Abstract
Preliminary monitoring campaigns in three (nonindustrial) indoor environments (a corridor, a coffee room with a kitchenette, and a single-occupancy office, all located in the same public building) were carried out, in which the vertical concentration profiles of airborne particulate matter (inhalable, thoracic, and alveolic fractions, as well as PM10 and PM2.5) and carbon dioxide were determined using two distinct, purpose-built sequential sampling systems. One of the systems was specifically built for use with gas monitors and is based on the organ-pipe sequential air sampling technique. The second system better suited the sequential air sampling of particulate matter. Both systems were electronically controlled. Six receptor levels at heights of 0.25, 0.95, 1.25, 1.65, 2.15, and 2.75 m above the ground/floor were considered. The outcomes of the campaigns are presented. The larger-size particle fractions exhibited the most vertical variation in concentration. With respect to measurements at a height of 1.25 m above the floor, percentage differences as high as 80% were recorded. Given the appreciable measured variation in concentration over a height of approximately three meters, further investigation is warranted, especially in view of the exposure of humans of different heights, e.g., adults and children, and possibly different circumstances, e.g., standing and sitting.
1. Introduction
The adverse human health effects associated with air quality have been well and widely documented—see, for example, the recent review by Manisalidis et al. [1]. Such effects range from respiratory morbidity to cardiovascular disease, and even mortality. Most probably, and with regard to indoor air quality, this is the main reason for the increased public awareness of the subject matter, keeping in mind that humans spend most of their time indoors, according to Klepeis et al. [2]. With regard to health effects, of particular interest is airborne particulate matter, especially particles whose aerodynamic diameter is less than 10 μm, i.e., PM10, and, even more so, PM2.5 (ambient aerosol particles whose aerodynamic diameter is less than 2.5 μm). This is clear from the outcome of epidemiologic studies carried out by Minsi et al. [3] and Fromme et al. [4], amongst others.
It has long been accepted that realistic evaluations of public health risk are essential, since air quality standards (especially at the place of work) impose strains on the economy, according to Friedlander and Lippmann [5]. Furthermore, air monitoring installations record air quality levels that are different from those experienced by people, as observed by Ott [6]. In essence, oversimplified assumptions are commonplace, in that one specific air quality level monitored indoors is assumed to be applicable to everyone irrespective of the height of the person or their circumstances, e.g., standing or sitting. This is especially true for airborne particulate matter, which may have a tendency towards exhibiting more spatial variation in its concentration than gaseous pollutants due to gravitational settling. This is especially the case in the vertical direction. In the first three meters or so from ground (or floor) level, the hypothesis concerning vertical variability in the concentration of airborne particulate matter was first put forward by Colls and Micallef [7], Micallef and Colls [8], and Micallef et al. [9,10]. For correctness, it is appropriate to mention that Facchini et al. [11] made an earlier attempt on the subject matter. Following the work by Micallef and co-workers mentioned previously, other researchers took up the idea, leading to studies that gave rise to interesting findings, notably and quite recently, those of Subinuer et al. [12] who focused on PM2.5, given its importance in terms of health effects, as explained previously. This study shows that the issue merits further, more detailed, and systematic investigation through longer monitoring campaigns in various indoor and outdoor environments under different conditions.
It is also worth mentioning that the work of Halek [13] sheds light on the macroscopic vertical variations of indoor air pollutants in buildings. He measured the variation in the concentration of various fractions of airborne particulate matter (PM10, PM2.5, and PM1.0) across different floors of high-rise buildings in the city of Karaj, Iran, and it was found that the concentrations were higher on the lower floors as compared to those more aloft.
Indeed, there are other published studies that investigated the spatial variation in the concentration of various air pollutants, including that in the vertical direction. Nevertheless, none of these studies focused on the lowest level of the atmospheric boundary layer, closest to the Earth surface or ground. One recent example is the work of Cao et al. [14], in which data were gathered using an unmanned aerial vehicle near elevated highways. The data were then used to plot vertical (and horizontal) profiles of particulate matter and black carbon that spanned approximately 500 m.
Another similar study is that of Renard et al. [15], in which the vertical profiles of airborne particle concentrations within the boundary layer were measured above Paris (France) utilizing an optical particle counter onboard a balloon used for touristic purposes. During the long-term monitoring campaign, concentrations were measured at various levels up to a height above ground of 150 m. In the case of major pollution events, the maximum height was 300 m.
A comprehensive review of the techniques and methods used for the measurement of vertical concentration profiles of airborne particulate matter was conducted by Dubey et al. [16], but the said review did not consider the microlevel, i.e., it surveyed methods used over hundreds of meters above ground.
Furthermore, indoor measurements of the vertical concentration profiles of air pollutants are practically non-existent, other than those taken by the author (together with previous collaborators). The current study partly addresses this issue by augmenting the existent but slim dataset.
The principal objective of the current study was to give impetus to the general idea being discussed here, and it should serve as the basis for further and more rigorous studies.
2. Materials and Methods
This section discusses the relevant instrumentation used in the monitoring campaigns, and subsequently, descriptions of the three sites where the actual monitoring was carried out and of the monitoring campaigns themselves are given.
2.1. Sampling Methods for Determining Vertical Concentration Profiles of Airborne Pollutants
There exist three main experimental methods for the measurement of vertical concentration profiles of air pollutants over the first three meters from ground level, namely, (a) using an array of sensors, placed at different heights vertically above each other; (b) utilizing one sensor, which is shifted in sequence to different levels or heights; and (c) making use of a vertical array of sampling inlets positioned at different heights that are switched sequentially to a given sensor in a fixed location. Method (a) seems ideal but is associated with intercalibration and, possibly, cost issues. Method (b) is suitable in the case of airborne particulate matter [17], while method (c) is suitable for gases, as used effectively by Micallef et al. [18].
