Next Article in Journal / Special Issue
Dosimetric Study of Flattened Versus Unflattened Filter-Free Medical Linear Accelerator: Experimental Measurements and Monte Carlo Calculations
Previous Article in Journal
Piecewise Linear Approximation of Elliptical Neutron Guides—A Case Study for BIFROST at ESS
Previous Article in Special Issue
Microstructural Analysis, Compressive Strength, and Wear Properties of Spark-Plasma-Sintered Al–Mg–PPA Composites
 
 
Font Type:
Arial Georgia Verdana
Font Size:
Aa Aa Aa
Line Spacing:
Column Width:
Background:
Review

Intensity Enhancement and Q-Range Extension in Pinhole SANS Instruments with Neutron Focusing Lenses

Forschungszentrum Jülich GmbH, Jülich Centre for Neutron Science, Lichtenbergstr. 1, 85748 Garching, Germany
Quantum Beam Sci. 2025, 9(1), 6; https://doi.org/10.3390/qubs9010006
Submission received: 24 December 2024 / Revised: 17 January 2025 / Accepted: 10 February 2025 / Published: 12 February 2025
(This article belongs to the Special Issue Quantum Beam Science: Feature Papers 2024)

Abstract

Soft matter and biological materials are characterized by a complex morphology consisting of multiple structural levels that are either hierarchically organized or coexist over a length scale from a few Å up to the size of µm. For a structural characterization of such morphologies, an extended Q-range must be covered in X-ray and neutron scattering experiments. Neutrons offer the unique advantage of contrast variation and matching by D-labeling, which is of great value for the characterization of hydrocarbon systems, which are essentially the constituents of soft matter and biological materials. The combination of ultra- and small-angle neutron scattering techniques (USANS and SANS) on complementary beamlines has long been used for such experimental investigations. However, the combined use of USANS and SANS methods at the same beamline for simultaneous acquisition of scattering data over a wide Q-range is necessary when working with sensitive or expensive samples that require special preparation or in situ treatment during the structural characterization. For this reason, several pinhole SANS instruments have been equipped with focusing lenses to allow additional measurements at lower Q values, in the USANS range. The use of neutron lenses has the additional advantage of enhancing the intensity on the sample by providing the ability to work with larger samples while maintaining the same resolution as in pinhole mode. The experimental approach for using neutron lenses to enhance the intensity and extend the Q-range to lower values than in pinhole mode is presented using examples from studies on the pinhole SANS diffractometers equipped with focusing lenses.

