Experimental Tests and Numerical Analyses for the Dynamic Characterization of a Steel and Wooden Cable-Stayed Footbridge
Abstract
1. Introduction
2. A Review of Code and Guideline Prescriptions
2.1. Design
2.2. Testing
- If the frequency to be investigated is f < 2.5 Hz, tests are carried out using walking motion;
- If the frequency to be investigated is 2 < f < 3 Hz, tests are carried out using either walking or running motion;
- If the frequency to be investigated is f > 3 Hz, tests are carried out using running motion.
2.3. Frequency Risk Intervals and Acceleration Limits Proposed by the Codes and Guidelines
3. Description of the Footbridge Case Study
4. Experimental Campaign
- Twenty-two uniaxial piezoelectric accelerometers with 10,000 mV/g of nominal sensibility, a range of measurement of +/−0.5 g pk, range of frequency of (±10%) 0.07 ÷ 300 Hz, and broadband resolution 1 µg (RMS);
- Eight acquisition modules, NI 9230, with a resolution of 24 bit, acquisition range of +/−30 V, and maximum sampling rate of 12.8 kS/s/ch;
- Three chassis (four slots), NI cDAQ-9185 TSN-enabled;
- One chassis (eight slots), NI cRIO-9045 TSN-enabled, with a 1.30 GHz Dual-Core CPU, 2 GB of RAM, 4 GB of storage, range of −20 °C to 55 °C, Kintex-7 70T FPGA;
- Coaxial cables;
- Ethernet cables, Cat.6 shielded S/TFP;
- One notebook.
4.1. Identification of the Footbridge Modal Parameters
4.2. Footbridge Dynamic Response Due to Human-Induced Loads
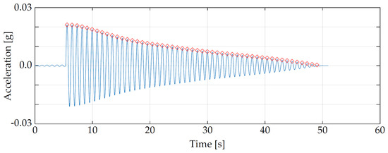
4.3. Experimental Assessment of the Footbridge Serviceability
5. Numerical Investigation of the Footbridge
5.1. Description of the Footbridge Finite Element Model
5.2. Finite Element Model Updating
5.3. Numerical Assessment of the Footbridge Serviceability
6. Conclusions
Supplementary Materials
Author Contributions
Funding
Data Availability Statement
Acknowledgments
Conflicts of Interest
References
- Van Nimmen, K.; Van den Broeck, P.; Verbeke, P.; Schauvliege, C.; Malliè, M.; Ney, L.; De Roeck, G. Numerical and experimental analysis of the vibration serviceability of the Bears’ Cage footbridge. Struct. Infrastruct. Eng. 2017, 13, 390–400. [Google Scholar] [CrossRef]
- Drygala, I.J.; Polak, M.A.; Dulinska, J.M. Vibration serviceability assessment of GFRP pedestrian bridges. Eng. Struct. 2019, 184, 176–185. [Google Scholar] [CrossRef]
- Avossa, A.M.; Demartino, C.; Ricciardelli, F. Design procedures for footbridges subjected to walking loads: Comparison and remarks. Balt. J. Road Bridge Eng. 2017, 12, 94–105. [Google Scholar] [CrossRef]
- Ingólfsson, E.T.; Georgakis, C.T.; Jönsson, J. Pedestrian-induced lateral vibrations of footbridges: A literature review. Eng. Struct. 2012, 45, 21–52. [Google Scholar] [CrossRef]
- Nicoletti, V.; Martini, R.; Carbonari, S.; Gara, F. Operational Modal Analysis as a Support for the Development of Digital Twin Models of Bridges. Infrastructures 2023, 8, 24. [Google Scholar] [CrossRef]
- Fujino, Y.; Siringoringo, D.M. A conceptual review of pedestrian-induced lateral vibration and crowd synchronization problem on footbridges. J. Bridge Eng. 2016, 21, C4015001. [Google Scholar] [CrossRef]
- Maraveas, C.; Fasoulakis, Z.C.; Tsavdaridis, K.D. A review of human induced vibrations on footbridges. Am. J. Eng. Appl. Sci. 2015, 8, 422–433. [Google Scholar] [CrossRef]
- Ferreira, F.; Simoes, L. Optimum design of a cable-stayed steel footbridge with three dimensional modelling and control devices. Eng. Struct. 2019, 180, 510–523. [Google Scholar] [CrossRef]
- Tadeu, A.; Romero, A.; Dias, S.; Pedro, F.; Brett, M.; Serra, M.; Galvín, P.; Bandeira, F. Vibration serviceability assessment of the world’s longest suspended footbridge in 2020. Structures 2022, 44, 457–475. [Google Scholar] [CrossRef]
