Flexural Behavior of Concrete-Filled Steel Tube Beams Composite with Concrete Slab Deck
Abstract
1. Introduction
2. Materials and Details of Specimens
2.1. Molding and Casting
2.2. Test Setup
3. Results and Discussion
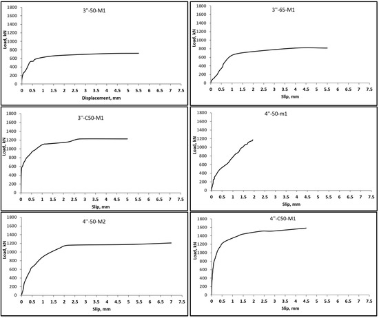
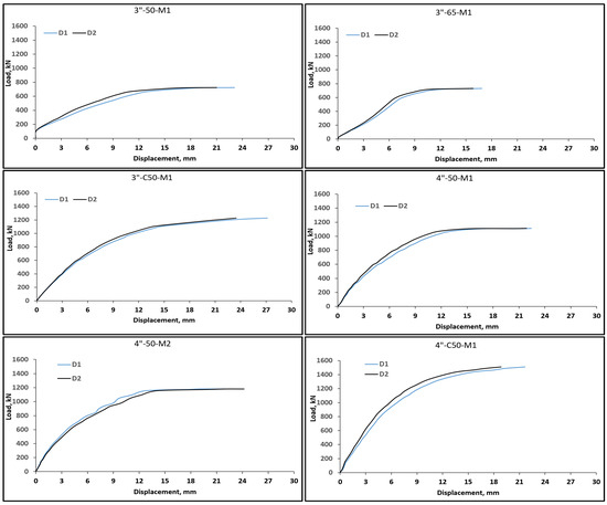
3.1. Load–Displacement Curves
3.2. Load–Slip Curves
3.3. DIC Strain Measuring Technique
3.4. Distribution of Strain along the Cross-Section
3.5. Evolution of Strain with the Load
4. Conclusions
- 1-
- Across all tested specimens, the CFST consistently exhibited no local buckling when acting as a flexural member, demonstrating its effectiveness in enhancing flexural behavior. Notably, specimen 40″-50-M1 exhibited a 20% increase in the ultimate load capacity when concrete compressive strength was increased from 30 MPa to 50 MPa and a 40% increase in the ultimate load capacity when the stiffening channel was added to the bonding mechanism compared to reference specimens. The inclusion of steel channels helped reduce strain incompatibility by facilitating the uniform distribution of stresses and strains across developed cracks in the slab, enhancing overall structural performance.
- 2-
- Increasing the compressive strength of the deck slab has increased the flexural capacity of the composite section due to enhancing the bonding mechanism.
- 3-
- The DIC technique showed the full-field strain map for both concrete and steel members and revealed that in some cases, both members are working as two independent members when slipping developed significantly between the two members. The presence of tensile and compressive strains on opposite sides of the slab and CFST indicates strain incompatibility, suggesting that these components functioned independently under load.
- 4-
- The horizontal strain distribution was analyzed at specific points along the composite cross-section. Notably, there was no slipping between the concrete deck and CFST beams up to 75% of the ultimate load for certain specimens, highlighting effective load transfer during this phase.
- 5-
- Specimens with higher concrete strength exhibited lower tensile strain values, correlating with a lack of cracks in the center of the beam. This suggests that increased concrete strength positively impacts the structural integrity and strain response.