Graphical Abstract

1. Introduction

Soft matter and biological systems such as polymer assemblies or blends, gels, semi-crystalline polymer membranes and polymer–protein or lipid–protein complexes are characterized by a complex morphology consisting of multiple structural levels that are either hierarchically organized or coexist over a length scale from a few Å up to the size of µm. Due to the very broad scale of relevant size levels, the experimental characterization of the structural properties of such materials under specific composition, preparation and treatment conditions is a major challenge. Scattering techniques with neutrons play an important role in such investigations [1]. Neutrons interact with matter via short-range nuclear interactions and, therefore, see the nuclei in a sample rather than the diffuse electron cloud observed with X-rays. The scattering length of the nuclei vary randomly in the periodic table and, therefore, unlike X-rays, neutrons are able to “see” light atoms in the presence of heavier ones and distinguish neighboring elements more easily. Isotopic labeling in the labs allows neutrons to highlight structural and dynamic details in a complex multicomponent sample as neutrons can distinguish between isotopes of the same element. This is particularly useful when studying biological and soft materials using deuterium labeling as the cross section between the isotopes of hydrogen, protium 1H and deuterium 2H is very different.
The structural features of such complex morphologies can be characterized on the mesoscale—i.e., between a few nm and 100 nm—by the small-angle neutron scattering (SANS) method. The aim of a SANS experiment is to determine the shape, size and organization of particles or aggregates dispersed in a continuous medium as a time average. Neutron scattering experiments act in reciprocal space and measure the number of neutrons scattered at different values of the momentum and energy, which are transferred to the neutrons, Q and w. Considering only the elastic scattering, the information in the SANS experiments is contained in the neutron intensity recorded on a two-dimensional position-sensitive detector as a function of scattering angle q, which, after all corrections and calibrations related to the used method are applied, is presented as a function of the magnitude of the scattering vector Q:
Q = 4 π λ   s i n   θ 2
where λ is the wavelength of the neutron. Q acts as a kind of inverse scale: large Q values relate to short distances, while a small Q relates to large objects in real space [1]. Thus, a distinguishing feature of a SANS instrument is the Q-range it can cover, i.e., the scale of lengths that can be characterized with the instrument in real space.
Pinhole SANS diffractometers are the classical instruments of this type. The schematic mode of operation of such a SANS diffractometer is shown in Figure 1A, as described in [2,3] for the SANS diffractometer KWS-2 of the Jülich Centre of Neutron Science (JCNS) at the Heinz Maier-Leibnitz Zentrum (MLZ), Garching, Germany. Therefore, a classical pinhole SANS instrument is equipped with several AC collimation apertures and one AS sample aperture, each of which has a variable opening of up to several centimeters, and they are arranged in evacuated channels over lengths of typically 20 m. The divergence and size of the beam on the sample to achieve the required Q resolution and, hence, the minimum detectable scattering angle qm on the detector, which can be positioned at a variable distance LD after the sample, is determined by the appropriate choice of collimation length LC between the different ACs and the fixed position AS. For LC = LD and the optimum pinhole condition AC = 2AS, the direct beam profile IP at the detector is approximately triangular with a base width of 2AC. With the combination of (i) a low beam divergence, i.e., the ability to detect neutrons scattered at small angles around a beam stop that masks the beam transmitted through the sample, and (ii) a relatively high beam intensity achieved by using large beam dimensions (up to several cm), in conjunction with a relatively high wavelength distribution and thus low instrumental resolution (typically Δλ/λ = 10%, as defined by the velocity selector with/without an active chopper at the entrance of the collimation system), a pinhole SANS diffractometer can cover a wide Q-range by combining measurements under different λ/LC/LD conditions [2,3,4,5,6]. The typical Q-range for a pinhole SANS instrument, which is covered by the combination of different wavelengths λ between 3 Å and 10 Å and a detection distance LD between 1 m and 20 m after the sample (Figure 1A), is between 0.001 Å−1 and 1.0 Å−1. Longer wavelengths, up to λ = 20 Å or a longer LD up to 40 m, are also possible, extending the Q-range by a factor of 2 towards lower values, but under very demanding conditions where data quality and experiment time are strongly influenced by gravitational effects and technical requirements (detector movement, construction and maintenance costs, etc.). Therefore, structural features with sizes between a couple of nm and 100 nm are usually analyzed with a pinhole SANS instrument. To complete the structural analysis with information from the sub-nm length range and/or the large-scale range towards µm, SANS is usually combined with neutron diffraction (ND)/wide-angle neutron scattering (WANS) and ultra-SANS (USANS), which implies that different beam lines should be used in the same study.
There have been a large number of studies on soft matter and biological systems performed with USANS/SANS/ND (WANS) with extended Q-range combining different neutron scattering instruments, e.g., on polymer thermoreversible gels [7,8,9,10,11] or aerogels [12,13], semi-crystalline polymers [1,14,15,16,17,18,19,20,21], rubber [22,23,24], food [25,26,27,28] or biological systems [29,30,31,32,33]. However, the use of various neutron scattering methods on different beamlines also has disadvantages, which in some cases hinder optimal and reliable data acquisition, analysis and interpretation. For example, USANS, SANS and ND or WANS are not always available at the same neutron source. Furthermore, these experiments cannot always be timed closely enough to allow the same sample to be used for structural analysis over the desired broad length scale. Neutron scattering experiments are performed at large facilities that are sometimes shut down suddenly and for extended periods of time, creating additional difficulties for reliable characterization using various scattering methods on the same system. In addition, sensitive or expensive samples require special attention to sample preparation (composition, quality, quantity, etc.), preservation and transportation or on-site treatment (temperature, humidity, chemical condition, etc.) to ensure reproducible sample conditions for the good performance of experiments at different beamlines. In such cases, the simultaneous use of different scattering methods at the same beamline is necessary, as has been shown in the case of using X-ray scattering methods over an extended Q-range [34,35]. Thus, in order to be able to analyze a broad size scale between one nm and one µm with the same pinhole SANS diffractometer, several such instruments have been equipped with focusing lenses [2,3,4,5,6,36,37] to allow additional measurements at lower Q values, in the USANS range, and with wide-angle detectors [38,39] to cover higher Q values, in the ND/WANS range. WANS and SANS can also be performed simultaneously, i.e., optimally and conveniently in one measurement session, with time-of-flight (TOF) SANS diffractometers at steady-state (reactors) or pulsed (spallation) neutron sources. Such instruments use a broad neutron wavelength band and a large number of detectors, either movable [40,41,42] or mounted at fixed positions [43,44,45], to simultaneously cover a large angular range in scattering and, hence, a wide Q-range at once. Until recently, however, no TOF-SANS instrument used at research reactors or spallation sources could cover a wide Q-range down to such low Q values as the pinhole SANS instruments equipped with focusing lenses and a secondary high-resolution detector (HRD). Only recently, the Multi-Slit Very Small Angle Neutron Scattering (MS-VSANS) at the China Spallation Neutron Source (CSNS), Dongguan, People’s Republic of China, was put into operation [46], which resulted in the MS-VSANS instrument being able to compete with the pinhole SANS instruments with lenses in terms of achieving Qm ≈ 0.0001 Å−1; however, this was with complications associated with measurement in the slit geometry.
The focusing of cold neutrons with several lenses was first proposed in [47]: with biconcave MgF2 lenses, the Q-range on a SANS pinhole instrument was extended down to ~0.004 Å−1. As described in detail in [48], the refractive index for cold neutrons is less than one, which is why neutron lenses must be concave. Several elements and isotopes suitable for neutron optics are listed in [48], where materials such as MgF2, BeO or crystalline CO2 are discussed as potentially suitable for neutron lenses. Compared to other materials, MgF2 is relatively readily available, cheaper and easy to process. The focal length of such a lens is usually very long, about 100–200 m. Therefore, for a SANS instrument, which typically has a detection length of 15–20 m, several such lenses should be used in series, depending on the used neutron wavelength λ. The working principle of a high-resolution (low Q) focusing mode at a pinhole SANS diffractometer using lenses is shown in Figure 1C, as operational at the KWS-2 instrument [2,3]. Generally, MgF2 neutron lenses are focusing the image of a small entrance aperture AC, placed on one focal point of the lens system (focusing distance L1), on the detector that is placed on the other focal point of the lenses (focusing distance L2). Hence, working with a small entrance aperture AC and with a high-resolution detector (HRD), neutrons scattered at much lower scattering angles qm can be detected, thus providing optimal conditions for reaching a lower value for the minimum wave vector transfer Qm than in conventional pinhole mode. The placement of the focusing lenses in front of the sample aperture requires that for fulfilling the focusing conditions, the detector should be used at slightly lower LDs as in the pinhole mode.