- Kexin, Z.; Dachao, L.; Xinyuan, S.; Wenyu, H.; Li, Y.; Xingwei, X. Construction monitoring and load testing of a pedestrian suspension bridge in China. Proc. Inst. Civ. Eng. Civ. Eng. 2021, 175, 33–41. [Google Scholar] [CrossRef]
- Salgado, R.; Branco, J.M.; Cruz, P.S.J.; Ayala, G. Serviceability assessment of the Góis footbridge using vibration monitoring. Case Stud. Nondestruct. Test. Eval. 2014, 2, 71–76. [Google Scholar] [CrossRef]
- Yahia, M.A.S.; Rajai, Z.A.R.; Ameen, A.L.; Onur, A. Vibration Serviceability Investigation of a Curved Footbridge. Pract. Period. Struct. Des. Constr. 2022, 27, 4022040. [Google Scholar] [CrossRef]
- Feng, P.; Wang, Z.; Jin, F.; Zhu, S. Vibration Serviceability Assessment of Pedestrian Bridges Based on Comfort Level. J. Perform. Constr. Facil. 2019, 33, 4019046. [Google Scholar] [CrossRef]
- Rodríguez-Suesca, A.E.; Gutiérrez-Junco, O.J.; Hernández-Montes, E. Vibration performance assessment of deteriorating footbridges: A study of Tunja’s public footbridges. Eng. Struct. 2022, 256, 113997. [Google Scholar] [CrossRef]
- Cuevas, R.G.; Jiménez-Alonso, J.F.; Martínez, F.; Díaz, I.M. Assessment of the Lateral Vibration Serviceability Limit State of Slender Footbridges Including the Postlock-in Behaviour. Appl. Sci. 2020, 10, 967. [Google Scholar] [CrossRef]
- Bayat, E.; Milone, A.; Tubino, F.; Venuti, F. Vibration Serviceability Assessment of a Historic Suspension Footbridge. Buildings 2022, 12, 732. [Google Scholar] [CrossRef]
- Górski, P.; Tatara, M.; Stankiewicz, B. Vibration serviceability of all-GFRP cable-stayed footbridge under various service excitations. Measurement 2021, 183, 109822. [Google Scholar] [CrossRef]
- Sá, M.F.; Guerreiro, L.; Gomes, A.M.; Correia, J.R.; Silvestre, N. Dynamic behaviour of a GFRP-steel hybrid pedestrian bridge in serviceability conditions. Part 1: Experimental study. Thin-Walled Struct. 2017, 117, 332–342. [Google Scholar] [CrossRef]
- Dacol, V.; Caetano, E.; Correira, J.R. Modal identification and damping performance of a full-scale GFRP-SFRSCC hybrid footbridge. Struct. Control Health Monit. 2022, 22, e3137. [Google Scholar] [CrossRef]
- Ming, G.; Yunsheng, L.; Ruili, S.; Xinxin, W. Glass Suspension Footbridge: Human-Induced Vibration, Serviceability Evaluation, and Vibration Mitigation. J. Bridge Eng. 2021, 26, 05021014. [Google Scholar] [CrossRef]
- Wu, X.; Yang, X.; Jin, J.; Yang, Z. Amplitude-Based Filtering for Video Magnification in Presence of Large Motion. Sensors 2018, 18, 2312. [Google Scholar] [CrossRef]
- Scislo, L. Single-Point and Surface Quality Assessment Algorithm in Continuous Production with the Use of 3D Laser Doppler Scanning Vibrometry System. Sensors 2023, 23, 1263. [Google Scholar] [CrossRef]
- Lai, E.; Gentile, C.; Mulas, M.G. Experimental and numerical serviceability assessment of a steel suspension footbridge. J. Constr. Steel Res. 2017, 132, 16–28. [Google Scholar] [CrossRef]
- Chróścielewski, J.; Ferenc, T.; Mikulski, T.; Miśkiewicz, M.; Pyrzowski, L. Numerical modeling and experimental validation of full-scale segment to support design of novel GFRP footbridge. Compos. Struct. 2019, 213, 299–307. [Google Scholar] [CrossRef]
- Bergenudd, J.; Battini, J.M.; Crocetti, R.; Pacoste, C. Dynamic testing and numerical modelling of a pedestrian timber bridge at different construction stages. Eng. Struct. 2023, 279, 115429. [Google Scholar] [CrossRef]
