Emergency Capacity Pool to Respond to Unconventional Emergencies Based on Principal–Agent Theory
Abstract
1. Introduction
- (1)
- What are the selection criteria for transport enterprises?
- (2)
- How can the government’s optimal incentive coefficient, the enterprise’s optimal actual capacity supply ratio, and their respective benefits be effectively determined?
- (3)
- How do changes in transport effort cost, government supervision cost, and economic requisition compensation influence the decisions and benefits of both the government and enterprises?
2. Literature Review
2.1. Government–Enterprise Emergency Cooperation Model
2.2. Emergency Transportation Resource Planning
2.3. Application of Principal–Agent Theory
2.4. Government Subsidies for Incentivizing Enterprise Participation
2.5. Research Gaps
3. Building the Emergency Capacity Pool of Social Vehicles
3.1. Principles for Selecting Transport Enterprises
3.1.1. Grading Principle
3.1.2. Categorization Principle
3.1.3. Distribution Principle
3.1.4. Integrity Principle
3.2. Structure of the Emergency Capacity Pool of Social Vehicles
3.3. Integration of Social Vehicle Transportation Capacity
4. Development of an Incentive Model for the Emergency Capacity Pool of Social Vehicles Based on Principal–Agent Theory
4.1. Problem Description
4.2. Model Assumptions and Symbol Definitions
4.2.1. Model Assumptions
- (1)
- In constructing an emergency capacity pool of social vehicles, the government faces information asymmetry with transport enterprises, making it difficult to monitor their actions and decision-making processes directly. This study assumes that the ratio of actual capacity βiqi supplied during emergencies to the promised capacity αiqi, expressed as βi/αi, can serve as an indirect measure of the effort exerted by enterprises in supplying transportation capacities, where αi (0 < αi < 1) represents the proportion of capacity pledged to the emergency capacity pool of social vehicles; βi (0 < βi < 1) represents the proportion of capacity actually supplied, and qi represents the available quantity of various transportation capacities.
- (2)
- During emergency responses to unconventional emergencies, the government derives social benefits mainly from reducing accident-related losses. These benefits depend on the effort levels of the government and its collaborators and are influenced by external environmental factors [27]. Thereby, this paper sets the output function of effort as , where ri represents the marginal social benefit of each capacity type and θi ~ N (0, σi2) represents random factors unrelated to the conversion of social benefits, reflecting external environmental uncertainty. The larger the value of σi2, the stronger the uncertainty.
- (3)
- When a transport enterprise increases its effort to supply one type of emergency transportation capacity, its effort in other tasks decreases proportionally. However, this does not imply that the unit cost of effort for different types of capacity will change. Therefore, it is assumed that the cost of effort functions independently for each capacity type [28]. Referring to [29], the effort cost function of the transport enterprise is assumed to be , where ni represents the marginal cost of supplying each capacity type. This quadratic cost function meets the condition of increasing marginal production costs [30], i.e., .
- (4)
- According to Holmstrom and Milgrom’s principal–agent model [31], the government provides a linear incentive contract to the transport enterprise, represented as , where ω’ represents a one-time subsidy from the government and ωi represents the incentive coefficient for each type of emergency capacity provided, with 0 < ωi < 1 (i = 1, 2, …, n).
- (5)
- Unconventional emergencies involve high uncertainty and complexity, posing significant challenges for transport enterprises, which tend to exhibit risk aversion in such complex environments. This paper assumes that the government is risk-neutral. At the same time, enterprises are risk-averse, following a constant absolute risk aversion function: , where ρ represents the risk aversion coefficient of the transport enterprise and f1 represents the enterprise’s utility function.