At this point, it should be mentioned that in the 1990s, reflection optics with mirrors in grazing incidence were also considered for focusing SANS instruments. However, to enable reliable measurements, a very high-quality mirror reflection surface must be provided, which has not been achieved in most of the attempts. The only mirror-focusing SANS instrument in operation today, which complements with great success the classical pinhole SANS diffractometers with lower Q-value data, is the KWS-3 f-SANS instrument of the JCNS in Garching, Germany [49]. The instrument employs a highly polished Zerodur glass double-focusing toroidal mirror (Carl Zeiss Laser Optics GmbH, Oberkochen, Germany) coated with 800 Å 65Cu (refractive index for neutrons n = 0.9979, with a critical angle θc = 3.7° for λ = 12 Å) and protected with a 100 Å Al coating, a technology developed in the 1990s for the ROSAT X-ray telescope [50]. The roughness of the mirror surface (rms) after coating is less than 3 Å. The instrument offers a successful alternative to lens focusing at pinhole SANS diffractometers, with the advantage of avoiding gravitational effects that occur when focusing with highly chromatic lenses when a wide Δλ/λ is used, but with disadvantages in some cases in terms of sample transmission and intensity due to the long wavelength used, λ = 12 Å. Recently, the option of focusing by grazing incidence has again attracted much attention [51] by considering the use of asymmetric Wolter mirrors. Several instruments based on this principle are currently being proposed [52,53], all of which involve the use of longer wavelengths λ than the classical pinhole SANS.
Another advantage of using neutron lenses, especially aspherical lenses to avoid geometric aberrations, was demonstrated for SANS in [54]: by using lenses, the intensity on the sample can be enhanced, as a larger sample size can be used while maintaining the same resolution as the pinhole mode, as shown in Figure 1B. The lenses should be cooled at about 77 K to increase their transmission by suppressing the phonon scattering in the lens material. By now, four pinhole SANS instruments worldwide have been equipped with MgF2 lenses and a scintillation HRD based on one photomultiplier (Hammamatsu Photonics, Hamamatsu, Japan) [2,3,4,5,6] or an 6LiF scintillator [37] with a resolution of 1 mm to make optimal use of the focusing mode for routine measurements in combination with the pinhole mode at the same beamline: KWS-2, operated by the Jülich Centre for Neutron Science at the Heinz Maier-Leibnitz Zentrum, Garching, Germany [2,3]; SANS-J, operated by the Japan Atomic Energy Agency at the JRR-3 reactor, Tokai, Japan [4,6]; SANS-U, operated by the University of Tokyo at the JRR-3 reactor, Tokai, Japan [5]; and VSANS at the National Institute of Standards and Technology (NIST, Gaithesburg, MD, USA) [37,55]. Only the SANS diffractometer KWS-2 [2,3,39] is equipped with large parabolic MgF2 lenses (5 cm diameter) kept cold at 77K, which enables the two functions shown in Figure 1B,C to be routinely used with a very high profit: (i) enhancement of the intensity on the sample at the same resolution as in pinhole SANS (Qm ~ 10−3 Å−1) using large sample sizes (up to 5 cm diameter) and (ii) extension of the Q-range down to ~10−4 Å−1. Three packs of lenses (4, 6 or 10 lenses), for focusing neutrons of different wavelengths when grouped together appropriately, are installed on separate carriages, which can be moved in and out of the beam in a controlled manner in a special evacuated chamber in front of the sample aperture to prevent condensation of water on the lenses during cooling. Evacuation is provided by a vacuum pump that exclusively supplies the lens chamber, while cooling is provided by a cold head (VeriCold Technologies GmbH, Ismaning, Germany) driven by a Coolpak compressor (Leybold GmbH, Aschheim, Germany), with the cold being transferred to the lens packs via cooling rails attached to the outer sides of the lenses. Nitrogen atmosphere is used to reset the chamber to room temperature and ventilate it.
In this review, the experimental approach for the use of neutron lenses to enhance the intensity and extend the Q-range to lower values than in pinhole mode is presented using examples from studies on the SANS diffractometers KWS-2 and SANS-J [56,57,58,59,60].

2. Enhanced Intensity Using Focusing Lenses at Pinhole SANS Diffractometers

The KWS-2 SANS diffractometer is equipped with 26 MgF2 parabolic lenses with a diameter of Φ = 5 cm. To focus monochromatic beams of different wavelength l, as defined by the collimation aperture AC onto the detector positioned at LD (Figure 1B,C), a different number of lenses is required for different l values. Thus, four lenses are used for λ = 17.5 Å, ten lenses for λ = 10 Å and twenty-six lenses for λ = 7 Å. The neutron transmission of lenses is influenced by processes such as neutron absorption and scattering on the lens material. To minimize the scattering, which is mainly caused by thermal vibrations in the lens material (phonons), the lenses must be cooled to 77 K [54]. With a collimation aperture AC of 50 mm × 50 mm at a collimation length LC = 20 m (Figure 1B), the lenses can focus a direct beam spot of the same size as in the pinhole SANS method (Figure 1A) onto the main SANS detector, so that the same resolution (Qm) as in pinhole SANS can be achieved (Figure 1B). For ideal focusing, the condition L1 = L2 should be fulfilled (Figure 1B,C), although L2 < L1 may also work with the appropriate adjustment of the source image, namely, the size of the collimation aperture AC. The advantage of using this setup is that due to the possibility of using a large sample area, the intensity on the sample can be enhanced compared to that used in pinhole geometry.
Figure 2 shows the scattering patterns of spherical polystyrene particles with a radius of Rsph = 150 Å in D2O-H2O solution, measured at KWS-2 [2] in pinhole mode with the sample aperture AS size of 10 mm × 10 mm (Figure 1A) and in the enhanced intensity mode with lenses and different sample aperture size AS—ranging between 10 mm × 10 mm and 30 mm × 30 mm in square and a diameter of 50 mm in round shapes (Figure 1B). Using 26 lenses with neutrons of wavelength λ = 7 Å, an intensity gain on the sample of up to about twelve times is achieved by increasing the beam size on the sample (Figure 2A), while the beam size (the Qm resolution) on the detector remains constant, as shown in Figure 2B,C. The two-dimensional (2D) scattering patterns (Figure 2B,C) are corrected for the contribution of the empty cuvette and normalized to the monitor of the incident monochromatic beam, while the one-dimensional (1D) scattering profiles (Figure 2A) are obtained by radial averaging of the 2D scattering patterns. The intensity enhancement factor can be easily estimated by comparing the scattering levels of the plateau observed at low Q in all scattering patterns. This factor includes the transmission of the ensemble of 27 lenses kept cold at 77 K, i.e., Trlenses = 61% when the entire lens area is used, which was estimated with the transmission monitor placed in the middle of the beam-stop [2,3]. It should be noted that the transmission of the entire set of lenses in the cold state is about twice as high as the transmission of lenses used at RT [54], which is due to the suppression of scattering from phonons in the lens material.
The use of focusing lenses to enhance the intensity on the sample by increasing the beam size on the sample, i.e., the sample size, is of great advantage for measurements at low Q on weakly scattering samples, such as in the case of very dilute particle solutions or studies of low-contrast conditions or around the matching point of a labeled component in a multicomponent system by using deuterated and hydrogenated solvents in different ratios. In this case, enhancing the intensity by using larger samples helps to perform measurements with normal acquisition time and improved statistics compared to the standard setup. One should also mention that soft matter samples such as polymers, colloids, gels and some biological samples such as phospholipids are usually available in large quantities to enable such studies. One example is the study of contrast variation experiments on bovine serum albumin (BSA)-coated gold nanoparticles (GNP) exposed to simulated water effluent (SSE) to study mineralization in wastewater desalination plants [56]. Solutions of 1/1 BSA-GNPs/SSE with different degrees of deuteration of the SSE-D2O content—namely, 0%, 30%, 50%, 70% and 100%—were investigated. Since the particles were only stable for a short time, the weak scattering by the mineralized GNPs was overcome in the contrast variation experiment by enhancing the neutron intensity on the sample using 10 focusing lenses at KWS-2 with λ = 10 Å and a sample size of 5 cm in diameter, which allowed data acquisition of about 30 min with very good statistics in all contrast conditions. The corresponding data are shown in Figure 3A,B. Analysis of the scattering patterns (Figure 3A) resulted in a mean radius of gyration Rg in the order of 103 Å and a Q−3 power law behavior of the scattering intensity at low Q. Plotting the amplitude of the power law against the SSE-D2O content (Figure 3B) results in a scattering minimum at 61%, which corresponds to a matching composition of the SSE solution. It should be noted that the total scattering at the matching point is not zero, since the inner part of the particles is not homogeneous, i.e., it represents a composite of BSA and GNP, as described in detail in [56].