- Van Nimmen, K.; Verbeke, P.; Lombaert, G.; De Roeck, G.; Van Den Broeck, P. Numerical and experimental evaluation of the dynamic performance of a footbridge with tuned mass dampers. J. Bridge Eng. 2016, 21, C4016001. [Google Scholar] [CrossRef]
- Dall’Asta, A.; Ragni, L.; Zona, A.; Nardini, L.; Salvatore, W. Design and Experimental Analysis of an Externally Prestressed Steel and Concrete Footbridge Equipped with Vibration Mitigation Devices. J. Bridge Eng. 2016, 21, C5015001. [Google Scholar] [CrossRef]
- Gallegos-Calderón, C.; Renedo, C.M.C.; Pulido, D.G.; Díaz, I.M. A frequency-domain procedure to design TMDs for lively pedestrian structures considering Human–Structure Interaction. Structures 2022, 43, 1187–1199. [Google Scholar] [CrossRef]
- Linyun, Z.; Shui, W. Vibration Control of Footbridges Based on Local Resonance Band Gaps. J. Struct. Eng. 2022, 148, 4022137. [Google Scholar] [CrossRef]
- De Angelis, M.; Petrini, F.; Pietrosanti, D. Optimal design of the ideal grounded tuned mass damper inerter for comfort performances improvement in footbridges with practical implementation considerations. Struct. Control Health Monit. 2021, 28, e2800. [Google Scholar] [CrossRef]
- Jesus, A.; Živanović, S.; Alani, A. A spectral pedestrian-based approach for modal identification. J. Sound Vib. 2020, 470, 115157. [Google Scholar] [CrossRef]
- Jesus, A.; Živanović, S. Modal testing with a pedestrian as a vibration exciter. Mech. Syst. Signal Process. 2023, 189, 110082. [Google Scholar] [CrossRef]
- He, W.; He, K.; Cui, H.; Wang, G. Using a rhythmic human shaker to identify modal properties of a stationary human body on a footbridge. J. Sound Vib. 2022, 540, 117309. [Google Scholar] [CrossRef]
- Wei, X.; Zhang, J.; Zhou, H.; Živanović, S. Sensitivity Analysis for Pedestrian-Induced Vibration in Footbridges. Buildings 2022, 12, 883. [Google Scholar] [CrossRef]
- International Federation for Structural Concrete (fib). Guidelines for the Design of Footbridges; fib bulletin N.32; International Federation for Structural Concrete (fib): Lausanne, Switzerland, 2005; p. 160. [Google Scholar] [CrossRef]
- SÈTRA/AFGC. Footbridges–Assessment of Dynamic Behaviour under the Action of Pedestrians; Guidelines; Sètra: Boxborough, MA, USA, 2006. [Google Scholar]
- Research Fund for Coal and Steel. In HiVoSS: Design of Footbridges; Guideline EN03; EU: Brussels, Belgium, 2008.
- CEN: EN 1990; Eurocode 0 (EC0)—Basis of Structural Design. European Committee for Standardization: Brussels, Belgium, 2002.
- CEN: EN-1995-2; Eurocode 5 (EC5)—Design of Timber Structures, Part 2: Bridges. European Committee for Standardization: Brussels, Belgium, 2003.
- CEN: EN-1991-2; Eurocode 1 (EC1)—Actions on Structures, Part 2: Traffic Loads on Bridges. European Committee for Standardization: Brussels, Belgium, 2003.
- CEN: EN-1992-2; Eurocode 2 (EC2)—Design of Concrete Structures, Part 2: Bridges. European Committee for Standardization: Brussels, Belgium, 1999.
- American Association of State Highway and Transportation Officials. Guide Specifications for Design of Pedestrian Bridges, Subcommittee on Bridges and Structures; American Association of State Highway and Transportation Officials: Washington, DC, USA, 1997. [Google Scholar]
- Deutsches Institut für Normung. DIN-Fachbericht 102, Betonbrücken; Deutsches Institut für Normung: Berlin, Germany, 2003. (In German) [Google Scholar]
- Schweizerischer Ingenieur- und Architekten-Verein. SIA 160, Einwirkungen auf Tragwerke; Schweizerischer Ingenieur- und Architekten-Verein: Zürich, Switzerland, 1989. (In German) [Google Scholar]
- BS 5400-2; Steel, Concrete and Composite Bridges: Specification for Loads, Part 2, Appendix C. British Standards Institution: London, UK, 1978; 2.