Author Contributions
Funding
Institutional Review Board Statement
Informed Consent Statement
Data Availability Statement
Acknowledgments
Conflicts of Interest
References
- Al-Obaidi, S.; Salim, T.; Hemzah, S.A. Flexural behavior of concrete filled steel tube composite with different concrete compressive strength. Int. J. Civ. Eng. Technol. 2018, 9, 824–832. [Google Scholar]
- Dabbagh, N.M.R.; Al-Khafaji, H.H.; Al-Zuhairy, L.H.; Al-Shammari, M.H. A systematic review on CFST members under impulsive loading. Thin-Walled Struct. 2022, 179, 109503. [Google Scholar] [CrossRef]
- Hassan, M.M.; Mahmoud, A.A.; Serror, M.H. Behavior of concrete-filled double skin steel tube beam-columns. Steel Compos. Struct. 2016, 22, 1141–1162. [Google Scholar] [CrossRef]
- George, C.; Singh, R.S.; Kumar, R.; Kumar, A.; Kumar, P.; Singh, P. Enhancing the fire-resistant performance of concrete-filled steel tube columns with steel fiber-reinforced concrete. Case Stud. Constr. Mater. 2024, 20, e02741. [Google Scholar] [CrossRef]
- Han, L.-H. Flexural behaviour of concrete-filled steel tubes. J. Constr. Steel Res. 2004, 60, 313–337. [Google Scholar] [CrossRef]
- Yu, M.; Huang, Z.; Liu, Z.; Zhao, W.; Xu, M.; Li, C.; Lin, J. Fire resistance of concrete-filled steel tube columns with preload. Part I: Experimental investigation. Compos. Struct. 2019, 223, 110994. [Google Scholar] [CrossRef]
- Alharthi, Y.M.; Almusallam, S.M.; Alsayed, S.H.; Al-Gahtani, F.S. Flexural behavior and capacity of composite concrete-steel beams using various shear connectors. Arab. J. Sci. Eng. 2023, 48, 5587–5601. [Google Scholar] [CrossRef]
- Matsumura, T.; Fujii, T.; Nakamura, S.; Sekine, K. Practical application of composite bridge for Shinkansen using CFT. In IABSE Symposium Report; International Association for Bridge and Structural Engineering: Zurich, Switzerland, 2003; Volume 87, p. 9. [Google Scholar]
- Nakamura, S. New structural forms for steel/concrete composite bridges. Struct. Eng. Int. 2000, 10, 45–50. [Google Scholar] [CrossRef]
- Nakamura, S.; Sekine, K.; Ueda, Y.; Matsumura, T. New technologies of steel/concrete composite bridges. J. Constr. Steel Res. 2002, 58, 99–130. [Google Scholar] [CrossRef]
- Nakamura, S.; Hosaka, T.; Nishiumi, K. Bending behavior of steel pipe girders filled with ultralight mortar. J. Bridge Eng. 2004, 9, 297–303. [Google Scholar] [CrossRef]
- Mossahebi, N.; Yakel, A.; Azizinamini, A. Experimental investigation of a bridge girder made of steel tube filled with concrete. J. Constr. Steel Res. 2005, 61, 371–386. [Google Scholar] [CrossRef]
- Fu, Z.; Li, F.; Zhang, M.; Gao, L. Bending performance of lightweight aggregate concrete-filled steel tube composite beam. KSCE J. Civ. Eng. 2018, 22, 3894–3902. [Google Scholar] [CrossRef]
- Yoo, S.-W.; Choo, J.F. Evaluation of the flexural behavior of composite beam with inverted-T steel girder and steel fiber reinforced ultra high performance concrete slab. Eng. Struct. 2016, 118, 1–15. [Google Scholar] [CrossRef]
- Nie, J.G.; Zhao, J. Flexural behavior of steel plate-concrete composite beams. Key Eng. Mater. 2009, 400, 37–42. [Google Scholar] [CrossRef]
- Lee, J.; Kim, T.; Kim, S.; Lee, K.; Lee, H.; Kim, Y. Characteristics of Flexural Behavior of Composite Section Consisting of Steel Girder with 80MPa High Strength Concrete on Compressive Flange. J. Soc. Disaster Inf. 2017, 13, 455–464. [Google Scholar]
- Sharif, A.; Samaaneh, M. Construction Approach to Maintain Composite Action for Continuous Composite Girders. J. Bridge Eng. 2012, 17, 468–474. [Google Scholar]