The design and implementation of methods (b) and (c), developed by Micallef et al. [17,18], were used in the current study, albeit with some modifications, to measure vertical concentration profiles of airborne particulate matter (inhalable, thoracic and alveolic fractions, as well as PM10 and PM2.5) and carbon dioxide, in three indoor environments, namely, a corridor, a coffee room with a kitchenette and a single-occupancy office. All three environments are located in the same public building. Measurements were carried out over the first three meters from ground level. The two methodologies employed in this study are described in detail by Micallef et al. [17,18], and conceptually summarized in the following subsections for the benefit of the reader, and for the sake of completeness.
2.2. Airborne Particulate Matter Sampling System
Airborne particulate matter concentrations were measured directly in near real-time using an optical particle counter (or dust monitor), namely, Model 1.104/5 by Grimm Labortechnik Ltd., Ainring, Germany [19]. As with all optical particle counters of the type used in the current study, the sensitivity of the instrument is dependent on the diameter of the particles being sampled. The efficiency of the instrument is low for relatively large- and very small-diameter particles. It should be noted that particle size is always in relation to the monochromatic wavelength of the light source used by the instrument. It is worth noting that particles with an aerodynamic diameter exceeding 15 µm do not make it into the instrument since they are blocked at the inlet by the cyclone sampling head. The smallest particle diameter that is detectable by the optical particle counter is 0.35 µm. The instrument allows for gravimetric calibration from the total mass of particulate matter collected on a back-up PTFE 47 mm-diameter filter (having 0.8 µm pores), knowledge of the sampling time and the volume flow rate.
The (small and portable) optical particle counter is fixed to a platform that slowly moves vertically (upwards and downwards) at time intervals set by the user, using a small motor, guided by a pair of rigid and parallel vertical rails. The platform (carrying the optical particle counter) is counterbalanced by an appropriate weight, which, at any one time, moves in a vertical direction opposite to that of the platform holding the optical particle counter. The platform, with the optical particle counter and the counterweight, is linked via a length of cord running over a pulley, which is fixed at the top of the rails. The movement of the platform is halted at six distinct, but roughly equally distant, monitoring levels. The six heights, or receptor levels, are in the height range 0.25–2.75 m (originally, 0.25–2.50 m [17]). After reaching the upper level, the platform returns to the lowest level, and then re-commences ascension through the levels. In this manner, the time between successive monitoring steps at a given level remains the same. The monitoring time at each of the heights is the same for all six receptor levels.
It is essential to relate data accumulated by the optical particle counter, which operates continuously, to the appropriate receptor levels or heights. The analogue input facility of the optical particle counter, originally intended for recording data from third party sensors, e.g., relative humidity, temperature, and wind speed, is utilized for this purpose, in that a specific voltage is logged together with the particle data, i.e., concentration and particle size cut-off, and this is utilized to enable association with the respective acquisition height.
To enable the functions that were discussed above, a dedicated circuit, i.e., lift timer-controller, was designed, built and interfaced with the lifting motor and the optical particle counter. The circuit consists of two sub-circuits that are interlinked, namely, (a) a dedicated timer for the movement of the lift; and (b) a counter with an indicator. Details of the circuitry, circuit design and implementation, and its operation are discussed by Micallef et al. [17]. Such details are beyond the scope of this study.
2.3. Gas Sampling System
In the current study, the gas of interest, i.e., carbon dioxide, was sampled in a sequential manner, at six distinct heights, or receptor levels, situated between ground level and a few meters further up. Pipes that are made of stainless steel were used for the sampling to ensure no reaction of the pipe material and the target gas, even though, in this case, the gas, i.e., carbon dioxide, is inert, and the issue does not arise.
The (six distinct) pipes ran from a common hub to the different receptor levels. Note that their openings, i.e., pipe ends, were bent slightly downwards to prevent any rainwater entering the system when used outdoors, even though, on this occasion, the system was used indoors. The hub consisted of six solenoid valves, one for each receptor level (and vertical pipe). The airflow in each pipe was directed by the respective solenoid valve into one of two manifolds. One of the manifolds led to the gas monitor, and the other was connected to an exhaust pump, which normally forms part and parcel of the gas monitor. In this study, it was made sure that the exhaust pipe had its outlet sufficiently distanced from the sampling environment, to avoid influencing the measurements. In fact, the free end of the exhaust pipe was located outdoors for the measurement campaigns pertaining to this study.
Pulsed and latching three-way solenoid valves, operating from a 12 V direct current source, e.g., a car battery, were employed. These solenoid valves use minimal electrical power. In fact, they only consume electrical power at the time of opening and closing, to save battery life. The continuous flushing of the pipes was possible through the use of this type of valve, since at any one time, the valves were either connected to the manifold, which led to the gas monitor, or to the exhaust manifold, which enabled ventilation. Essentially, the gas monitor and connecting pipes were continuously receiving “fresh” air. Hence, the sampling system was suited equally well to reactive and inert, e.g., carbon dioxide, gases.
The inlet to the gas monitor was opened sequentially at fixed time intervals, to the six distinct pipes (albeit one at a time). The latter corresponded to the six receptor levels at heights of 0.25, 0.95, 1.25, 1.65, 2.15 and 2.75 m above the ground. These heights matched those of the airborne particulate matter sampling system discussed previously.
Gas sampling started at the lowest level and continued with the second lowest level, and so on, sequentially, in order of ascent. Sampling re-commenced again at the lowest level, after completion of sampling at the highest level. The sampling cycle then repeated. The gas sampling time at each level was identical. Furthermore, the time interval between successive samplings at a given level was the same for each of the six sampling points. This feature enabled the comparison of successive data profiles.