3. Extended Q-Range Using Focusing Lenses at Pinhole SANS Diffractometers

Neutron lenses can be used to focus the beam transmitted through the sample to a smaller spot size and collect neutrons on an HRD, which are scattered at much smaller angles than in the classical pinhole configuration, as shown in Figure 1C. The KWS-2, SANS-J and SANS-U diffractometers all use a scintillation detector with a single photomultiplier as the HRD (Hammamatsu Photonics, Hamamatsu, Japan). Biological samples or polymer gels require special attention during preparation and treatment in the beam, where either the gelation process or the change in composition (contrast or rapid mixing of different components) must be carefully monitored.
Complex morphologies formed by mixing proteins with lipid molecules or charged polymers in buffer solutions are of great interest for understanding the cooperative interaction of different components of such systems. Such morphologies consist of several structural units whose size ratios are distributed over a large length scale. The combination of SANS and USANS, complemented by microscopic observations, is the way to fully characterize such morphologies and to understand the interaction between different components at different compositions, temperatures and pH values, which are relevant for potential applications in drug delivery or in elucidating the causes of various diseases. Since the composition of such samples should sometimes be changed in the beam to follow different effects, performing SANS and USANS on the same beamline is of great advantage in these cases.
The myelin basic protein (MBP) and its interaction with the lipids of the myelin sheath play an important role in the pathology of multiple sclerosis (MS). The myelin sheath is a multilamellar membrane consisting of lipids and proteins that coats the axons of neurons. It plays an important role in neuronal signal conduction, as it is the insulating layer that enables rapid signal transport over long distances in the white matter of the brain by reducing conduction losses. Various diseases and conditions, such as MS, damage or destroy myelin. SANS/USANS and SAXS studies on the association of MBP with lipid membranes can shed light on the molecular origin of structure formation and structural instabilities in biosynthetic model lipid membranes with native and disease-like lipid composition and their mechanism of interaction with MBP [59,61]. Figure 4A,B show scattering patterns recorded at room temperature over the entire Q-range available at KWS-2, combining the pinhole and focusing modes of a sample consisting of a mixture of lipid molecules forming unilamellar vesicles (ULV) in a D2O buffer solution (Figure 4A). These exhibit adhesion (docking) effects when MBP is added to the solution (Figure 4B), resulting in vesicle assemblies and multilamellar domains, as is nicely shown in the cryo-TEM image in Figure 4B [39]. Mixtures of lipid molecules mimicking native healthy and diseased myelin membranes were studied, with a selected case of the healthy composition study reported here. Details of the sample composition and preparation protocols can be found in [58]. Small-angle neutron scattering (SANS) was measured using the SANS diffractometer KWS-2 with conventional pinhole and high-resolution (low Q) focusing lens modes. The experimental conditions are described in detail in [39], while in Figure 4A,B, data measured under different λ, LD conditions or instrument operating mode are represented by different colored symbols. ULVs are formed by the mixture of lipid molecules in solution (Figure 4A), whereby no traces of vesicle aggregation were observed even at higher lipid concentrations in the solution [59]. From the interpretation of the SANS results with the vesicle form factor (red curve in Figure 4A), the vesicle size Rves ≈ 550 Å and the thickness of the bilayer dves ≈ 35 Å were obtained. In contrast to the case of lipids alone in the solution, with MBP (Figure 4B), the Guinier regime (the leveling off of the scattering intensity towards low Q) was observed at a Q about one order of magnitude lower compared to the protein-free solution case (Figure 4A). The addition of MBP to the lipid solution, therefore, results in much larger morphologies. Additional scattering features at medium and high Q were also observed, such as the broad maxima indicated by the vertical arrows in Figure 4B. The scattering features observed in Figure 4B were better understood by analyzing the Cro-TEM micrographs of the same solution. The large-scale aggregates represent the vesicle assemblies mediated by the MBP; the hump at medium Q refers to the form factor detail of individual and assembled vesicles that can still be easily recognized in the micrographs; while the broad maximum at high Q is due to correlation effects caused by the local multilamellar character of the morphology, where two vesicles come into contact with each other. The scattering data were well described (red curve in Figure 4B) by a combination of single and clustering ULVs (blue line), as described in [62], combined with a Beaucage form factor [63] of the large-scale aggregates. Details of the analysis are described in [39].
The co-assembly of polyelectrolytes (PE) with proteins offers a promising approach for the development of complex structures with customizable morphology, charge distribution and stability for the targeted delivery of drugs in various therapeutic applications. Such nanocarriers are fabricated from biocompatible and biodegradable materials to minimize potential toxicity and ensure safe delivery in biological systems. In [60], the morphology formed by the co-assembly of insulin/polyelectrolyte complexes and the potential for controlled release were investigated to assess their suitability for the further development of targeted drug delivery systems. The complexation of insulin with a biocompatible diblock copolymer consisting of a weak polycation poly(N,N-dimethylaminoethyl methacrylate), DMA, or a strong polycation poly(N,N,N-trimethylammonioethyl methacrylate), QDMA, and a novel hydrophilic poly(ethylene oxide) block, EO, was investigated at different pH values. The detailed SANS and SAXS characterization of the complexes, complemented by cryo-TEM and a variety of laboratory analytical techniques, was reported in [60]. In D2O buffer, interconnected network-like structures of elongated and worm-like particles were formed at higher insulin concentration, as shown by USAXS and USANS. Surprisingly, only spherical or elongated particles were observed in H2O, which showed no networking behavior. This effect was attributed to the different conformational behavior of the EO block in D2O compared to H2O, which is due to the stronger hydrogen bonding between the D2O molecules and, thus, the weaker hydrogen bonding between EO and D2O as well as the stronger inter- and intramolecular hydrogen bonding between the EO segments [60]. Figure 5 shows the scattering patterns of a sample containing the diblock copolymer with a weak PE block (EO9-DMA6) at 5 mg/mL and insulin at 20 mg/mL in D2O at pH = 7.4.
The data were collected with the SANS-J diffractometer in the Q-range covered by the use of neutron lenses. The data shown with yellow symbols were measured with lenses in the enhanced intensity mode, while the scattering pattern shown with the blue symbols was collected in the USANS mode of the instrument. Lenses of 70 MgF2 with a size that allows a maximum beam size of Φ = 15 mm diameter are used on the SANS-J with λ = 6.5 Å neutrons in both enhanced intensity mode (as in Figure 1B) and extended Q-range mode (as in Figure 1C) [4,6]. Thus, measurements can be performed with lenses at LD = 10 m using the main detector [64] with an intensity gain factor of 2.7 on the sample compared to the standard beam size of Φ = 8 mm used with SANS-J in pinhole mode. If a smaller collimation entrance aperture at LC = 10 m is used in combination with the HRD detector at LD = 10 m, a Qm = 0.0002 Å−1 may be achieved, similar to the SANS diffractometer KWS-2. The scattering patterns in Figure 5 exhibit varying power-law behavior at different Q scales. One-dimensional protein–polymer complexes appear to form at the mesoscale, which behave as semi-flexible worm-like objects at a larger length scale, leading to the formation of a network-like arrangement with a mass fractal aspect and characteristic sizes in the µm range. The main structural levels that can be identified from the change in slope observed in the scattering profile are indicated in the figure. The qualitative interpretation and model description of the scattering data in Figure 5 are supported by cryo-TEM observations (Figure 6), which also reveal this structural organization on a broad length scale: at µm—an ensemble of network-like assemblies (Figure 6, left panel), consisting of associations of worm-like aggregates with sizes of several hundred nm and a local one-dimensional aspect (Figure 6, right panel). The SANS-USANS data were modeled using the unified equation of Beaucage [63], considering three structural levels: (i) the semi-flexible worm-like morphology (~Q−5/3) with the size defined by the radius of gyration Rg3; (ii) the local 1D aspect (~Q−1) of the worm-like morphologies with the characteristic sizes Rg2 and Rg1; and (iii) the large-scale ensemble of network-like aggregates (~Q−3.5) with the characteristic size RgLS. The model interpretation describes the experimental data very well (red curve in Figure 7) and provides the size parameters: RgLS = 12550 ± 125 Å, Rg3 = 612 ± 15 Å, Rg2 = 338 ± 16 Å and Rg1 = 130 ± 10 Å. The most important structures identified and characterized by SANS are shown in Figure 5 by the blue (large ensemble of network-forming, worm-like aggregates) and black curves (the worm-like aggregates). It should be noted that the structure levels Rg2 and Rg3 quantitatively agree quite well with the Lcyl ≈ 100 nm and dcyl ≈ 10 nm estimated from the micrographs. A detailed analysis of the local scale units of this morphology at different concentration and pH conditions is reported in [60].
Thermo-responsible gels of semi-crystalline polymers are characterized by three-dimensional networks on a large length scale of µm size, which are formed by cross-linking smaller structural units, either crystalline lamellae or fibrils, and can include large volume fractions of solvents. The scattering patterns of such morphologies exhibit features that can be observed over an extended Q-range. Thus, the crystalline peaks, which are due to ordered crystalline planes in the lamellae or fibrils, appear in the scattering patterns collected at very high Q in the ND or XRD (X-ray diffraction) regimes. The lamellar or fibrillar form factors and the interlamellar or interfibrillar correlation peaks are revealed in the SANS or SAXS Q-range, while the scattering profile and the Guinier regime of the large-scale associations of the lamellae or fibrils in networks can be studied with either USAXS or USANS. Highly porous aerogels, in which the morphology of the wet gel is retained, can be produced by controlled removal of the solvent. Such aerogels are used in insulation, separation and filtration processes in many applications. A major problem in the production of aerogels is the preservation of the high porosity and the specific morphology of the wet precursor gel, which cannot be achieved by simply removing the solvent by evaporation. Therefore, the thorough characterization of the aerogels is important to evaluate the efficiency of solvent removal and the production of materials with the desired application properties.
Talley et al. [58] prepared poly(ether ether ketone) aerogels after supercritical CO2 solvent extraction (SC drying) of precursor gels prepared in either dichloroacetic acid (DCA) or 4-chlorophenol (4CP). Figure 7 shows microscopic images of these aerogels obtained by field emission scanning electron microscopy (FE-SEM). The features of the semi-crystalline morphology of the wet gels appear to be preserved, with stacked crystalline lamellae that appear to be much more defined in the SC-dried PEEK/4CP aerogels than in the SC-dried PEEK/DCA aerogels. Ultra-small angle X-ray scattering (USAXS)/small angle X-ray scattering (SAXS)/wide angle X-ray scattering (WAXS) analysis (Figure 8A) revealed a hierarchical morphology of the PEEK aerogels with structural features ranging from PEEK crystallites to agglomerates of stacked lamellae spanning a wide range of length scales. However, SAXS cannot clearly resolve the exact nature of the structural level at the mesoscale, which appears as a broad shoulder-like scattering feature at about Q ≈ 0.04 Å−1.
SANS and USANS experiments at KWS-2, combining pinhole and high-resolution (low-Q) lens focusing modes, provided the unique opportunity to apply contrast variations and confirmed that the morphological origin of this scattering feature of PEEK aerogels is stacked crystalline lamellae (Figure 8B). The SANS experiments were performed on PEEK aerogels in which the DCA gelling solvent was replaced with either pure H2O, pure D2O or a 51.4:48.6 (v/v) mixture of H2O and D2O chosen to match the scattering length density SLD of crystalline PEEK (SLD = 2.71 Å × 1010 cm−2) [58]. As noted, the broad shoulder in the SANS Q region vanishes for this contrast condition. Thus, the SANS contrast variation confirmed the correspondence of the scattering length density (SLD) between the liquid matrix and the crystalline PEEK lamellae and provided conclusive evidence that the scattering maximum near Q ≈ 0.04 Å−1 is due to the lamellar morphology of the gels.
Kaneko et al. [57] investigated the gelation of syndiotactic polystyrene (sPS) in tetrahydrofuran (THF) in the presence of high-molecular-weight poly(ethylene glycol) dimethyl ether (PEGDME) using contrast-matching SANS complemented by in situ FTIR. Contrast-matching SANS was used to distinguish the behavior of each polymer during the transition from the single-coil conformation at high temperature to the gel state at low temperature (10 °C), as described in detail in [57], and to be able to capture the scattering contribution of each polymer species. Therefore, each polymer species was used alternately in the deuterated state to contrast-match its scattering, while the solvent always remained deuterated. After joint SANS and FTIR analysis of each sample, sPS changes from the amorphous coil conformation to the crystalline helical TTGG conformation when the gelation point is passed towards a lower temperature, forming a gel characterized by fibrillar morphologies on a mesoscale with a local 2D aspect evolving into a three-dimensional network on a large length scale. In contrast to sPS, analysis of PEGDME SANS scattering patterns collected over an extended Q-range at KWS-2 down to Qm = 0.0002 Å−1 and FTIR spectra showed that the PEGDME remains in amorphous conformation over the entire temperature range and transitions from the amorphous coil to an elongated amorphous conformation. It was hypothesized that this behavior is driven by the evolution of the sPS and that PEGDME integrates with the sPS into the fibrillar morphology during the gelation process.
The scattering pattern of PEG alone in THF solution at 10 °C shows that the polymer forms a three-dimensional network of crystalline lamellae during its gelation, which resembles the morphology of a “house of cards”. The interlamellar correlation peaks observed in Figure 9, especially in the Kratky plot of the scattering data, are indicative of this morphology. Unlike this, the interpretation of the scattering patterns in the presence of sPS suggests a smaller and softer PEGDME morphology. It is clear that PEGDME follows the structural behavior of sPS and co-assembles with it to form common fibrils (Q−1 behavior of scattering intensity at medium Q in Figure 9) with a localized 2D aspect (Q−2 profile at higher Q). In addition, the lens focusing data suggest that PEGDME is also involved in the large-scale gel structure of sPS, which leads to stronger scattering at very low Q.
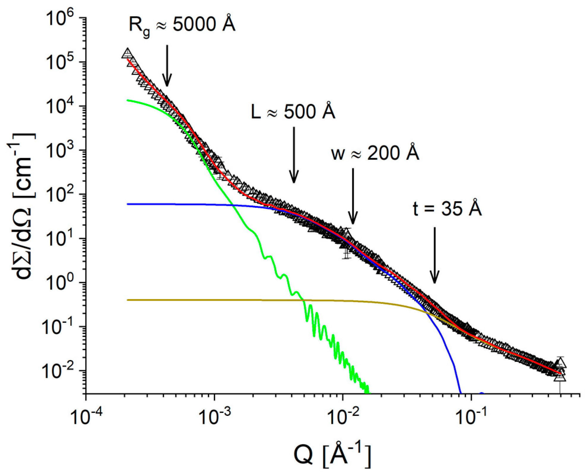
A model interpretation of the scattering pattern for medium and high Q values [57] in terms of a superposition of the form factor of a long and narrow parallelepiped [65] with the characteristic sizes t (thickness), w (width) and L (length) to describe the fibril-like polymer arrangements, with the semi-flexible coil form factor [66] at high Q, which is due to amorphous polymer segments emerging from the co-assemblies or still in solution, can thus be refined by adding a spherical form factor (with polydispersity in size [67], σR ≈ 20%) to describe the shoulder observed at very low Q in Figure 9, indicating the μm size and high-level organization of the network-forming fibrils. The results of the global fit and the contribution of the individual morphologies are shown in Figure 10. For a good description of the scattering data at very low Q, an additional Q−3 power law component was added to the combination of the three considered form factors to describe the mass fractal aspect of the gel network at a large length scale. A very good agreement was obtained between the quantities provided by the model analysis, as described in detail in [57].