4.2.2. Variable Definitions
4.3. Building an Incentive Model for the Emergency Capacity Pool of Social Vehicles
4.3.1. Utility Function Analysis for Transport Enterprises
- (1)
- Emergency Transportation Capacity Input Costs
- (2)
- Emergency Transportation Capacity Incentives
- (3)
- Emergency Transportation Capacity Compensation
- (4)
- Utility of the Transport Enterprise
4.3.2. Utility Function Analysis for Government Departments
- (1)
- Government Supervision Costs
- (2)
- Incentive and Compensation Costs
- (3)
- Social Benefits
- (4)
- Government Utility
4.4. Incentive Model
4.4.1. Objective Function
4.4.2. Participation Constraint
4.4.3. Incentive Constraint
4.5. Model Solution
4.5.1. Analysis of Incentive Constraints
4.5.2. Analysis of Participation Constraints
4.5.3. Variable Solution
4.6. Model Analysis
4.6.1. Analysis of Optimal Actual Supply Ratio for Transport Enterprises
4.6.2. Analysis of the Government’s Optimal Incentive Coefficient
5. Case Study Analysis
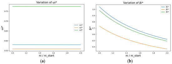
5.1. Numerical Simulation of the Incentive Model
5.2. Sensitivity Analysis
5.2.1. Transport Effort Cost
5.2.2. Government Supervision Cost
5.2.3. Economic Requisition Compensation
6. Discussion
7. Conclusions
- The systematic selection of transport enterprises is based on four dimensions: grading, categorization, distribution, and integrity. This approach provides practical strategies to meet diverse emergency transportation needs. First, a reserve structure is proposed in which state-owned transport enterprises form the backbone, supplemented by high-quality private enterprises, ensuring stable and adequate capacity provision during emergencies. Second, functional classification increases the specificity and flexibility of emergency responses. Geographically, a well-planned distribution of transportation resources ensures that high-frequency event areas are prioritized while enabling rapid capacity provision in other regions. Finally, transport enterprises with strong integrity records help to reduce transaction costs and mitigate risks associated with incomplete or concealed information. This framework offers essential theoretical guidance for the government’s selection of transport enterprises;
- There is a positive correlation between the government’s incentive coefficient and the actual capacity supply ratio of transport enterprises. This suggests that a higher incentive coefficient effectively motivates transport enterprises, increasing their willingness and ability to provide emergency capacity. This finding suggests that, if government compensation policies are effectively aligned with enterprises’ actual capacity supply ratios, it will significantly improve their service capacity during crises, thereby enhancing the efficiency of the entire emergency management system;
- A substitution relationship exists between the government’s social benefit incentives and the economic compensation for requisition. This result indicates that a reasonable regulatory mechanism should be established during policy formulation to balance social benefit incentives with economic compensation, preventing over-reliance on either. Achieving this balance enables the government to enhance enterprises’ sense of responsibility and participation while more effectively achieving its policy goals. This important contribution offers valuable guidance for policymakers in designing and implementing support policies for transport enterprises and advances the development of emergency transportation management research.
Author Contributions
Funding
Data Availability Statement
Conflicts of Interest
References