It is worth noting that the collected data were related to the appropriate measurement heights, and the necessary checks were also undertaken as part of the quality control and quality assurance of the collected data. A dedicated analogue output voltage from the electronic circuit controller was logged together with the gas concentration data, in order to enable the correspondence of the latter with the sampling height.
Considering the system operations described above, the requirements for the circuit that controlled the solenoid valves consisted essentially of the following: (a) a dedicated, purpose-built electronic timer; and (b) circuitry for solenoid value switching with a counter and indicator. The two circuits were linked. These requirements were fulfilled by the circuit discussed in detail by Micallef et al. [18]. Such details are beyond the scope of this study.
2.4. Sampling Sites
Relatively brief monitoring campaigns were carried out in three distinct indoor environments, located in the same public building (specifically, an educational institution). The three indoor environments that were considered were a major corridor, a single-occupancy office, and a coffee room with a kitchenette. The dimensions of the corridor were 1.9 m by 29.0 m, those of the single-occupancy office were 4.5 m by 3.1 m, while those of the coffee room with a kitchenette were 4.5 m by 3.0 m. The height between the floor and the ceiling was just under 3 m in each case. The office had a window, which was kept closed throughout the duration of the campaign. The same holds for the coffee room with a kitchenette. The corridor was connected to a staircase and another major corridor somewhere mid-way along its length. At one end, it led to several offices, while at the other end, it led to an emergency exit. The corridor was largely flanked by offices on each side. The coffee room with a kitchenette and the single-occupancy office were located on the specific corridor discussed here, which was on the first floor of the building. The choice of monitoring/sampling sites was made so as to incorporate the main types of microenvironments in the said public building. All three sampling sites had passive ventilation and were in continuous use throughout weekdays.
Throughout the monitoring campaigns, the three environments carried no sources of airborne particulate matter or/and carbon dioxide other than anthropogenic ones, namely, resuspension of dust (through movement) and respiration (through breathing). In all three environments, there were no obvious sources of the air pollutants investigated in this study. For instance, the office had no photocopiers or printers. There was no gas fired equipment in the coffee room with a kitchenette. Both the office and the coffee room with a kitchenette were each equipped with heating, ventilation and air conditioning systems, but these were always switched off.
2.5. Monitoring Campaigns
Monitoring was carried out for 10 days in the corridor, 13 days in the single-occupancy office and for 8 days in the coffee room with a kitchenette. The campaigns excluded holidays and weekends, when the building housing the sampling sites is generally closed for public access. The three monitoring campaigns were carried out sequentially, given that one set of equipment was available for each of the two pollutants considered, i.e., airborne particulate matter and carbon dioxide. These brief campaigns will serve as the basis for further work in indoor environments similar to the ones considered in this study, as well as other indoor environments, especially cultural, archaeological and heritage sites, and public buildings frequented by various sections of the population, e.g., schools and nurseries. Indeed, currently, plans are ongoing to investigate spatial variations in the concentration of indoor and outdoor pollutants in a plethora of industrial and nonindustrial microenvironments, taking into consideration seasonal and diurnal variability.
A note is in place concerning the airborne particle size fractions considered, given the possible confounding issue associated with their definition and relationship. Air quality as a topic of investigation is a common research ground of various scientific disciplines, including the medical sciences. It is a common practice for the basic sciences to adopt exact definitions, which are quantitative in character, whereas those found in the medical literature tend to be more qualitative. At least, this is the case of airborne particle size fractions. PM10 and PM2.5 are well-defined fractions. For instance, the PM10 envelope is that which includes particles with an equivalent aerodynamic diameter of 10 microns or less, with the proviso that at the upper limit, i.e., 10 microns, less than 50% of the total particles make it within the envelope. In other words, for practical purposes, the cut-off is smoothened for the design of relevant sampling heads. With regard to the inhalable, thoracic and alveolic fractions, the definitions remain qualitative, albeit meaningful. Naturally, the alveolic fraction would be a subset of the thoracic fraction, and the latter is a subset of the alveolic. To put things in perspective, the thoracic fraction is roughly equivalent to PM10, while the alveolic fraction corresponds to PM2.5. In fact, the thoracic fraction includes the PM10 envelope and nearly coincides with it. The same holds for PM2.5 and the alveolic fraction. The inhalable fraction would be roughly equivalent to the total suspended particulate matter or PM15. The cyclone sampling head fitted to the inlet of the optical particle counter used in this study had a 15 μm cut-off, as detailed previously.
In this study, all five airborne particle size fractions, i.e., inhalable, thoracic and alveloic fractions, as well as PM10 and PM2.5, were considered, with the intention of attracting the attention of researchers from diverse fields and ensuring the wide dissemination of the ideas herein.
3. Results and Discussion
The principal (experimental) objective of the current study was to establish average vertical concentration profiles of the various airborne particle size fractions, which are relevant to human health, as well as vertical concentration profiles for carbon dioxide (an inert gas), for comparison, using the two sampling systems that were described in the previous section. Some of the collected data are presented and discussed in this section.
