Ensemble Negatively-Charged Nitrogen-Vacancy Centers in Type-Ib Diamond Created by High Fluence Electron Beam Irradiation
Abstract
:1. Introduction
2. Materials and Methods
3. Results
3.1. Irradiation Fluence Dependence of P1 Center Concentration
3.2. Irradiation Fluence Dependence of NV− Center Concentration
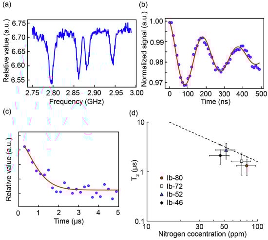
3.3. Coherence Time (T2) of Ensemble NV− Center
4. Discussion
5. Conclusions
Author Contributions
Funding
Data Availability Statement
Acknowledgments
Conflicts of Interest
References
- Abtew, T.A.; Sun, Y.Y.; Shih, B.; Dev, P.; Zhang, S.B.; Zhang, P. Dynamic Jahn-Teller effect in the NV− center in diamond. Phys. Rev. Lett. 2011, 107, 146403. [Google Scholar] [CrossRef] [Green Version]
- Dovesi, R.; Gentile, F.S.; Ferrari, A.M.; Pascale, F.; Salustro, S.; Arco, P.D.; Chimica, D.; Torino, U.; Giuria, V.P. On the models for the investigation of charged defects in solids: The case of the VN- defect in diamond. J. Phys. Chem. A 2019, 123, 4806–4815. [Google Scholar] [CrossRef] [PubMed]
- Barry, J.F.; Schloss, J.M.; Bauch, E.; Turner, M.J.; Hart, C.A.; Pham, L.M.; Walsworth, R.L. Sensitivity optimization for NV− diamond magnetometry. Rev. Mod. Phys. 2020, 92, 015004. [Google Scholar] [CrossRef]
- Hall, L.T.; Beart, G.C.G.; Thomas, E.A.; Simpson, D.A.; McGuinness, L.P.; Cole, J.H.; Manton, J.H.; Scholten, R.E.; Jelezko, F.; Wrachtrup, J.; et al. High spatial and temporal resolution wide-field imaging of neuron activity using quantum NV− diamond. Sci. Rep. 2012, 2, 401. [Google Scholar] [CrossRef] [PubMed] [Green Version]
- Kucsko, G.; Maurer, P.C.; Yao, N.Y.; Kubo, M.; Noh, H.J.; Lo, P.K.; Park, H.; Lukin, M.D. Nanometre-scale thermometry in a living cell. Nature 2013, 500, 54–58. [Google Scholar] [CrossRef]
- Fujisaku, T.; Tanabe, R.; Onoda, S.; Kubota, R.; Segawa, T.F.; So, F.T.-K.; Ohshima, T.; Hamachi, I.; Shirakawa, M.; Igarashi, R. pH nanosensor using electronic spins in diamond. ACS Nano 2019, 13, 11726–11732. [Google Scholar] [CrossRef] [PubMed]
- Igarashi, R.; Sugi, T.; Sotoma, S.; Genjo, T.; Kumiya, Y.; Walinda, E.; Ueno, H.; Ikeda, K.; Sumiya, H.; Tochio, H.; et al. Tracking the 3D rotational dynamics in nanoscopic biological systems. J. Am. Chem. Soc. 2020, 142, 7542–7554. [Google Scholar] [CrossRef]
- Crookes, W. Diamonds; Harper & Brothers: London, UK; New York, NY, USA, 1909. [Google Scholar]
- Campbell, B.; Mainwood, A. Radiation damage of diamond by electron and gamma irradiation. Phys. Status Solidi Appl. Res. 2000, 181, 99–107. [Google Scholar] [CrossRef]
- Acosta, V.M.; Bauch, E.; Ledbetter, M.P.; Santori, C.; Fu, K.M.C.; Barclay, P.E.; Beausoleil, R.G.; Linget, H.; Roch, J.F.; Treussart, F.; et al. Diamonds with a high density of nitrogen-vacancy centers for magnetometry applications. Phys. Rev. B 2009, 80, 115202. [Google Scholar] [CrossRef] [Green Version]
- Schwartz, J.; Michaelides, P.; Weis, C.D.; Schenkel, T. In situ optimization of co-implantation and substrate temperature conditions for nitrogen-vacancy center formation in single-crystal diamonds. New J. Phys. 2011, 13. [Google Scholar] [CrossRef]
- Botsoa, J.; Sauvage, T.; Adam, M.P.; Desgardin, P.; Leoni, E.; Courtois, B.; Treussart, F.; Barthe, M.F. Optimal conditions for NV-center formation in type-1b diamond studied using photoluminescence and positron annihilation spectroscopies. Phys. Rev. B 2011, 84, 125209. [Google Scholar] [CrossRef] [Green Version]
- Mindarava, Y.; Blinder, R.; Laube, C.; Knolle, W.; Abel, B.; Jentgens, C.; Isoya, J.; Scheuer, J.; Lang, J.; Schwartz, I.; et al. Efficient conversion of nitrogen to nitrogen-vacancy centers in diamond particles with high-temperature electron irradiation. Carbon N. Y. 2020, 170, 182–190. [Google Scholar] [CrossRef]
- Mita, Y. Change of absorption spectra in type-Ib diamond with heavy neutron irradiation. Phys. Rev. B 1996, 53, 11360–11364. [Google Scholar] [CrossRef] [PubMed]