4. Conclusions

For a complete characterization of soft matter and biological systems, a broad length scale from nm to µm should be covered in a structural analysis. This is possible with X-ray and neutron scattering experiments carried out over a broad Q-range. With neutrons, contrast variation and matching by D-labeling is possible and is of great value for the characterization of hydrocarbon systems, which are the main constituents of soft matter and biological materials. USANS and SANS methods, sometimes complemented by ND or WANS techniques, are used for such thorough structural characterization. In the case when the sample preparation or the in situ sample treatment during the experimental investigation pose constraints, it is useful to perform USANS and SANS experiments on the same beamline. This is possible by using pinhole SANS instruments equipped with focusing lenses that permit reaching lower Q values, in the USANS range, down to 0.0001 Å−1. The use of neutron lenses has the added benefit of increasing the intensity on the sample by providing the ability to work with larger samples while maintaining the same resolution as in pinhole mode. This is useful for measurements at low Q on weakly scattering samples, such as in the case of very dilute particle solutions or studies of low contrast conditions or around the matching point of a labeled component in a multi-component system by using deuterated and protonated solvents in different ratios. In intensity enhancement mode with focusing lenses, a significant increase in intensity on the sample is achieved depending on the size of the lenses used and the temperature of the lenses. Several examples have been given to demonstrate the usefulness of using focusing lenses in pinhole SANS instruments.

Funding

This research received no external funding.

Data Availability Statement

The data are available on request from the author.

Acknowledgments

Planning of, participation in and data analysis and interpretation of experiments of the small-angle neutron diffractometers KWS-2 and SANS-J by Hiroshi Nakagawa, Ryuhei Motokawa, Takayuki Kumada (all Japan Atomic Energy Agency, Japan), Dietmar Schwahn, Vitalyi Pipich, Anastasiia Murmiliuk, Benjamin Krugmann, Andreas Stadler, Maria-Maddalena Schiavone (all Forschungszentrum Jülich GmbH, Germany), Fumitoshi Kaneko (Osaka University, Japan), Samantha J. Talley and Robert B. Moore (Virginia Tech, USA) are acknowledged. Cryo-TEM observations were performed in collaboration with Marie-Sousai Appavou (Forschungszentrum Jülich GmbH, Germany).

Conflicts of Interest

Author Aurel Radulescu was employed by the company Jülich Centre for Neutron Science, the research was conducted in the absence of any commercial or financial relationships that could be construed as a potential conflict of interest.