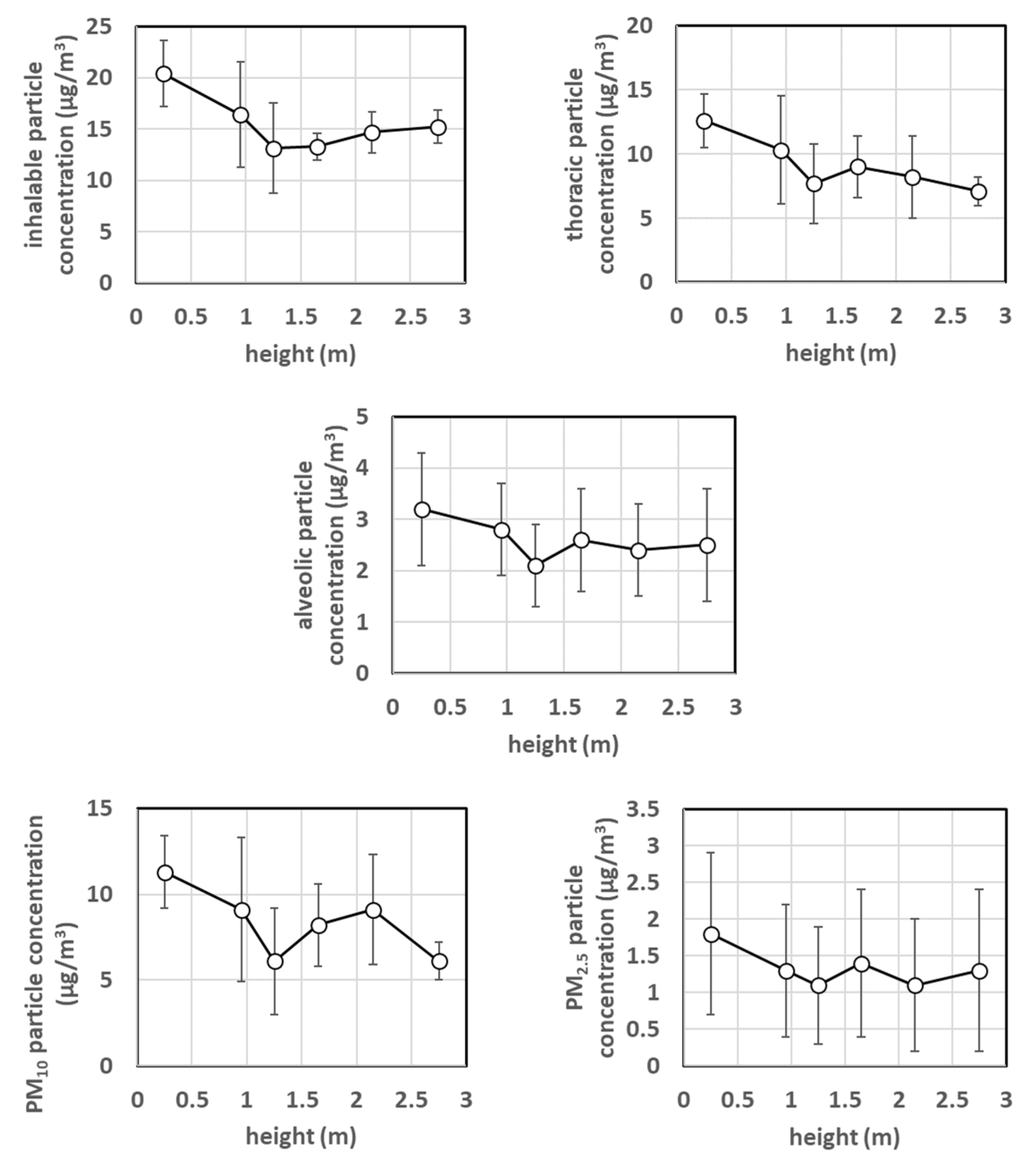
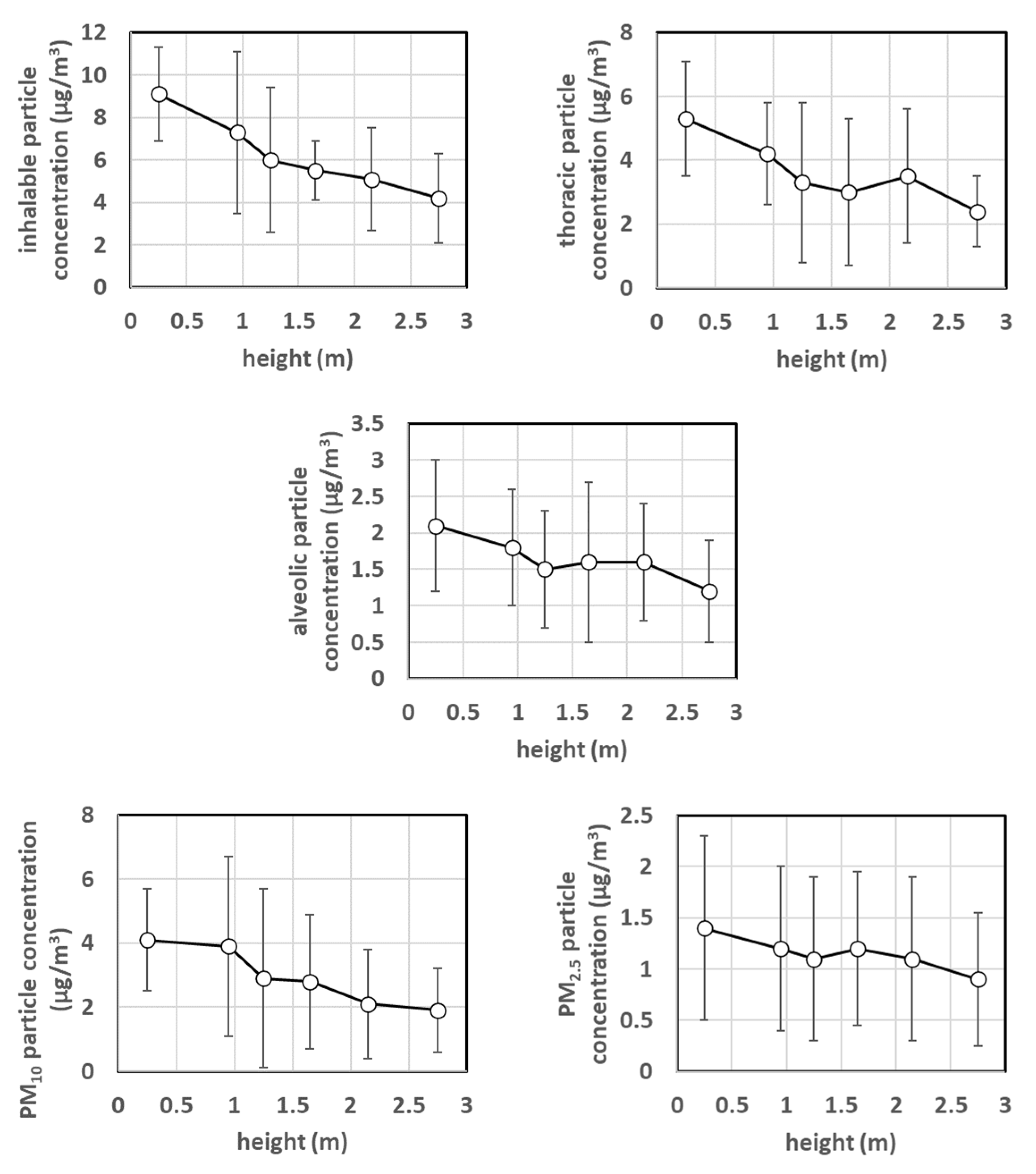
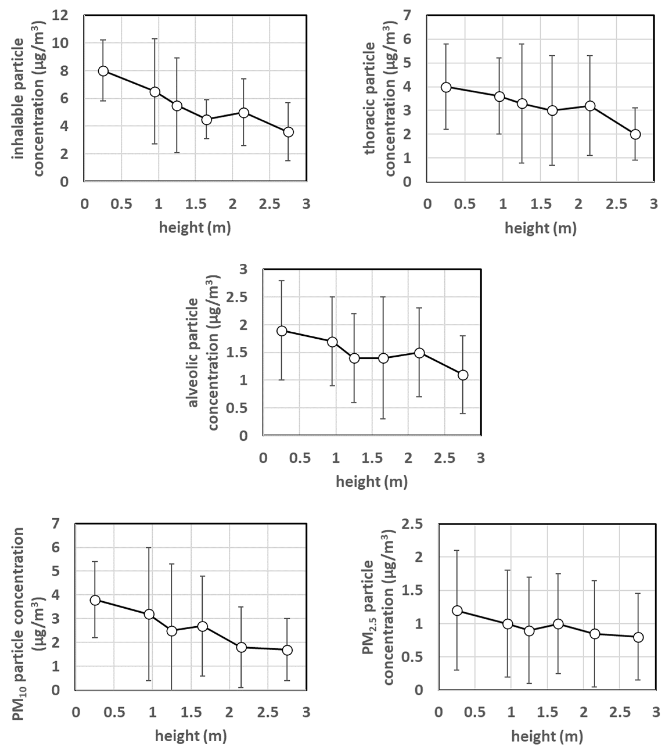
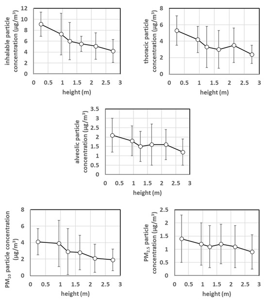
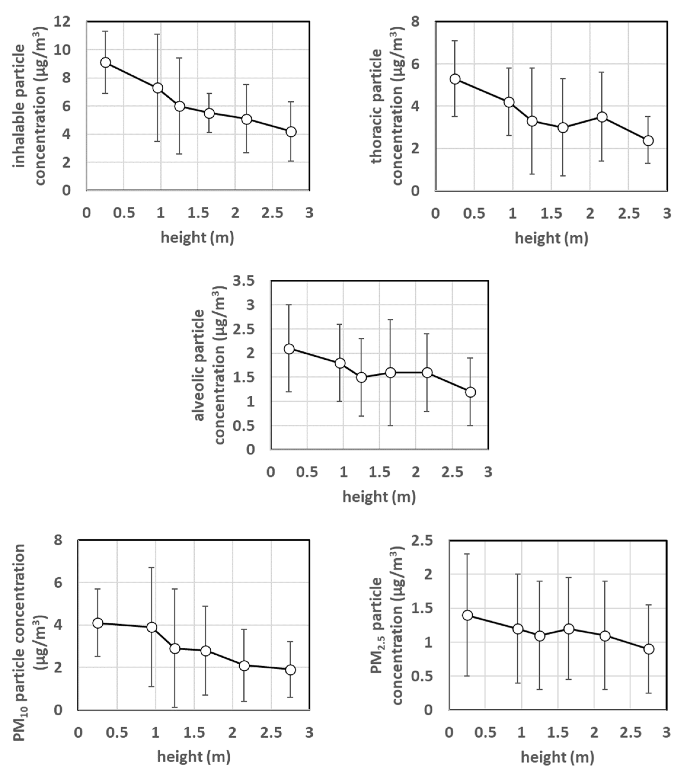
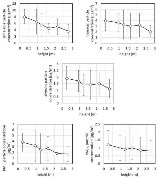
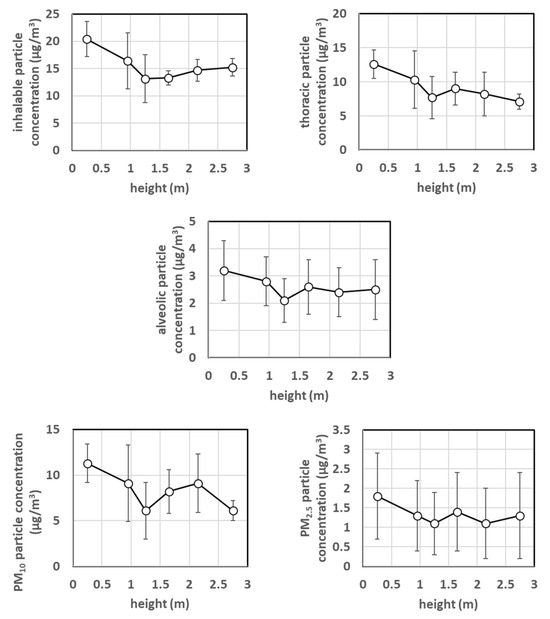
In Figure 1, Figure 2 and Figure 3, one can observe the vertical variation in the concentration of airborne particulate matter for the five airborne particle size fractions that were considered in this study, namely, the inhalable, thoracic, alveolic, PM10 and PM2.5 fractions. In each case, the concentration is plotted as a function of height (to a maximum of approximately 3 m from the floor). Figure 1 shows the average vertical concentration profile for the coffee room with a kitchenette, Figure 2 shows the same for the corridor, while Figure 3 is for the single-occupancy office.