- Heo, B.W.; Bae, K.W.; Moon, T.S. Flexural Capacity of the Encased (Slim Floor) Composite Beam with Deep Deck Plate. J. Korean Soc. Steel Constr. 2004, 16, 235–245. [Google Scholar]
- Gholamhoseini, A.; Gilbert, R.I.; Bradford, M. Long-Term Behavior of Continuous Composite Concrete Slabs with Steel Decking. ACI Struct. J. 2018, 115, 119–128. [Google Scholar] [CrossRef]
- Hamoda, A.; Abdel-Rahman, A.; El-Hofy, H.; El-Ghandour, A.; El-Sayed, A. Behaviour of Composite High-Performance Concrete Slab-on-Steel Girders Subjected to Hogging Moment. Int. J. Steel Struct. 2016, 16, 1141–1155. [Google Scholar]
- Kalibhat, M.G.; Upadhyay, A. Effect of partial shear interaction in steel concrete composite girders. In IOP Conference Series: Materials Science and Engineering; IOP Publishing: Bristol, UK, 2017; Volume 245, pp. 1–8. [Google Scholar]
- Nguyen, T.-T.; Le, T.D.; Nguyen, T.-N.; Pham, T.A.; Nguyen, T.N. Behaviour and design of high strength CFST columns with slender sections. J. Constr. Steel Res. 2021, 182, 106645. [Google Scholar] [CrossRef]
- Thejeel, M.M.; Shallal, M.A. Performance of concrete-filled steel tube truss girders strength by adding reinforcement. In IOP Conference Series: Materials Science and Engineering; IOP Publishing: Bristol, UK, 2020; Volume 870, p. 012029. [Google Scholar]
- Farhan, K.A.; Shallal, M.A. Experimental behaviour of concrete-filled steel tube composite beams. Arch. Civ. Eng. 2020, 66, 119–132. [Google Scholar] [CrossRef]
- Pu, B.; Guo, Y.; Shi, Y.; Lu, Z.; Liu, Y.; Wang, L. Mechanical behavior of concrete-filled rectangular steel tubular composite truss bridge in the negative moment region. J. Traffic Transp. Eng. 2021, 8, 795–814. [Google Scholar] [CrossRef]
- Dinu, F.; Dubina, D.; Marginean, I. Effect of connection between reinforced concrete slab and steel beams in multi-story frames subjected to different column loss scenarios. In Proceedings of the 4th International Conference on Integrity, Reliability & Failure, Porto, Portugal, 15–17 July 2013. [Google Scholar]
- He, J.; Chen, Z.; Yang, Y.; Zhao, H. Experimental study on inelastic mechanical behaviour of composite girders under hogging moment. J. Constr. Steel Res. 2010, 66, 37–52. [Google Scholar] [CrossRef]
- Panjehbashi Aghdam, P.; Parent, S.; Dinehart, D.W.; Roy, N. Determination of mechanical properties of headed shear connectors in composite steel beams with precast concrete hollow core slabs: Experimental study. Structures 2024, 69, 107262. [Google Scholar] [CrossRef]
- Majdub, M.S.; Baharom, S.; Al Zand, A.W.; Mutalib, A.A.; Hosseinpour, E. Innovation of shear connectors in slim floor beam construction. J. Eng. 2022, 2022, 9705537. [Google Scholar] [CrossRef]
- Ma, S.; Chen, L.; Bao, P.; Wang, D. Shear performance and optimization design of beam-slab connector of prefabricated steel–concrete composite structures. Int. J. Civ. Eng. 2022, 20, 1277–1290. [Google Scholar] [CrossRef]
- Ding, Y.; Chung, K.F.; Tong, C.C.; Wang, X.D.; Zhou, X.H.; Elghazouli, A.Y. Behaviour of large-diameter high-strength bolted shear connections for prefabricated composite beams. Eng. Struct. 2025, 322, 119002. [Google Scholar] [CrossRef]
- Afefy, H.M.; Sennah, K.; Akhlagh-Nejat, H. Experimental and analytical investigations on the flexural behavior of CFRP-strengthened composite girders. J. Constr. Steel Res. 2016, 120, 94–105. [Google Scholar] [CrossRef]
- Higgins, C.; Mitchell, H. Behavior of composite bridge decks with alternative shear connectors. J. Bridge Eng. 2001, 6, 17–22. [Google Scholar] [CrossRef]
- Pandilatha, P.; Surumi, R.S. Comparitive Study on Flexural Behaviour of Steel Concrete Composite Beam Using Welded and Bolted Shear Connector. Int. J. Civ. Eng. Technol. 2017, 8, 1016–1024. [Google Scholar]