- Collins, A.T. The Fermi level in diamond. J. Phys. Condens. Matter 2002, 14, 3743–3750. [Google Scholar] [CrossRef]
- Masuyama, Y.; Mizuno, K.; Ozawa, H.; Ishiwata, H.; Hatano, Y.; Ohshima, T.; Iwasaki, T.; Hatano, M. Extending coherence time of macro-scale diamond magnetometer by dynamical decoupling with coplanar waveguide resonator. Rev. Sci. Instrum. 2018, 89, 125007. [Google Scholar] [CrossRef] [PubMed]
- Liaugaudas, G.; Davies, G.; Suhling, K.; Khan, R.U.A.; Evans, D.J.F. Luminescence lifetimes of neutral nitrogen-vacancy centres in synthetic diamond containing nitrogen. J. Phys. Condens. Matter. 2012, 24, 435503. [Google Scholar] [CrossRef] [PubMed]
- Storteboom, J.; Dolan, P.; Castelletto, S.; Li, X.; Gu, M. Lifetime investigation of single nitrogen vacancy centres in nanodiamonds. Opt. Express 2015, 23, 11327–11333. [Google Scholar] [CrossRef]
- Smith, W.V.; Sorokin, P.P.; Gelles, I.L.; Lasher, G.J. Electron-spin resonance of nitrogen donors in diamond. Phys. Rev. 1959, 115, 1546–1552. [Google Scholar] [CrossRef]
- Cox, A.; Newton, M.E.; Baker, J.M. 13C, 14N and 15N ENDOR measurements on the single substitutional nitrogen centre (P1) in diamond. J. Phys. Condens. Matter 1994, 6, 551–563. [Google Scholar] [CrossRef]
- Manson, N.B.; Harrison, J.P. Photo-ionization of the nitrogen-vacancy center in diamond. Diam. Relat. Mater. 2005, 14, 1705–1710. [Google Scholar] [CrossRef]
- Shenderova, O.A.; Shames, A.I.; Nunn, N.A.; Torelli, M.D.; Vlasov, I.; Zaitsev, A. Review Article: Synthesis, properties, and applications of fluorescent diamond particles. J. Vac. Sci. Technol. B 2019, 37, 030802. [Google Scholar] [CrossRef] [Green Version]
- Bauch, E.; Singh, S.; Lee, J.; Hart, C.A.; Schloss, J.M.; Turner, M.J.; Barry, J.F.; Pham, L.M.; Bar-Gill, N.; Yelin, S.F.; et al. Decoherence of ensembles of nitrogen-vacancy centers in diamond. Phys. Rev. B 2020, 102, 134210. [Google Scholar] [CrossRef]
- Davies, G.; Lawson, S.C.; Collins, A.T.; Mainwood, A.; Sharp, S.J. Vacancy-related centers in diamond. Phys. Rev. B 1992, 46, 13157. [Google Scholar] [CrossRef] [PubMed]
- Edmonds, A.M.; D’Haenens-Johansson, U.F.S.; Cruddace, R.J.; Newton, M.E.; Fu, K.M.C.; Santori, C.; Beausoleil, R.G.; Twitchen, D.J.; Markham, M.L. Production of oriented nitrogen-vacancy color centers in synthetic diamond. Phys. Rev. B 2012, 86, 035201. [Google Scholar] [CrossRef] [Green Version]






Publisher’s Note: MDPI stays neutral with regard to jurisdictional claims in published maps and institutional affiliations. |
© 2021 by the authors. Licensee MDPI, Basel, Switzerland. This article is an open access article distributed under the terms and conditions of the Creative Commons Attribution (CC BY) license (https://creativecommons.org/licenses/by/4.0/).
Share and Cite
Ishii, S.; Saiki, S.; Onoda, S.; Masuyama, Y.; Abe, H.; Ohshima, T. Ensemble Negatively-Charged Nitrogen-Vacancy Centers in Type-Ib Diamond Created by High Fluence Electron Beam Irradiation. Quantum Beam Sci. 2022, 6, 2. https://doi.org/10.3390/qubs6010002
Ishii S, Saiki S, Onoda S, Masuyama Y, Abe H, Ohshima T. Ensemble Negatively-Charged Nitrogen-Vacancy Centers in Type-Ib Diamond Created by High Fluence Electron Beam Irradiation. Quantum Beam Science. 2022; 6(1):2. https://doi.org/10.3390/qubs6010002
Chicago/Turabian StyleIshii, Shuya, Seiichi Saiki, Shinobu Onoda, Yuta Masuyama, Hiroshi Abe, and Takeshi Ohshima. 2022. "Ensemble Negatively-Charged Nitrogen-Vacancy Centers in Type-Ib Diamond Created by High Fluence Electron Beam Irradiation" Quantum Beam Science 6, no. 1: 2. https://doi.org/10.3390/qubs6010002
APA StyleIshii, S., Saiki, S., Onoda, S., Masuyama, Y., Abe, H., & Ohshima, T. (2022). Ensemble Negatively-Charged Nitrogen-Vacancy Centers in Type-Ib Diamond Created by High Fluence Electron Beam Irradiation. Quantum Beam Science, 6(1), 2. https://doi.org/10.3390/qubs6010002