Figure 1.
Vertical variation in concentration of the various fractions of airborne particulate matter (inhalable, thoracic, alveolic, PM10, and PM2.5) over a height of approximately 3 m for the coffee room with a kitchenette located within the office building. The error bar represents the standard deviation of the concentration data collected at the specific height.
Figure 2.
Vertical variation in concentration of the various fractions of airborne particulate matter (inhalable, thoracic, alveolic, PM10, and PM2.5) over a height of approximately 3 m for the corridor located within the office building. The error bar represents the standard deviation of the concentration data collected at the specific height.
Figure 3.
Vertical variation in concentration of the various fractions of airborne particulate matter (inhalable, thoracic, alveolic, PM10, and PM2.5) over a height of approximately 3 m for the single-occupancy office located within the office building. The error bar represents the standard deviation of the concentration data collected at the specific height.
In the case of the coffee room with a kitchenette (referring to Figure 1), variation in concentration with height is evident. Furthermore, at a height of around 1.25 m, a dip in the concentration profile can be observed for all five fractions. A somewhat similar feature is observed in the case of the corridor (referring to Figure 2), but not so much for the single-occupancy office (referring to Figure 3). It is very likely that this feature is related to human movement, given the height at which it occurs and the human activity in the two respective environments.
With regard to the corridor (referring to Figure 2), the vertical variation in concentration is noticeable even though the actual concentrations are lower than those measured in the coffee room with a kitchenette (referring to Figure 1). The actual concentrations measured in the corridor (referring to Figure 2) were similar to those measured in the single-occupancy office (referring to Figure 3).
Variation in concentration at any given level is generally high for each of the six receptor levels, and for all three indoor environments considered. This is expected, given that the profiles shown in Figure 1, Figure 2 and Figure 3 are averages over a substantially long period of time, with varying human activity (ranging from no activity at all to highly populated environments, especially for the corridor and coffee room with a kitchenette). Notice that, in Figure 1, Figure 2 and Figure 3, the error bar represents the standard deviation of concentration collected at the specific height and is indicative of the said level-specific variations.
Figure 4 gives a good intercomparison of the vertical concentration profiles for the various airborne particle size fractions, for each of the three indoor environments. The larger size fractions, i.e., inhalable, thoracic and PM10 (which is approximately the same as the thoracic fraction), exhibit more variation in the vertical direction as compared to the finer fractions, i.e., alveolic and PM2.5 (which is approximately the same as the alveolic fraction). Larger particles are more subjective to gravitational settling and dry deposition, and less subjective to resuspension from surfaces. This partly explains the phenomenon detailed here. At this point, and by the same argument, it is worth mentioning that gases are expected to show less variation in concentration in the vertical direction. This is clearly the case, as observed in Figure 5, which shows the vertical variation in concentration of carbon dioxide over a height of approximately 3 m from floor level for the three indoor environments located within the office building. Nevertheless, the single-occupancy office stands out as an exception, in that the concentration of carbon dioxide peaks at around a height of 1 m from the floor. This level coincides with the breathing level of a human being who is sitting at an office desk. This phenomenon is also observed in Figure 6.
Figure 4.
Vertical variation in concentration of the various fractions of airborne particulate matter (inhalable, thoracic, alveolic, PM10, and PM2.5), over a height of approximately 3 m for the three indoor environments (a coffee room with a kitchenette, a corridor, and a single-occupancy office) located within the same office building.
Figure 5.
Vertical variation in concentration of carbon dioxide over a height of approximately 3 m for the three indoor environments (a coffee room with a kitchenette, a corridor, and a single-occupancy office) located within the same office building. The error bar, which is indiscernible in some cases, represents the standard deviation of the concentration data collected at the specific height.
Figure 6.
Vertical variation in concentration of carbon dioxide over a height of approximately 3 m for the three indoor environments (a coffee room with a kitchenette, a corridor and a single-occupancy office) located within the same office building.
