Spectral Characteristics of Polarization Radiation in the Water Window Range
Abstract
1. Introduction
2. Theoretical Model
2.1. Polarization Current Approach
2.2. Complex Permittivity of Medium in the Water Window Spectral Range
3. Numerical Results
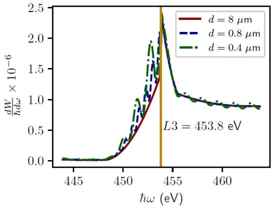
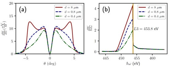
3.1. Spectral and Angular Distributions of Hybrid Radiation
3.2. Spectral Distribution of Transition Radiation
4. Conclusions
Author Contributions
Funding
Data Availability Statement
Conflicts of Interest
References
- Anil, A.G.; Swaraj, S.; Subramanian, S.; Ramamurthy, P.C. Analysis of Cr(VI) bioremediation by Citrobacter freundii using synchrotron soft X-ray scanning transmission X-ray microscopy. Quantum Beam Sci. 2021, 5, 28. [Google Scholar] [CrossRef]
- Hayakawa, Y.; Takahashi, Y.; Kuwada, T.; Sakae, T.; Tanaka, T.; Nakao, K.; Nogami, K.; Inagaki, M.; Hayakawa, K.; Sato, I. X-ray imaging using a tunable coherent X-ray source based on parametric X-ray radiation. J. Instrum. 2012, 8, C08001. [Google Scholar] [CrossRef]
- Knulst, W.; van der Wiel, M.J.; Luiten, O.J.; Verhoeven, J. High-brightness, narrowband, and compact soft X-ray Cherenkov sources in the water window. Appl. Phys. Lett. 2003, 83, 4050. [Google Scholar] [CrossRef]
- Knulst, W. Cherenkov Radiation in the Soft X-ray Region: Towards a Compact Narrowband Source. Ph.D. Thesis, Technical Iniversity, Eindhoven, The Netherlands, 2004. [Google Scholar]
- Uglov, S.R.; Kaplin, V.V.; Kubankin, A.S.; André, J.-M.; Le Guen, K.; Jonnard, P.; de Rossi, S.; Meltchakov, E.; Delmotte, F. Cr/Sc multilayer radiator for oarametric EUV radiation in “water-window” spectral range. J. Phys. Conf. Ser. 2016, 732, 012017. [Google Scholar] [CrossRef]
- Hemberg, O. A Compact High-Brightness Liquid-Metal-Jet X-ray Source. Ph.D. Thesis, Royal Institute of Technology, Stockholm, Sweden, 2004. [Google Scholar]
- Andersen, J.U.; Bonderup, E.; Pantell, R.H. Channeling Radiation. Ann. Rev. Nucl. Part. Sci. 1983, 33, 453–504. [Google Scholar] [CrossRef]
- Baryshevsky, V.; Feranchuk, I.; Ulyanenkov, A. Parametic X-Ray Radiation in Crystals: Theory, Experiment and Applications; Springer: Berlin/Heidelberg, Germany, 2005. [Google Scholar]
- Tamm, I.E.; Frank, I.M. Coherent Radiation of Fast Electrons in a Medium. Doklady Akad. Nauk SSSR 1937, 14, 107–112. [Google Scholar]
- Frank, I.M. Transition radiation and the Cherenkov effect. Sov. Phys. Usp. 1962, 5, 740–746. [Google Scholar] [CrossRef]
- Zrelov, V.P.; Ruzicka, J. Hybrid radiation and its properties IV. Nucl. Instrum. Methods 1979, 160, 327–336. [Google Scholar] [CrossRef]
- Shevelev, M.; Konkov, A.; Alekseev, B. Spectral and polarization characteristics of X-ray hybrid radiation. Nucl. Instrum. Methods Phys. Res. B Beam Interact. Matter At. 2020, 464, 117–122. [Google Scholar] [CrossRef]
- Karlovets, D.V. On the theory of polarization radiation in media with sharp boundaries. J. Exp. Theor. Phys. 2011, 113, 27–45. [Google Scholar] [CrossRef]
- Shevelev, M.V.; Konkov, A.S. Pecularities of the generation of Vavilov-Cherenkov radiation induced by a charged particle moving past a dielectric target. J. Exp. Theor. Phys. 2014, 118, 501–511. [Google Scholar] [CrossRef]
