biomass burning and atmospheric particles. Atmos. Environ. 1999, 33, 173–182. [Google Scholar] [CrossRef]
- SICAM-Ingeniería. Actualización del Inventario de Emisiones Atmosférica para las Comunas de Temuco y Padre las Casas, Año Base 2017. Technical Report. 2014. Available online: https://planesynormas.mma.gob.cl/archivos/2024/proyectos/6fc_Folio_996_al_1173_Informe_Final_Inv._Emisiones_Tco_y_PLC_2020.pdf (accessed on 4 December 2018).
- Cohen, A.J.; Brauer, M.; Burnett, R.; Anderson, H.R.; Frostad, J.; Estep, K.; Balakrishnan, K.; Brunekreef, B.; Dandona, L.; Dandona, R.; et al. Estimates and 25-year trends of the global burden of disease attributable to ambient air pollution: An analysis of data from the Global Burden of Diseases Study 2015. Lancet 2017, 389, 1907–1918. [Google Scholar] [CrossRef]






| City | Santiago | Rancagua | Talca | Chillan | Los Angeles | Temuco | Osorno | Coyhaique |
|---|---|---|---|---|---|---|---|---|
| Abbreviation | STG | RAN | TAL | CHI | LAN | TEM | OSO | COY |
| Latitude | 33°27′48.47″ S | 34°9′43.96″ S | 35°26′6.50″ S | 36°36′58.25″ S | 37°28′16.20″ S | 38°44′55.39″ S | 40°35′4.20″ S | 45°34′47.91″ S |
| Longitude | 70°39′41.15″ W | 70°42′50.15″ W | 71°40′41.69″ W | 72°5′35.01″ W | 72°21′41.50″ W | 72°37′14.83″ W | 73°7′7.41″ W | 72°3′40.13″ W |
| Elevation (masl) | 526 | 513 | 99 | 129 | 137 | 106 | 52 | 341 |
| Exceeds | PM10, PM2.5 | PM10 | PM10 | PM10, PM2.5 | PM10, PM2.5 | PM10, PM2.5 | PM10, PM2.5 | PM10, PM2.5 |
| Köppen climate | Csb | Csb | Csb | Csb | Csb | Cfb | Cfb | Cfc |
| PM | Statistics | STG | RAN | TAL | CHI | LAN | TEM | OSO | COY |
|---|---|---|---|---|---|---|---|---|---|
| PM10 | Mean | 70.6 | 76.3 | 59.1 | 52.2 | 56.9 | 50.6 | 50.9 | 64.8 |
| Median | 62.1 | 68.8 | 45.3 | 38.7 | 45.4 | 36 | 31 | 44.5 | |
| Mode | 50–60 | 50–60 | 30–40 | 30–40 | 30–40 | 20–30 | 20–30 | 20–30 | |
| 98th percentile | 160 | 168.2 | 180.7 | 174.9 | 180.3 | 174.9 | 223.6 | 214.9 | |
| P (>195 µg m–3) | 0.40% | 0.50% | 0.00% | 1.20% | 0.70% | 1.20% | 2.90% | 3.30% | |
| PM2.5 | Mean | 30.6 | 26.5 | 31.8 | 32.2 | 30.4 | 33.7 | 34.3 | 52.1 |
| Median | 25.9 | 17.5 | 16 | 16.3 | 16.3 | 18.3 | 18.3 | 32.1 | |
| Mode | 20–30 | 10–20 | 0–10 | 0–10 | 0–10 | 0–10 | 0–10 | 10–20 | |
| 98th percentile | 78.7 | 87.8 | 134.5 | 150.7 | 134.5 | 144.8 | 181.4 | 186.7 | |
| P (>80 µg m−3) | 2.00% | 3.80% | 10.70% | 10.30% | 8.20% | 11.40% | 10.70% | 22.60% | |
| P (>110 µg m−3) | 0.10% | 0.60% | 4.80% | 6.00% | 3.80% | 6.00% | 6.70% | 13.10% | |
| P (>170 µg m−3) | 0.00% | 0.00% | 0.40% | 1.10% | 1.10% | 1.20% | 2.70% | 3.30% |
| Independent Variable | Mean Fine PM | Mean Coarse PM |
|---|---|---|
| Firewood consumption | 0.965 ** | 0.3 |
| Stoves/hectare | 0.887 * | 0.008 |
| Stoves/household | 0.824 * | 0.005 |
| Inventory of PM/hectare | 0.966 ** | 0.001 |
| Inventory of PM/household | 0.946 ** | 0 |
Disclaimer/Publisher’s Note: The statements, opinions and data contained in all publications are solely those of the individual author(s) and contributor(s) and not of MDPI and/or the editor(s). MDPI and/or the editor(s) disclaim responsibility for any injury to people or property resulting from any ideas, methods, instructions or products referred to in the content. |
© 2025 by the authors. Licensee MDPI, Basel, Switzerland. This article is an open access article distributed under the terms and conditions of the Creative Commons Attribution (CC BY) license (https://creativecommons.org/licenses/by/4.0/).
Share and Cite
Baettig, R.; Ingram, B. A Baseline Assessment of Residential Wood Burning and Urban Air Quality in Climate-Vulnerable Chilean Cities. Urban Sci. 2025, 9, 426. https://doi.org/10.3390/urbansci9100426
Baettig R, Ingram B. A Baseline Assessment of Residential Wood Burning and Urban Air Quality in Climate-Vulnerable Chilean Cities. Urban Science. 2025; 9(10):426. https://doi.org/10.3390/urbansci9100426
Chicago/Turabian StyleBaettig, Ricardo, and Ben Ingram. 2025. "A Baseline Assessment of Residential Wood Burning and Urban Air Quality in Climate-Vulnerable Chilean Cities" Urban Science 9, no. 10: 426. https://doi.org/10.3390/urbansci9100426
APA StyleBaettig, R., & Ingram, B. (2025). A Baseline Assessment of Residential Wood Burning and Urban Air Quality in Climate-Vulnerable Chilean Cities. Urban Science, 9(10), 426. https://doi.org/10.3390/urbansci9100426