References

  1. Richter, D.; Monkenbusch, M.; Schwahn, D. Neutron Scattering. In Polymer Science: A Comprehensive Reference; Matyjaszewski, K., Möller, M., Eds.; Elsevier Inc.: Amsterdam, The Netherlands, 2012; pp. 331–361. [Google Scholar]
  2. Radulescu, A.; Szekely, N.K.; Appavou, M.; Pipich, V.; Kohnke, T.; Ossovyi, V.; Staringer, S.; Schneider, G.J.; Amann, M.; Zhang-Haagen, B.; et al. Studying Soft-matter and Biological Systems over a Wide Length-scale from Nanometer and Micrometer Sizes at the Small-angle Neutron Diffractometer KWS-2. J. Vis. Exp. 2016, 118, e54639. [Google Scholar] [CrossRef]
  3. Radulescu, A.; Pipich, B.; Frielinghaus, H.; Appavou, M.-S. KWS-2, the high intensity/wide Q-range small-angle neutron diffractometer for soft-matter and biology at FRM II. J. Phys. Conf. Ser. 2012, 351, 012026. [Google Scholar] [CrossRef]
  4. Koizumi, S.; Iwase, H.; Suzuki, J.; Oku, T.; Motokawa, R.; Sasao, H.; Tanaka, H.; Yamaguchi, D.; Shimizu, H.M.; Hashimoto, T. Focusing and polarized neutron small-angle scattering spectrometer (SANS-J-II). The challenge of observation over length scales from an ångström to a micrometre. J. Appl. Cryst. 2007, 40, s474–s479. [Google Scholar] [CrossRef]
  5. Iwase, H.; Endo, H.; Katagiri, M.; Shibayama, M. Modernization of the small-angle neutron scattering spectrometer SANS-U by upgrade to a focusing SANS spectrometer. J. Appl. Cryst. 2011, 44, 558–568. [Google Scholar] [CrossRef]
  6. Kumada, T.; Motokawa, R.; Oba, Y.; Nakagawa, H.; Yurina Sekine, Y.; Micheau, C.; Ueda, Y.; Sugita, T.; Birumachi, A.; Sasaki, M.; et al. Upgrade of the small-angle neutron scattering diffractometer SANS-J at JRR-3. J. Appl. Cryst. 2023, 56, 1776–1783. [Google Scholar] [CrossRef]
  7. Kanaya, T.; Takahashi, N.; Takeshita, H.; Ohkura, M.; Nishida, K.; Kaji, K. Structure and dynamics of poly(vinyl alcohol) gels in mixtures of dimethyl sulfoxide and water. Polym. J. 2012, 44, 83–94. [Google Scholar] [CrossRef]
  8. Muzny, C.; de Campo, L.; Sokolova, A.; Garvey, C.J.; Rehm, C.; Hanley, H. Shear influence on colloidal cluster growth: A SANS and USANS study. J. Appl. Cryst. 2023, 56, 1371–1380. [Google Scholar] [CrossRef] [PubMed]
  9. Papagiannopoulos, A.; Sentoukas, T.; Pispas, S.; Radulescu, A.; Pipich, V.; Lang, C. Length-scale dependence of pH- and temperature-response of PDMAEMA-b-PHPMA block copolymer self-assemblies in aqueous solutions. Polymer 2022, 239, 124428. [Google Scholar] [CrossRef]
  10. Xi, Y.; Lankone, R.S.; Sung, L.-P.; Liu, Y. Tunable thermo-reversible bicontinuous nanoparticle gel driven by the binary solvent segregation. Nat. Commun. 2021, 12, 910. [Google Scholar] [CrossRef]
  11. Tirumala, V.R.; Tominaga, T.; Lee, S.; Butler, P.D.; Lin, E.K.; Gong, J.P.; Wu, W. Molecular Model for Toughening in Double-Network Hydrogels. J. Phys. Chem. B 2008, 112, 8024–8031. [Google Scholar] [CrossRef]
  12. Leventis, N.; Sotiriou-Leventis, C.; Chandrasekaran, N.; Mulik, S.; Larimore, Z.J.; Lu, H.; Churu, G.; Mang, J.T. Multifunctional Polyurea Aerogels from Isocyanates and Water. A Structure-Property Case Study. Chem. Mater. 2010, 22, 6692–6710. [Google Scholar] [CrossRef]
  13. Tran, T.S.; Balu, R.; Mata, J.; Dutta, N.K.; Choudhury, N.R. 3D printed graphene aerogels using conductive nanofibrillar network formulation. Nano Trends 2023, 2, 100011. [Google Scholar] [CrossRef]
  14. Radulescu, A.; Goerigk, G.; Fetters, L.J.; Richter, D. Morphology of crystalline–amorphous olefin block copolymers in solution characterized by small-angle neutron scattering and microscopy. J. Appl. Cryst. 2015, 48, 1860–1869. [Google Scholar] [CrossRef]
  15. Yuzhan Li, Y.; Keum, J.K.; Wang, J.; Naisheng, J.; Bras, W.; Kessler, M.R.; Rios, O. Multiscale Structural Characterization of a Smectic Liquid Crystalline Elastomer upon Mechanical Deformation Using Neutron Scattering. Macromolecules 2021, 54, 10574–10582. [Google Scholar]
  16. Kim, M.-H.; Glinka, C.J.; Grot, S.A.; Grot, W.G. SANS Study of the Effects of Water Vapor Sorption on the Nanoscale Structure of Perfluorinated Sulfonic Acid (NAFION) Membranes. Macromolecules 2006, 39, 4775–4787. [Google Scholar] [CrossRef]
  17. Kanaya, T.; Matsuba, G.; Ogino, Y.; Nishida, K.; Shimizu, H.M.; Shinohara, T.; Oku, T.; Suzuki, J.; Otomo, T. Hierarchic Structure of Shish-Kebab by Neutron Scattering in a Wide Q Range. Macromolecules 2007, 40, 3650–3654. [Google Scholar] [CrossRef]
  18. Kim, M.-H.; Glinka, C.J. Correlation between Structure and Vapor Sorption in Semicrystalline Linear Polyethylene: One Dimensional Nano-Swelling Measured Using in Situ Vapor Sorption Small Angle Neutron Scattering (iVSANS). Macromolecules 2009, 42, 2618–2625. [Google Scholar] [CrossRef]
  19. Lund, R.; Alegrıa, A.; Goitandia, L.; Colmenero, J.; Gonzalez, M.A.; Lindner, L. Dynamical and Structural Aspects of the Cold Crystallization of Poly(dimethylsiloxane) (PDMS). Macromolecules 2008, 41, 1364–1376. [Google Scholar] [CrossRef]
  20. Motokawa, R.; Iida, Y.; Zhao, Y.; Hashimoto, T.; Koizumi, S. Living Polymerization Induced Macro- and Microdomain Investigated by Focusing Ultra-small-angle Neutron Scattering. Polym. J. 2007, 39, 1312–1318. [Google Scholar] [CrossRef]
  21. Koizumi, S.; Zhao, Y.; Putra, A. Hierarchical structure of microbial cellulose and marvelous water uptake, T investigated by combining neutron scattering instruments at research reactor JRR-3, Tokai. Polymer 2019, 176, 244–255. [Google Scholar] [CrossRef]
  22. Takenaka, M.; Nishitsuji, S.; Watanabe, Y.; Yamaguchi, D.; Koizumi, S. Analyses of hierarchical structures in vulcanized SBR rubber by using contrast-variation USANS and SANS. J. Appl. Cryst. 2021, 54, 949–956. [Google Scholar] [CrossRef]
  23. Koga, T.; Hashimoto, T.; Takenaka, M.; Aizawa, K.; Amino, N.; Nakamura, M.; Yamaguchi, D.; Koizumi, S. New insight into hierarchical structures of carbon black dispersed in polymer matrices: A combined small-angle scattering study. Macromolecules 2008, 41, 453–464. [Google Scholar] [CrossRef]
  24. Yamaguchi, D.; Yuasa, T.; Sone, T.; Tominaga, T.; Noda, Y.; Koizumi, S.; Hashimoto, T. Hierarchically Self-Organized Dissipative Structures of Filler Particles in Poly(styrene-ran-butadiene) Rubbers. Macromolecules 2017, 50, 7739–7759. [Google Scholar] [CrossRef]
  25. Callaghan-Patrachar, N.; Peyronel, F.; Pink, D.A.; Marangoni, A.G.; Adams, C.P. USANS and SANS investigations on the coagulation of commercial bovine milk: Microstructures induced by calf and fungal rennet. Food Hydrocoll. 2021, 116, 106622. [Google Scholar] [CrossRef]
  26. Bayrak, M.; Mata, J.; Conn, C.; Floury, J.; Logan, A. Application of small angle scattering (SAS) in structural characterisation of casein and casein-based products during digestion. Food Res. Int. 2023, 169, 112810. [Google Scholar] [CrossRef] [PubMed]
  27. Gilbert, E.P. Neutron Techniques for Food Colloids. Curr. Opin. Colloid Interface Sci. 2023, 67, 101730. [Google Scholar] [CrossRef]
  28. Smith, G.N. Revisiting neutron scattering data from deuterated milk. Food Hydrocoll. 2021, 113, 106511. [Google Scholar] [CrossRef]
  29. Pencer, J.; Jackson, A.; Kucerka, N.; Nieh, M.-P.; Katsaras, J. The influence of curvature on membrane domains. Eur. Biophys. J. 2008, 37, 665–671. [Google Scholar] [CrossRef] [PubMed]
  30. Greene, D.G.; Modla, S.; Wagner, N.J.; Sandler, S.I.; Lenhoff, A.M. Local Crystalline Structure in an Amorphous Protein Dense Phase. Biophys. J. 2015, 109, 1716–1723. [Google Scholar] [CrossRef]
  31. Iashina, E.G.; Bouwman, W.G.; Duif, C.P.; Dalgliesh, R.; Varfolomeeva, E.Y.; Pantina, R.A.; Kovalev, R.A.; Fedorova, N.D.; Grigoriev, S.V. Time-of-flight spin-echo small-angle neutron scattering applied to biological cell nuclei. J. Appl. Cryst. 2023, 56, 1512–1521. [Google Scholar] [CrossRef]
  32. Mangiapia, G.; Gvaramia, M.; Kuhrts, L.; Teixeira, J.; Koutsioubas, A.; Soltwedel, O.; Frielinghaus, H. Effect of benzocaine and propranolol on phospholipid-based bilayers. Phys. Chem. Chem. Phys. 2017, 19, 32057–32071. [Google Scholar] [CrossRef]
  33. Xiao, Y.; Liu, Q.; Clulow, A.J.; Li, T.; Manohar, M.; Gilbert, E.P.; de Campo, L.; Hawley, A.; Boyd, B.J. PEGylation and surface functionalization of liposomes containing drug nanocrystals for cell-targeted delivery. Colloids Surf. B Biointerfaces 2019, 182, 110362. [Google Scholar] [CrossRef]
  34. Tashiro, K.; Sasaki, S. Structural changes in the ordering process of polymers as studied by an organized combination of the various measurement techniques. Polymer 2003, 28, 451–519. [Google Scholar]
  35. Pauw, B.R.; Smith, A.J.; Snow, T.; Shebanova, O.; Sutter, J.P.; Ilavsky, J.; Hermida-Merino, D.; Smales, G.J.; Terrill, N.J.; Thünemann, A.F.; et al. Extending synchrotron SAXS instrument ranges through addition of a portable, inexpensive USAXS module with vertical rotation axes. J. Synchrotron Rad. 2021, 28, 824–833. [Google Scholar] [CrossRef] [PubMed]
  36. Wood, K.; Mata, J.P.; Garvey, C.J.; Wu, C.-M.; Hamilton, W.A.; Abbeywick, P.; Bartlett, D.; Bartsch, F.; Baxter, P.; Booth, N.; et al. QUOKKA, the pinhole small-angle neutron scattering instrument at the OPAL Research Reactor, Australia: Design, performance, operation and scientific highlights. J. Appl. Cryst. 2018, 51, 294–314. [Google Scholar] [CrossRef]