- Shevelev, M.; Konkov, A.; Aryshev, A. Soft-x-ray Cherenkov radiation generated by a charged particle moving near a finite-size screen. Phys. Rev. A 2015, 92, 053851. [Google Scholar] [CrossRef]
- Sergeeva, D.Y.; Potylitsyn, A.P.; Tishchenko, A.A.; Strikhanov, M.N. Smith-Purcell radiation from periodic beams. Opt. Express 2017, 25, 26310–26328. [Google Scholar] [CrossRef] [PubMed]
- Landau, L.D.; Lifshitz, E.M. Electrodynamics of Continuous Media. In Course of Theoretical Physics; Butterworth-Heinemann: Oxford, UK, 1984; Volume 8. [Google Scholar]
- Henke, B.L.; Gullikson, E.M.; Davis, J.C. X-ray Interactions: Photoabsorption, Scattering, Transmission, and Reflection at E = 50–30,000 eV, Z = 1–92. At. Data Nucl. Data Tables 1993, 54, 181–342. [Google Scholar] [CrossRef]
- Uglov, S.R.; Vukolov, A.V. Observation of soft X-ray Cherenkov radiation in Be and Si foils. J. Instrum. 2021, 16, P07043. [Google Scholar] [CrossRef]
- Uglov, S.; Vukolov, A.; Kaplin, V.; Sukhikh, L.; Karataev, P. Observation of soft X-ray Cherenkov radiation in Al. EPL 2017, 118, 34002. [Google Scholar] [CrossRef]
- Ginzburg, V.I.; Tsytovich, V.N. Transition Radiation and Transition Scattering; A. Hilger: Bristol, UK; New York, NY, USA, 1990. [Google Scholar]
- Pafomov, V.E. Emission of a charged particle in the presence of an interface. Trudy FIAN 1969, 44, 28. (In Russian) [Google Scholar]
- Frank, I.M. Transition radiation and optical properties of matter. Sov. Phys. Usp. 1966, 8, 729–742. [Google Scholar] [CrossRef]









| Radiation Mechanism | , MeV | , keV | FWHM | Brilliance, Photon/(s·mm2·mrad2 ·0.1% FWHM) |
|---|---|---|---|---|
| ChR | 10–100 | 0.1–1 | 10−2–10−3 eV | ~109 |
| Channelling | 10–200 | 1–100 | 10% | ~106 |
| TR | 50–500 | 0.1–50 | 50% | ~109 |
| PXR | 10–500 | 1–50 | 1% | ~1012 |
Disclaimer/Publisher’s Note: The statements, opinions and data contained in all publications are solely those of the individual author(s) and contributor(s) and not of MDPI and/or the editor(s). MDPI and/or the editor(s) disclaim responsibility for any injury to people or property resulting from any ideas, methods, instructions or products referred to in the content. |
© 2024 by the authors. Licensee MDPI, Basel, Switzerland. This article is an open access article distributed under the terms and conditions of the Creative Commons Attribution (CC BY) license (https://creativecommons.org/licenses/by/4.0/).
Share and Cite
Shevelev, M.V.; Konkov, A.S.; Uglov, S.R.; Alekseev, B.A.; Cherepennikov, Y.M. Spectral Characteristics of Polarization Radiation in the Water Window Range. Quantum Beam Sci. 2024, 8, 6. https://doi.org/10.3390/qubs8010006
Shevelev MV, Konkov AS, Uglov SR, Alekseev BA, Cherepennikov YM. Spectral Characteristics of Polarization Radiation in the Water Window Range. Quantum Beam Science. 2024; 8(1):6. https://doi.org/10.3390/qubs8010006
Chicago/Turabian StyleShevelev, M. V., A. S. Konkov, S. R. Uglov, B. A. Alekseev, and Yu. M. Cherepennikov. 2024. "Spectral Characteristics of Polarization Radiation in the Water Window Range" Quantum Beam Science 8, no. 1: 6. https://doi.org/10.3390/qubs8010006
APA StyleShevelev, M. V., Konkov, A. S., Uglov, S. R., Alekseev, B. A., & Cherepennikov, Y. M. (2024). Spectral Characteristics of Polarization Radiation in the Water Window Range. Quantum Beam Science, 8(1), 6. https://doi.org/10.3390/qubs8010006