- Hou, J.; Gai, W.M.; Cheng, W.Y.; Deng, Y.F. Prediction model of traffic loading rate for large-scale evacuations in unconventional emergencies: A real case survey. Process Saf. Environ. Prot. 2020, 144, 166–176. [Google Scholar] [CrossRef]
- Cao, C.; Liu, Y.; Tang, O.; Gao, X. A fuzzy bi-level optimization model for multi-period post-disaster relief distribution in sustainable humanitarian supply chains. Int. J. Prod. Econ. 2021, 235, 108081. [Google Scholar] [CrossRef]
- Wiens, M.; Schätter, F.; Zobel, C.W.; Schultmann, F. Urban Disaster Resilience and Security: Addressing Risks in Societies, 1st ed.; Springer: Cham, Switzerland, 2018; pp. 145–168. [Google Scholar]
- Li, S.; Cai, H. Government incentive impacts on private investment behaviors under demand uncertainty. Transp. Res. Part E Logist. Transp. Rev. 2017, 101, 115–129. [Google Scholar] [CrossRef]
- Hu, Z.; Tian, J.; Feng, G. A relief supplies purchasing model based on a put option contract. Comput. Ind. Eng. 2019, 127, 253–262. [Google Scholar] [CrossRef]
- Sun, X.; Zhang, J.; Hu, W. Procurement modes for emergency supplies in the presence of disaster and commercial demands. IMA J. Manag. Math. 2022, 33, 161–180. [Google Scholar] [CrossRef]
- Meng, Q.; Kao, Z.; Guo, Y.; Bao, C. An emergency supplies procurement strategy based on a bidirectional option contract. Socio-Econ. Plan. Sci. 2023, 87, 101515. [Google Scholar] [CrossRef]
- Ibri, S.; Nourelfath, M.; Drias, H. A multi-agent approach for integrated emergency vehicle dispatching and covering problem. Eng. Appl. Artif. Intell. 2012, 25, 554–565. [Google Scholar] [CrossRef]
- Zhen, L.; Wu, J.; Chen, F.; Wang, S. Traffic emergency vehicle deployment and dispatch under uncertainty. Transp. Res. Part E Logist. Transp. Rev. 2024, 183, 103449. [Google Scholar] [CrossRef]
- Yao, J.; Shao, C.; Xia, X.; Wang, P.; Wei, Y.; Wang, J. A multi-objective emergency vehicle scheduling optimisation model. Int. J. Sens. Netw. 2020, 34, 236–243. [Google Scholar] [CrossRef]
- Liu, J.; Dong, C.; An, S.; Guo, Y. Research on the natural hazard emergency cooperation behavior between governments and social organizations based on the hybrid mechanism of incentive and linkage in China. Int. J. Environ. Res. Public Health 2021, 18, 13064. [Google Scholar] [CrossRef]
- Wu, X.; Yang, M.; Wu, C.; Liang, L. How to avoid source disruption of emergency supplies in emergency supply chains: A subsidy perspective. Int. J. Disaster Risk Reduct. 2024, 102, 104303. [Google Scholar] [CrossRef]
- Jiaqi, X. A conceptual research of public private partnership (PPP) modeling on the pandemic recovery in China. J. Digit. Realism Mastery 2023, 2, 34–41. [Google Scholar] [CrossRef]
- Tille, F.; Panteli, D.; Fahy, N.; Waitzberg, R.; Davidovitch, N.; Degelsegger-Márquez, A. Governing the public-private-partnerships of the future: Learnings from the experiences in pandemic times. Eurohealth 2021, 27, 49–53. [Google Scholar]
- Wang, Y.; Peng, S.; Xu, M. Emergency logistics network design based on space–time resource configuration. Knowl.-Based Syst. 2021, 223, 107041. [Google Scholar] [CrossRef]
- Jiang, J.; Ma, J.; Chen, X. Multi-regional collaborative mechanisms in emergency resource reserve and pre-dispatch design. Int. J. Prod. Econ. 2024, 270, 109161. [Google Scholar] [CrossRef]
- Liu, J.; Kefan, X. Emergency materials transportation model in disasters based on dynamic programming and ant colony optimization. Kybernetes 2017, 46, 656–671. [Google Scholar] [CrossRef]
- Wang, Y.; Wang, X.; Fan, J.; Wang, Z.; Zhen, L. Emergency logistics network optimization with time window assignment. Expert Syst. Appl. 2023, 214, 119145. [Google Scholar] [CrossRef]