  37. Barker, J.; Moyer, J.; Kline, S.; Jensen, G.; Cook, J.; Gagnon, C.; Kelley, E.; Chabot, J.P.; Maliszewskyj, N.; Parikh, C.; et al. The very small angle neutron scattering instrument at the National Institute of Standards and Technology. J. Appl. Cryst. 2022, 55, 271–283. [Google Scholar] [CrossRef]
  38. Heller, W.T.; Cuneo, M.; Debeer-Schmitt, L.; Do, C.; He, L.; Heroux, L.; Littrell, K.; Pingali, S.V.; Qian, S.; Stanley, C.; et al. The suite of small-angle neutron scattering instruments at Oak Ridge National Laboratory. J. Appl. Cryst. 2018, 51, 242–248. [Google Scholar] [CrossRef]
  39. Radulescu, A.; Kang, J.-J.; Appavou, M.-S.; Papagiannopoulos, A. Upgrade of JCNS SANS instrument KWS-2 for improved performance and beam-time efficiency. EPJ Web Conf. 2023, 286, 03006. [Google Scholar] [CrossRef]
  40. Heenan, R.K.; King, S.M.; Turner, D.S.; Treadgold, J.R. SANS2d at the ISIS Second Target Station. In Proceedings of the 17th Meeting of the International Collaboration on Advanced Neutron Sources, Santa Fe, NM, USA, 25–29 April 2005. [Google Scholar]
  41. Zhao, J.K.; Gao, C.Y.; Liu, D. The extended Q-range small-angle neutron scattering diffractometer at the SNS. J. Appl. Cryst. 2010, 43, 1068–1077. [Google Scholar] [CrossRef]
  42. Sokolova, A.; Whitten, A.E.; de Campo, L.; Christoforidis, J.; Eltobaji, A.; Barnes, J.; Darmann, F.; Berry, A. Performance and characteristics of the BILBY time-of-flight small-angle neutron scattering instrument. J. Appl. Cryst. 2019, 52, 1–12. [Google Scholar] [CrossRef]
  43. Takata, S.; Suzuki, J.; Shinohara, T.; Oku, T.; Tominaga, T.; Ohishi, K.; Iwase, H.; Nakatani, T.; Inamura, Y.; Ito, T.; et al. The Design and q Resolution of the Small and Wide Angle Neutron Scattering Instrument (TAIKAN) in J-PARC. JPS Conf. Proc. 2014, 8, 036020. [Google Scholar]
  44. Koizumi, S.; Noda, Y.; Maeda, T.; Inada, T.; Ueda, S.; Fujisawa, T.; Izunome, H.; Robinson, R.A.; Frielinghaus, H. Advanced Small-Angle Scattering Instrument Available in the Tokyo Area. Time-Of-Flight, Small-Angle Neutron Scattering Developed on the iMATERIA Diffractometer at the High Intensity Pulsed Neutron Source J-PARC. Quantum Beam Sci. 2020, 4, 42. [Google Scholar] [CrossRef]
  45. Allen, A.J.J. Selected advances in small-angle scattering and applications they serve in manufacturing, energy and climate change. Appl. Cryst. 2023, 56, 787–800. [Google Scholar] [CrossRef]
  46. Zuo, T.; Han, Z.; Ma, C.; Xiao, S.; Lin, X.; Li, Y.; Wang, F.; He, Y.; He, Z.; Zhang, J.; et al. The multi-slit very small angle neutron scattering instrument at the China Spallation Neutron Source. J. Appl. Cryst. 2024, 57, 380–391. [Google Scholar] [CrossRef]
  47. Choi, S.-M.; Barker, J.G.; Glinka, C.J.; Cheng, Y.T.; Gammel, P.L. Focusing cold neutrons with multiple biconcave lenses for small-angle neutron scattering. J. Appl. Cryst. 2000, 33, 793–796. [Google Scholar] [CrossRef]
  48. Eskildsen, M.R.; Gammel, P.L.; Isaacs, E.D.; Detlefs, C.; Mortensen, K.; Bishop, D.J. Compound refractive optics for imaging and focusing of low-energy neutrons. Nature 1998, 391, 563–566. [Google Scholar] [CrossRef]
  49. Goerigk, G.; Varga, Z. Comprehensive upgrade of the high-resolution small-angle neutron scattering instrument KWS-3 at FRM II. J. Appl. Cryst. 2011, 44, 337–342. [Google Scholar] [CrossRef]
  50. Alefeld, B.; Dohmen, L.; Richter, D.; Brückel, T. Space technology from X-ray telescopes for focusing SANS and reflectometry. Phys. B 2000, 276–278, 52–54. [Google Scholar] [CrossRef]
  51. Liu, D.; Gubarev, M.V.; Resta, G.; Ramsey, B.D.; Moncton, D.E.; Khaykovich, B. Axisymmetric grazing-incidence focusing optics for small-angle neutron scattering. Nucl. Inst. Meth. A. 2012, 686, 145–150. [Google Scholar] [CrossRef]
  52. Wu, H.; Hong, W.; Zhang, Y.; Bai, P.; Mo, W.; Yang, Y.; Gong, H.; Zhang, Z.; Xu, X.; Cai, W.; et al. Conceptual design oft he grazing-incidence focusing small-angle neutron scattering (gif-SANS) instrument at CPHS. J. Neutron Res. 2021, 23, 201–205. [Google Scholar] [CrossRef]
  53. Samothrakitis, S.; Bertelsen, M.; Willendrup, P.K.; Knudsen, E.B.; Larsen, C.B.; Rizzi, N.; Zanini, L.; Santoro, V.; Strobl, M. Neutron instrument concepts for a high intensity moderator at the European spallation source. Sci. Rep. 2024, 14, 9360. [Google Scholar] [CrossRef] [PubMed]
  54. Frielinghaus, H.; Pipich, V.; Radulescu, A.; Heiderich, M.; Hanslik, R.; Dahlhoff, K.; Iwase, H.; Koizumi, S.; Schwahn, D. Aspherical refractive lenses for small-angle neutron scattering. J. Appl. Cryst. 2009, 42, 681–690. [Google Scholar] [CrossRef]
  55. Barker, J.G. Methods to maximize detector count rates on small-angle neutron scattering diffractometers at reactor sources: II. Optimizing sample, source and detector sizes. Nucl. Inst. Meth. A 2024, 1059, 168973. [Google Scholar] [CrossRef]
  56. Dahdal, Y.N.; Pipich, V.; Rapaport, H.; Oren, Y.; Kasher, R.; Schwahn, D. Small-Angle Neutron Scattering Studies of Mineralization on BSA Coated Citrate Capped Gold Nanoparticles Used as a Model Surface for Membrane Scaling in RO Wastewater Desalination. Langmuir 2014, 30, 15072–15082. [Google Scholar] [CrossRef] [PubMed]
  57. Kaneko, K.; Schiavone, M.-M.; Iwase, H.; Takata, A.; Allgaier, J.; Radulescu, A. Microstructural investigation of the cooperative gelation of syndiotactic polystyrene and high MW polyethylene glycol di-methyl ether in common solution in THF. Polymer 2024, 295, 12677. [Google Scholar] [CrossRef]
  58. Talley, S.J.; Vivod, S.L.; Nguyen, B.A.; Meador, M.A.N.; Radulescu, A.; Moore, R.B. Hierarchical Morphology of Poly(ether ether ketone) Aerogels. ACS Appl. Mater. Interfaces 2019, 11, 31508–31519. [Google Scholar] [CrossRef] [PubMed]
  59. Krugmann, B.; Radulescu, A.; Appavou, M.-S.; Koutsioubas, A.; Stingaciu, L.R.; Dulle, M.; Förster, S.; Stadler, A.M. Membrane stiffness and myelin basic protein binding strength as molecular origin of multiple sclerosis. Sci. Rep. 2020, 10, 16691. [Google Scholar] [CrossRef]
  60. Murmiliuk, A.; Iwase, H.; Kang, J.-J.; Mohanakumar, S.; Appavou, M.-S.; Wood, K.; Almasy, L.; Len, A.; Schwärzer, K.; Allgaier, J.; et al. Polyelectrolyte-protein synergism: pH-responsive polyelectrolyte/insulin complexes as versatile carriers for targeted protein and drug delivery. J. Colloid Interface Sci. 2024, 665, 801–813. [Google Scholar] [CrossRef] [PubMed]
  61. Raasakka, A.; Ruskamo, S.; Kowal, J.; Barker, R.; Baumann, A.; Martel, A.; Tuusa, J.; Myllykoski, M.; Bürck, J.; Ulrich, A.S.; et al. Membrane Association Landscape of Myelin Basic Protein Portrays Formation of the Myelin Major Dense Line. Sci. Rep. 2017, 7, 4974. [Google Scholar]
  62. Komorowski, K.; Salditt, A.; Xu, Y.; Yavuz, H.; Brennich, M.; Jahn, R.; Salditt, T. Vesicle Adhesion and Fusion Studied by Small-Angle X-Ray Scattering. Biophys. J. 2018, 114, 1908–1920. [Google Scholar] [CrossRef] [PubMed]
  63. Hammouda, B. Analysis of the Beaucage Model. J. Appl. Cryst. 2010, 43, 1474–1478. [Google Scholar] [CrossRef]
  64. Noda, Y.; Koizumi, S.; Yamaguchi, D. Multi-tube area detector developed for reactor small-angle neutron scattering spectrometer SANS-J-II. J. Appl. Cryst. 2016, 49, 128–138. [Google Scholar] [CrossRef]
  65. Pedersen, J.S. Analysis of small-angle scattering data from colloids and polymer solutions: Modeling and least-squares fitting. Adv. Colloid Interface Sci. 1997, 70, 171–210. [Google Scholar] [CrossRef]
  66. Beuacage, G.; Rane, S.; Sukumaran, S.; Satkowski, M.M.; Schechtman, L.A. Persistence length of isotactic poly (hydroxy butyrate). Macromolecules 1997, 30, 4158–4416. [Google Scholar] [CrossRef]
  67. Papagiannopoulos, A. Chapter 10—Small Angle Neutron Scattering (SANS). In Microscopy Methods in Nanomaterials Characterization; Thomas, S., Thomas, R., Zachariah, A.J., Mishra, R.K., Eds.; Elsevier Inc.: Amsterdam, The Netherlands, 2017; pp. 339–361. [Google Scholar]
Figure 1. Schematic view of the three working modes offered for routine use of the KWS-2 SANS diffractometer of JCNS at MLZ, Germany: (A) the conventional pinhole mode; (B) the enhanced intensity focusing mode; (C) the high-resolution (low Q) focusing mode. Reprinted (adapted) with permission from [2].
Figure 1. Schematic view of the three working modes offered for routine use of the KWS-2 SANS diffractometer of JCNS at MLZ, Germany: (A) the conventional pinhole mode; (B) the enhanced intensity focusing mode; (C) the high-resolution (low Q) focusing mode. Reprinted (adapted) with permission from [2].
Qubs 09 00006 g001
Figure 2. The scattering patterns from polystyrene particles as measured in the conventional pinhole and enhanced intensity (lenses) modes at KWS-2 [3]: the one-dimensional scattering patterns (A) and two-dimensional scattering patterns collected on the detector in either pinhole mode for a beam-size of 10 mm × 10 mm (B) and enhanced intensity mode using 26 lenses and a beam size of 30 mm × 30 mm (C). Reprinted (adapted) with permission from [2].