The variation in concentration across the various levels is also observed when considering percentage differences. For instance, Figure 7 shows the percentage difference in concentration of airborne particulate matter (inhalable, thoracic, alveolic, PM10 and PM2.5 fractions) at different heights with respect to that at a height of 1.25 m above the floor for the three indoor environments. At the coffee room with a kitchenette, PM10 showed greater variations than any of the other airborne particle size fractions, including the inhalable fraction, which includes the largest airborne particles. This is again the case at the single-occupancy office, but not at the corridor, where the inhalable fraction exhibited the largest variation, as compared to the other fractions. With respect to the measurements made at a height of 1.25 m above the floor, percentage differences as high as 80% were recorded.
Figure 7.
Percentage difference in concentration of airborne particulate matter (inhalable, thoracic, alveolic, PM10, and PM2.5 fractions) at different heights with respect to that at a height of 1.25 m above the floor for the three indoor environments (a coffee room with a kitchenette, a corridor and a single-occupancy office) located within the same office building.
In the case of carbon dioxide, the recorded percentage differences were relatively small, as shown in Figure 8, except for the single-occupancy office. This is in line with the previously made observation concerning the high concentrations measured at the breathing level of a human being who is sitting at an office desk. In fact, the recorded percentage difference for carbon dioxide was greater than that for PM10, at the same level, i.e., breathing level, for the single-occupancy office, as shown in Figure 9. This clearly indicates that the indoor carbon dioxide concentration and its spatial (and temporal) variations are very much a function of human activity (breathing, and the assumed position, e.g., sitting, standing).
Figure 8.
Percentage difference in concentration of carbon dioxide at different heights with respect to that at a height of 1.25 m above the floor for the three indoor environments (a coffee room with a kitchenette, a corridor and a single-occupancy office) located within the same office building.
Figure 9.
Percentage difference in concentration of the inhalable fraction of airborne particulate matter at different heights with respect to that at a height of 1.25 m above the floor for the three indoor environments (a coffee room with a kitchenette, a corridor and a single-occupancy office). Carbon dioxide and PM10 are included for comparison.
4. Conclusions and Further Work
A search of the published literature revealed that studies focussing on the variation of indoor air pollution concentration over the first few meters from the ground (or floor) level, i.e., indoor human habitat, are scare. As a matter of fact, the few existing studies are those of the author (with his previous colleagues) and a few other more recent ones, as indicated in the introductory section of this article. The natural implication of this lack is that it is assumed that within the indoor human habitat (first few meters from the ground, or floor, level), the concentration of airborne pollutants does not vary much in the vertical direction. Indeed, complete mixing, and hence homogenity, is assumed (at least in the vertical direction). This study has shown that it is not the case for airborne particles, as well as for gases. With regard to gases, it was shown to be the case for carbon dioxide, but it is very likely that similar behavior is exhibited for the other inert and less inert trace gases. The vertical variation in concentration for airborne particles was greater than that for gases, as expected, given the more pronounced gravimetric effect on the former as compared to the latter.
This study also indicates that human activity has a direct effect on the vertical concentration gradient of indoor pollutants. Further investigation is warranted. This can be achieved by monitoring air quality and human activity, concurrently. One can seek a correlation between temporal variation in the vertical concentration profiles and human activity. The latter can be monitored through people counters and/or videoing. Such work will form part of the second phase of the project for which funds and research collaborators are currently being sought.
Another important issue that is worth investigating, and that was omitted in this study and discussion, is the intermitent inhalation of substantially polluted air in indoor environments. This is especially important in the case of the fine fraction of airborne particles, given the health implications. Such instantances do exist, as can be observed from the variation in concentration at any of the given levels considered in this study. Indeed, preliminary evidence of the said phenomenon can be gleaned from the error bars shown in Figure 1, Figure 2 and Figure 3.
There is no doubt that this study carries certain limitations. For a start, the monitoring campaigns were limited to three very specific (nonindustrial) microenvironments, and their duration was relatively short. The range of pollutants considered was limited to airborne particulates and carbon dioxide. Other pollutants of interest that are worth investigating include nitrogen oxides, sulfur dioxide, volatile organic compounds, and ozone (especially in the presence of photocopying machines and computer printers). Despite these limitations, this study contributes a novel dataset that may have implications for human health and can be pivotal for further research investigations.
It is the intention of the author to utilize the current preliminary study being reported here as a basis to investigate the spatial variation in the concentrations of various indoor and outdoor pollutants in a plethora of (industrial and nonindustrial) microenvironments, taking into consideration seasonal and diurnal variability, passive and forced ventilation, etc. This would constitute the second phase of the project. The third phase would involve modeling using computational fluid dynamics (utilizing specifically Ansys Fluent, Canonsburg, Pennsylvania, United States of America).
A combination of modeling and empirical results will most likely suffice to mobilize the relevant scientific community and regulatory bodies into appreciating the importance of considering the stratification of microenvironments when considering air quality, and not only when dealing with issues relating to human thermal comfort, as is currently the case.
Funding
This research received no external funding.
Institutional Review Board Statement
Not applicable.
Informed Consent Statement
Not applicable.
Data Availability Statement
The raw data supporting the conclusions of this article will be made available by the author on request.
Acknowledgments
The author acknowledges the assistance of Jesmond Debattista, Senior Laboratory Officer, within the Department of Physics, Faculty of Science, University of Malta, especially in the implementation of the circuit designs discussed in this research article, and the installation and running of the experimental setups used in the monitoring campaigns that spanned several weeks (in total), covering three (nonindustrial) indoor environments. This study was financed by the University of Malta, and forms part of the research effort of the newly set up Geosciences Observatory (Gozo), under the auspices of the Department of Geosciences, Faculty of Science, University of Malta.
Conflicts of Interest
The author declares that he has no known competing financial interests or personal relationships that could have appeared to influence the work reported in this research article.