- Hao, Z.; Wang, Y.; Yang, X. Every Second Counts: A Comprehensive Review of Route Optimization and Priority Control for Urban Emergency Vehicles. Sustainability 2024, 16, 2917. [Google Scholar] [CrossRef]
- Che, X.; Niu, Y.; Shui, B.; Fu, J.; Fei, G.; Goswami, P.; Zhang, Y. A novel simulation framework based on information asymmetry to evaluate evacuation plan. Vis. Comput. 2015, 31, 853–861. [Google Scholar] [CrossRef]
- Xiao, H.; Xu, T.; Xu, H.; Lin, Y.; Sun, M.; Tan, M. Production Capacity Reserve Strategy of Emergency Medical Supplies: Incentive Model for Nonprofit Organizations. Sustainability 2022, 14, 11612. [Google Scholar] [CrossRef]
- Ma, R.; Liu, J.; An, S. Early warning response to rainstorm: Designing a model with incentive and supervision mechanisms based on the principal-agent theory. Int. J. Disaster Risk Reduct. 2024, 111, 104683. [Google Scholar] [CrossRef]
- Levy, J.; Prizzia, R. Building Effective Emergency Management Public-Private Partnerships (PPP) for Information Sharing; Springer: Cham, Switzerland, 2018; pp. 375–401. [Google Scholar]
- Guan, P.; Zhang, J.; Payyappalli, V.M.; Zhuang, J. Modeling and validating public–private partnerships in disaster management. Decis. Anal. 2018, 15, 55–71. [Google Scholar] [CrossRef]
- Yang, S.; Qian, W. Effect of government subsidies on supply chain decision-making and coordination in the context of COVID-19. RAIRO-Oper. Res. 2021, 55, 1885–1907. [Google Scholar] [CrossRef]
- Zhang, Z.; Li, X. The optimal manufacturer’s reserve investment and government’s subsidy policy in emergency preparedness. J. Inequalities Appl. 2013, 2013, 1–11. [Google Scholar] [CrossRef]
- Diehlmann, F.; Lüttenberg, M.; Verdonck, L.; Wiens, M.; Zienau, A.; Schultmann, F. Public-private collaborations in emergency logistics: A framework based on logistical and game-theoretical concepts. Saf. Sci. 2021, 141, 105301. [Google Scholar] [CrossRef]
- Hosseinian, S.M.; Carmichael, D.G. Optimal incentive contract with risk-neutral contractor. J. Constr. Eng. Manag. 2013, 139, 899–909. [Google Scholar] [CrossRef]
- Dingyang, H.; Dali, J.; Yisheng, W.; Yuanwen, C. Research on incentive and constraint mechanism of government entrust to enterprise agent reserve emergency material. Open Cybern. Syst. J. 2014, 8, 695–701. [Google Scholar]
- Weiying, Z. Game Theory and Information Economics, 2nd ed.; Shanghai People’s Publishing House: Shanghai, China, 2012; pp. 235–247. [Google Scholar]
- Holmstrom, B.; Milgrom, P. Aggregation and linearity in the provision of intertemporal incentives. Econom. J. Econom. Soc. 1987, 55, 303–328. [Google Scholar] [CrossRef]
- Hall, R.E. Stochastic implications of the life cycle-permanent income hypothesis: Theory and evidence. J. Political Econ. 1978, 86, 971–987. [Google Scholar] [CrossRef]
- Zhang, M.; Kong, Z. A tripartite evolutionary game model of emergency supplies joint reserve among the government, enterprise and society. Comput. Ind. Eng. 2022, 169, 108132. [Google Scholar] [CrossRef]
- Todaro, N.M.; Testa, F.; Daddi, T.; Iraldo, F. The influence of managers’ awareness of climate change, perceived climate risk exposure and risk tolerance on the adoption of corporate responses to climate change. Bus. Strategy Environ. 2021, 30, 1232–1248. [Google Scholar] [CrossRef]
- Mizrahi, S.; Cohen, N.; Vigoda-Gadot, E.; Krup, D.N. Compliance with government policies during emergencies: Trust, participation and protective actions. Governance 2023, 36, 1083–1102. [Google Scholar] [CrossRef]








| Variable | Definition |
|---|---|
| αi | Percentage of each type of capacity committed by the transport enterprise to the emergency capacity pool of social vehicles. |