Figure 2. The scattering patterns from polystyrene particles as measured in the conventional pinhole and enhanced intensity (lenses) modes at KWS-2 [3]: the one-dimensional scattering patterns (A) and two-dimensional scattering patterns collected on the detector in either pinhole mode for a beam-size of 10 mm × 10 mm (B) and enhanced intensity mode using 26 lenses and a beam size of 30 mm × 30 mm (C). Reprinted (adapted) with permission from [2].
Qubs 09 00006 g002
Figure 3. (A) Contrast variation SANS experiments using neutron lenses in order to use larger samples of 5 cm diameter. (B) P3 amplitude (see text) versus SSE-D2O. The minimum is found at φM = 0.61, determining the matching point. Reprinted with permission from [56]. Copyright (2014) American Chemical Society. (C) The large-size (5.4 cm diameter, 1 mm beam path) quartz cuvettes used with the enhanced intensity mode with lenses at KWS-2.
Figure 3. (A) Contrast variation SANS experiments using neutron lenses in order to use larger samples of 5 cm diameter. (B) P3 amplitude (see text) versus SSE-D2O. The minimum is found at φM = 0.61, determining the matching point. Reprinted with permission from [56]. Copyright (2014) American Chemical Society. (C) The large-size (5.4 cm diameter, 1 mm beam path) quartz cuvettes used with the enhanced intensity mode with lenses at KWS-2.
Qubs 09 00006 g003
Figure 4. SANS patterns and cryo-TEM micrographs of vesicles formed by a mixture of lipids in solution without (A) and with (B) MBP addition [39]. The results of the interpretation of the scattering data according to structural models (see text) are shown by the red curves, while the signal of the docked vesicles is indicated by the light-blue curve (B). The scale for both micrographs is 100 nm.
Figure 4. SANS patterns and cryo-TEM micrographs of vesicles formed by a mixture of lipids in solution without (A) and with (B) MBP addition [39]. The results of the interpretation of the scattering data according to structural models (see text) are shown by the red curves, while the signal of the docked vesicles is indicated by the light-blue curve (B). The scale for both micrographs is 100 nm.
Qubs 09 00006 g004
Figure 5. Scattering patterns from the complexes formed by the weakly charged diblock copolymer EO9-DMA6 and insulin in D2O buffer at pH = 7.4, measured in enhanced intensity (yellow symbols) and extended Q-range (blue symbols) modes with lenses and SANS-J diffractometer of JAEA at JRR-3 reactor, Japan. The power law behavior of the scattered intensity in different Q-ranges and the structural levels considered in the model analysis of the data are indicated. The red curve represents the global model interpretation of the experimental data, with the contribution of the large-scale and mesoscale structural level depicted by the blue and black curves, respectively, as discussed in text.
Figure 5. Scattering patterns from the complexes formed by the weakly charged diblock copolymer EO9-DMA6 and insulin in D2O buffer at pH = 7.4, measured in enhanced intensity (yellow symbols) and extended Q-range (blue symbols) modes with lenses and SANS-J diffractometer of JAEA at JRR-3 reactor, Japan. The power law behavior of the scattered intensity in different Q-ranges and the structural levels considered in the model analysis of the data are indicated. The red curve represents the global model interpretation of the experimental data, with the contribution of the large-scale and mesoscale structural level depicted by the blue and black curves, respectively, as discussed in text.
Qubs 09 00006 g005
Figure 6. Cryo-TEM micrographs of the sample (EO9-DMA6) at 5 mg/mL and insulin at 20 mg/mL in D2O buffer delivering the scattering patterns shown in Figure 5, captured at two magnifications (scale bars 500 nm and 100 nm in the left and the right panels, respectively). The structural levels considered in the model analysis of the scattering data are indicated by the arrows and circles.
Figure 6. Cryo-TEM micrographs of the sample (EO9-DMA6) at 5 mg/mL and insulin at 20 mg/mL in D2O buffer delivering the scattering patterns shown in Figure 5, captured at two magnifications (scale bars 500 nm and 100 nm in the left and the right panels, respectively). The structural levels considered in the model analysis of the scattering data are indicated by the arrows and circles.
Qubs 09 00006 g006
Figure 7. SEM micrographs of PEEK aerogels dried using supercritical fluid extraction. Aerogels were prepared from 15 wt % PEEK in DCA (a,b) or 4CP (c,d). Reprinted with permission from [58]. Copyright (2019) American Chemical Society.
Figure 7. SEM micrographs of PEEK aerogels dried using supercritical fluid extraction. Aerogels were prepared from 15 wt % PEEK in DCA (a,b) or 4CP (c,d). Reprinted with permission from [58]. Copyright (2019) American Chemical Society.
Qubs 09 00006 g007
Figure 8. USAXS/SAXS/WAXS profiles of PEEK aerogels prepared by SC-drying (A) and SANS profiles of PEEK gel networks imbibed with either pure D2O (blue squares), pure H2O (red triangles) or 51.4:48.6 (v/v) H2O/D2O mixture (green circles). All gels in (B) were prepared via solvent-exchanging 10 wt % PEEK gels prepared in DCA. Reprinted (adapted) with permission from [58]. Copyright (2019) American Chemical Society.
Figure 8. USAXS/SAXS/WAXS profiles of PEEK aerogels prepared by SC-drying (A) and SANS profiles of PEEK gel networks imbibed with either pure D2O (blue squares), pure H2O (red triangles) or 51.4:48.6 (v/v) H2O/D2O mixture (green circles). All gels in (B) were prepared via solvent-exchanging 10 wt % PEEK gels prepared in DCA. Reprinted (adapted) with permission from [58]. Copyright (2019) American Chemical Society.
Qubs 09 00006 g008
Figure 9. Scattering pattern in log–log plot from the morphology of PEGDME40K at 10 °C formed as a result of the co-gelation process with the sPS in THF, measured over a wide Q-range at matching conditions of sPS with THF (green/blue/yellow symbols). The gelation result of PEGDME40K in THF is shown in parallel in black symbols. The Kratky representation of the data is shown in the inset. The power law behavior of the scattering intensity in different Q-domains is given as explained in the text. Reprinted with permission from [57]. Copyright (2024) Elsevier.
Figure 9. Scattering pattern in log–log plot from the morphology of PEGDME40K at 10 °C formed as a result of the co-gelation process with the sPS in THF, measured over a wide Q-range at matching conditions of sPS with THF (green/blue/yellow symbols). The gelation result of PEGDME40K in THF is shown in parallel in black symbols. The Kratky representation of the data is shown in the inset. The power law behavior of the scattering intensity in different Q-domains is given as explained in the text. Reprinted with permission from [57]. Copyright (2024) Elsevier.
Qubs 09 00006 g009
Figure 10. Model interpretation of the scattering patterns collected over an extended Q-range at KWS-2 SANS diffractometer. The red curve depicts the global fit of the experimental data using the model discussed in text, while the green, blue and brown curves show the contribution of different structures considered in the global fit. The size levels considered in the model (see text) and the values delivered by the fit are indicated.
Figure 10. Model interpretation of the scattering patterns collected over an extended Q-range at KWS-2 SANS diffractometer. The red curve depicts the global fit of the experimental data using the model discussed in text, while the green, blue and brown curves show the contribution of different structures considered in the global fit. The size levels considered in the model (see text) and the values delivered by the fit are indicated.
Qubs 09 00006 g010
Disclaimer/Publisher’s Note: The statements, opinions and data contained in all publications are solely those of the individual author(s) and contributor(s) and not of MDPI and/or the editor(s). MDPI and/or the editor(s) disclaim responsibility for any injury to people or property resulting from any ideas, methods, instructions or products referred to in the content.

Share and Cite

MDPI and ACS Style

Radulescu, A. Intensity Enhancement and Q-Range Extension in Pinhole SANS Instruments with Neutron Focusing Lenses. Quantum Beam Sci. 2025, 9, 6. https://doi.org/10.3390/qubs9010006

AMA Style

Radulescu A. Intensity Enhancement and Q-Range Extension in Pinhole SANS Instruments with Neutron Focusing Lenses. Quantum Beam Science. 2025; 9(1):6. https://doi.org/10.3390/qubs9010006

Chicago/Turabian Style

Radulescu, Aurel. 2025. "Intensity Enhancement and Q-Range Extension in Pinhole SANS Instruments with Neutron Focusing Lenses" Quantum Beam Science 9, no. 1: 6. https://doi.org/10.3390/qubs9010006

APA Style

Radulescu, A. (2025). Intensity Enhancement and Q-Range Extension in Pinhole SANS Instruments with Neutron Focusing Lenses. Quantum Beam Science, 9(1), 6. https://doi.org/10.3390/qubs9010006

Article Metrics

Back to TopTop