References
- Manisalidis, I.; Stavropoulou, E.; Stavropoulos, A.; Bezirtzoglou, E. Environmental and health impacts of air pollution: A review. Front. Public Health 2020, 8, 14. [Google Scholar] [CrossRef] [PubMed]
- Klepeis, N.E.; Nelson, W.C.; Ott, W.R.; Robinson, J.P.; Tsang, A.M.; Switzer, P.; Behar, J.V.; Hern, S.C.; Engelmann, W.H. The National Human Activity Pattern Survey (NHAPS): A resource for assessing exposure to environmental pollutants. J. Expo. Sci. Environ. Epidemiol. 2001, 11, 231–252. [Google Scholar] [CrossRef] [PubMed]
- Minsi, Z.; Yu, S.; Xuhui, C. A health-based assessment of particulate air pollution in urban areas of Beijing in 2000–2004. Sci. Total Environ. 2007, 376, 100–108. [Google Scholar]
- Fromme, H.; Diemer, J.; Dietrich, S.; Cyrys, J.; Heinrich, J.; Lang, W.; Kiranoglu, M.; Twardella, D. Chemical and morphological properties of particulate matter (PM10, PM2.5) in school classrooms and outdoor air. Atmos. Environ. 2008, 42, 6597–6605. [Google Scholar] [CrossRef]
- Friedlander, S.K.; Lippmann, M. Revising the particulate ambient air quality standard. Environ. Sci. Technol. 1994, 28, 148A–150A. [Google Scholar] [CrossRef] [PubMed]
- Ott, W.R. Models of Human Exposure to Air Pollution; SIMS Technical Report Number 32; Stanford University, Department of Statistics: Stanford, CA, USA, 1980. [Google Scholar]
- Colls, J.J.; Micallef, A. Towards better human exposure estimates for setting of air quality standards. Atmos. Environ. 1997, 31, 4253–4254. [Google Scholar] [CrossRef]
- Micallef, A.; Colls, J.J. Variation in airborne particulate matter concentration over the first three meters from ground in a street canyon: Implications for human exposure. Atmos. Environ. 1998, 32, 3795–3799. [Google Scholar] [CrossRef]
- Micallef, A.; Deuchar, C.N.; Colls, J.J. Indoor and outdoor measurements of vertical concentration profiles of airborne particulate matter. Sci. Total Environ. 1998, 215, 209–216. [Google Scholar] [CrossRef] [PubMed]
- Micallef, A.; Caldwell, J.; Colls, J.J. The influence of human activity on the vertical distribution of airborne particle concentration in confined environments: Preliminary results. Indoor Air 2004, 8, 131–136. [Google Scholar] [CrossRef]
- Facchini, U.; Braga Marcazzan, G.M.; Baloszi, B.; Pasello, S.; Petriccioli, N.; Apadula, F. Study of vertical profile of particulate matter concentration and composition. J. Aerosol Sci. 1991, 22 (Suppl. S1), S665–S668. [Google Scholar] [CrossRef]
- Subinuer, A.; Yilin, C.; Guofeng, S.; Huizhong, S.; Jianmin, M.; Hefa, C.; Shu, T. Characterization of the Vertical Variation in Indoor PM2.5 in an Urban Apartment in China. Environ. Pollut. 2022, 308, 119652. [Google Scholar]
- Halek, F. Vertical profile of particulate matter concentrations in indoor air (Case study: Karaj, Iran). Part. Sci. Technol. 2015, 33, 617–620. [Google Scholar] [CrossRef]
- Cao, R.; Li, B.; Wang, H.-W.; Tao, S.; Peng, Z.-R.; He, H.-d. Vertical and Horizontal Profiles of Particulate Matter and Black Carbon Near Elevated Highways Based on Unmanned Aerial Vehicle Monitoring. Sustainability 2020, 12, 1204. [Google Scholar] [CrossRef]
- Renard, J.-B.; Michoud, V.; Giacomoni, J. Vertical Profiles of Pollution Particle Concentrations in the Boundary Layer above Paris (France) from the Optical Aerosol Counter LOAC Onboard a Touristic Balloon. Sensors 2020, 20, 1111. [Google Scholar] [CrossRef] [PubMed]
- Dubey, R.; Patra, A.K.; Nazneen. Vertical profile of particulate matter: A review of techniques and methods. Air Qual. Atmos. Health 2022, 15, 979–1010. [Google Scholar] [CrossRef]
- Micallef, A.; Deuchar, C.N.; Colls, J.J. Kinetic sequential sampling (KSS) system: An automated sampling system for measuring vertical concentration profiles of airborne particles. J. Air Waste Manag. Assoc. 1998, 48, 757–762. [Google Scholar] [CrossRef] [PubMed]
- Micallef, A.; Deuchar, C.N.; Colls, J.J. A system for measuring vertical concentration profiles of gaseous pollutants, using carbon dioxide as a case study. Int. J. Occup. Saf. Ergon. 1998, 4, 333–346. [Google Scholar] [CrossRef] [PubMed]
- Grimm Labortechnik Ltd. Manual for the Dust Monitor 1.104, 1.105, 1.106, 3rd ed.; Grimm Labortechnik Ltd.: Ainring, Germany, 1996. [Google Scholar]
Disclaimer/Publisher’s Note: The statements, opinions and data contained in all publications are solely those of the individual author(s) and contributor(s) and not of MDPI and/or the editor(s). MDPI and/or the editor(s) disclaim responsibility for any injury to people or property resulting from any ideas, methods, instructions or products referred to in the content. |
© 2024 by the author. Licensee MDPI, Basel, Switzerland. This article is an open access article distributed under the terms and conditions of the Creative Commons Attribution (CC BY) license (https://creativecommons.org/licenses/by/4.0/).