- Kang, J.-Y.; Kim, Y.-J.; Lee, S.-H.; Chang, S.-P. Flexural behavior of concrete-filled steel tube members and its application. Steel Struct. 2007, 7, 319–324. [Google Scholar]
- Sun, J.; Qiu, H.; Lu, Y. Experimental study and associated numerical simulation of horizontally connected precast shear wall assembly. Struct. Des. Tall Spec. Build. 2016, 25, 659–678. [Google Scholar] [CrossRef]
- Mousa, M.A.; Yussof, M.M.; Hussein, T.S.; Assi, L.N.; Ghahari, S. A Digital Image Correlation Technique for Laboratory Structural Tests and Applications: A Systematic Literature Review. Sensors 2023, 23, 9362. [Google Scholar] [CrossRef]
- Mousa, M.A.; Yussof, M.M.; Assi, L.N.; Ghahari, S. A Pre-Process Enhanced Digital Image Correlation Approach for Smart Structure Monitoring. Infrastructures 2022, 7, 141. [Google Scholar] [CrossRef]












| Specimen’s ID | Size of Steel Tube | Deck Concrete Strength | Types of the Studs (Interlocking Mechanism) |
|---|---|---|---|
| 3″-50-M1 | 3 inches (75 mm) | 30 MPa | 50 mm bolts@150 mm |
| 3″-65-M1 | 3 inches (75 mm) | 30 MPa | 65 mm bolts @150 mm |
| 3″-C50-M1 | 3 inches (75 mm) | 30 MPa | With channel |
| 4″-50-M1 | 4 inches (100 mm) | 30 MPa | 50 mm bolts @150 mm |
| 4″-50-M2 | 4 inches (100 mm) | 50 MPa | 50 mm bolts @150 mm |
| 4″-C50-M1 | 4 inches (100 mm) | 30 MPa | With channel |
| Specimens ID | Maximum Load kN | Maximum Deflection mm | The Area Under the Curve kN.mm | Max. Slip mm | Failure Mode |
|---|---|---|---|---|---|
| 3″-50-M1 | 723.64 | 23.07 | 11,796.62 | 5.00 | Steel tube yielded |
| 3″-65-M1 | 730.75 | 16.85 | 8267.58 | 5.50 | Compression failure |
| 3″-C50-M1 | 1226.82 | 27.14 | 20,978.13 | 5.00 | Compression failure |
| 4″-50-M1 | 1111.25 | 22.43 | 19,143.24 | 1.93 | Tensile and slippage failure |
| 4″-50-M2 | 1180.59 | 24.20 | 22,548.40 | 7.00 | Compression failure |
| 4″-C50-M1 | 1511.30 | 21.64 | 23,541.53 | 4.50 | Compression failure |
Disclaimer/Publisher’s Note: The statements, opinions and data contained in all publications are solely those of the individual author(s) and contributor(s) and not of MDPI and/or the editor(s). MDPI and/or the editor(s) disclaim responsibility for any injury to people or property resulting from any ideas, methods, instructions or products referred to in the content. |
© 2024 by the authors. Licensee MDPI, Basel, Switzerland. This article is an open access article distributed under the terms and conditions of the Creative Commons Attribution (CC BY) license (https://creativecommons.org/licenses/by/4.0/).
Share and Cite
AlObaidi, S.M.; Mousa, M.A.; Almusawi, A.M.; Shallal, M.A.; Alzabeebee, S. Flexural Behavior of Concrete-Filled Steel Tube Beams Composite with Concrete Slab Deck. Infrastructures 2024, 9, 187. https://doi.org/10.3390/infrastructures9100187
AlObaidi SM, Mousa MA, Almusawi AM, Shallal MA, Alzabeebee S. Flexural Behavior of Concrete-Filled Steel Tube Beams Composite with Concrete Slab Deck. Infrastructures. 2024; 9(10):187. https://doi.org/10.3390/infrastructures9100187
Chicago/Turabian StyleAlObaidi, Salam Maytham, Mohammed Abbas Mousa, Aqil M. Almusawi, Muhaned A. Shallal, and Saif Alzabeebee. 2024. "Flexural Behavior of Concrete-Filled Steel Tube Beams Composite with Concrete Slab Deck" Infrastructures 9, no. 10: 187. https://doi.org/10.3390/infrastructures9100187
APA StyleAlObaidi, S. M., Mousa, M. A., Almusawi, A. M., Shallal, M. A., & Alzabeebee, S. (2024). Flexural Behavior of Concrete-Filled Steel Tube Beams Composite with Concrete Slab Deck. Infrastructures, 9(10), 187. https://doi.org/10.3390/infrastructures9100187