| qi | Existing amount of each type of capacity in the transport enterprise. |
| βi | Proportion of capacity actually supplied. |
| βi* | Optimal proportion of capacity actually supplied. |
| ri | Social benefits are generated by each type of transportation capacity. |
| θi | Random factors unrelated to the conversion of social benefits. |
| ni | Marginal cost of each type of capacity supplied by the transport enterprise. |
| ω’ | One-time subsidy provided by the government to the transport enterprise. |
| ωi | Incentive coefficient given by the government for each type of emergency transportation capacity. |
| ωi* | Optimal incentive coefficient is given by the government for each type of emergency transportation capacity. |
| ρ | Risk aversion coefficient of the transport enterprise. |
| hi | Economic compensation is given by the government for each type of emergency transportation capacity. |
| bi | Supervision costs incurred by the government for each type of emergency transportation capacity. |
| f’ | Maximum opportunity return from the actual capacity provided by the transport enterprise. |
| f1 | Payoff function of the transport enterprise. |
| f2 | Payoff function of government. |
| Π1 | Expected utility value for transport enterprises. |
| Π2 | Expected utility value for government. |
| Transportation Capacity Type | αi (%) | qi (t) | Var (θi) | ni (Yuan) | ρ (%) |
|---|---|---|---|---|---|
| Vans | 60 | 2500 | 0.5 | 150,000 | 80 |
| Refrigerated Trucks | 80 | 800 | 0.6 | 250,000 | |
| Semi-Trailers | 50 | 3200 | 0.2 | 1,500,000 |
| Transportation Capacity Type | ri | hi | bi | ω’ | f’ |
|---|---|---|---|---|---|
| Vans | 20,000 | 100 | 1000 | 500,000 | 700,000 |
| Refrigerated Trucks | 70,000 | 200 | 5000 | ||
| Semi-Trailers | 120,000 | 1200 | 3000 |
| Vans | Refrigerated Trucks | Semi-Trailers | |
| Government’s Optimal Incentive Coefficient ωi* | 0.6012 | 0.7872 | 0.3999 |
| Optimal Actual Capacity Supply Ratio for Transport Enterprises βi* | 0.6481 | 0.5859 | 0.6560 |
| Expected Utility Value for Transport Enterprises Π1 | 3,259,582.21 | ||
| Expected Utility Value for Government Π2 | −3,161,109.15 | ||
Disclaimer/Publisher’s Note: The statements, opinions and data contained in all publications are solely those of the individual author(s) and contributor(s) and not of MDPI and/or the editor(s). MDPI and/or the editor(s) disclaim responsibility for any injury to people or property resulting from any ideas, methods, instructions or products referred to in the content. |
© 2024 by the authors. Licensee MDPI, Basel, Switzerland. This article is an open access article distributed under the terms and conditions of the Creative Commons Attribution (CC BY) license (https://creativecommons.org/licenses/by/4.0/).
Share and Cite
Jin, N.; Tan, F.; Wang, H.; Sang, A.; Wang, S. Emergency Capacity Pool to Respond to Unconventional Emergencies Based on Principal–Agent Theory. Urban Sci. 2024, 8, 262. https://doi.org/10.3390/urbansci8040262
Jin N, Tan F, Wang H, Sang A, Wang S. Emergency Capacity Pool to Respond to Unconventional Emergencies Based on Principal–Agent Theory. Urban Science. 2024; 8(4):262. https://doi.org/10.3390/urbansci8040262
Chicago/Turabian StyleJin, Na, Fuyou Tan, Haiyan Wang, Ao Sang, and Shipeng Wang. 2024. "Emergency Capacity Pool to Respond to Unconventional Emergencies Based on Principal–Agent Theory" Urban Science 8, no. 4: 262. https://doi.org/10.3390/urbansci8040262
APA StyleJin, N., Tan, F., Wang, H., Sang, A., & Wang, S. (2024). Emergency Capacity Pool to Respond to Unconventional Emergencies Based on Principal–Agent Theory. Urban Science, 8(4), 262. https://doi.org/10.3390/urbansci8040262