- Japanese Road Association. Footbridge Design Code; Japanese Road Association: Tokyo, Japan, 1979. (In Japanese) [Google Scholar]
- ISO 2631-1; Mechanical Vibration and Shock Evaluation of Human Exposure to Whole Body Vibration. General Requirements; ISO: Geneva, Switzerland, 1997.
- Ontario Government. Ontario Highway Bridge Design Code ONT 83; Ontario Government: Toronto, ON, Canada, 2000. [Google Scholar]
- Innocenzi, R.D.; Nicoletti, V.; Arezzo, D.; Carbonari, S.; Gara, F.; Dezi, L. A Good Practice for the Proof Testing of Cable-Stayed Bridges. Appl. Sci. 2022, 12, 3547. [Google Scholar] [CrossRef]
- Nicoletti, V.; Arezzo, D.; Carbonari, S.; Dezi, F.; Gara, F. Measurements of ambient vibrations for a cable-stayed bridge including the soil-foundation system. In Proceedings of the 11th International Conference on Structural Dynamic, EURODYN, Athens, Greece, 23–26 November 2020; Volume 1, pp. 1722–1730. [Google Scholar]
- Ewins, D.J. Modal Testing: Theory, Practice and Application, 2nd ed.; Wiley: Hoboken, NJ, USA, 2007; Volume 3, pp. 154–196. [Google Scholar]
- Rainieri, C.; Fabbrocino, G. Operational Modal Analysis of Civil Engineering Structures, An Introduction and a Guide for Applications; Springer: Berlin/Heidelberg, Germany, 2014. [Google Scholar] [CrossRef]
- Chopra, A.K. Dynamic of Structures–Theory and Applications to Earthquake Engineering, 5th ed.; Pearson Education: New York, NY, USA, 2019. [Google Scholar]















| Code/Standard/Guideline | Frequency Risk Int. (Hz) | Acceleration Limits (m/s2) | ||
|---|---|---|---|---|
| Vertical | Horizontal | Vertical | Horizontal | |
| SETRA [36] | 1–5 | 0.3–2.5 | <2.5 | <0.8 |
| HIVOSS [37] | 1.25–4.6 | 0.5–1.2 | <2.5 | <0.8 |
| Eurocode 0 [38] | <5 | <2.5 | 0.7 | 0.2 normal 0.4 crowd |
| Eurocode 1 [40] | 1–5 | --- | ||
| Eurocode 2 [41] | 1.6–2.4 | 0.8–1.2 | --- | --- |
| American Guide S. [42] | <3 | --- | 0.5 | --- |
| Din-Fachbericht 102 [43] | 1.6–2.4, 3.5–4.5 | --- | --- | |
| SIA 160 [44] | 1.6–4.5 | <1.3 trans. <2.5 long. | --- | --- |
| BS 5400 [45] | <5 | --- | --- | |
| Japanese Footbridge Design Code [46] | 1.5–2.3 | --- | 1 | --- |
| ISO 2631 [47] | --- | --- | --- | |
| ONT83 [48] | --- | --- | --- | |
| Mode | Mode Type | ƒ (Hz) | ξ (%) |
|---|---|---|---|
| 1 | Bending | 1.16 | 0.81 |
| 2 | Transverse/Torsional | 1.36 | 0.39 |
| 3 | Transverse/Torsional | 1.72 | 0.34 |
| 4 | Bending | 1.79 | 0.87 |
| 5 | Transverse/Torsional | 1.95 | 0.55 |
| 6 | Transverse/Torsional | 2.23 | 1.19 |
| 7 | Transverse/Torsional | 2.51 | 0.87 |
| 8 | Bending | 2.63 | 0.71 |
| 9 | Bending | 3.46 | 0.78 |
| Guideline | Frequency (Hz) | Excitation Source |
|---|---|---|
| Hivoss | f < 2.5 | Walking |
| 2 < f < 3 | Walking or Running | |
| f > 3 | Running | |
| Sètra | 1.6 < f < 2.4 | Walking |
| 2 < f < 3.5 | Running |
| Test | Activity | N. People | Load Ratio (%) | Duration (s) | Pacing Freq. (Hz) | Speed (m/s) |
|---|---|---|---|---|---|---|
| PV1 | Synchronized walking from one end to the other | 9 | 0.4 | 360 | 1.16 (1st mode) | 0.65 |
| PV2 | Synchronized walking from one end to the other | 9 | 0.4 | 160 | 1.36 (2nd mode) | 1.46 |
| PV3 | Synchronized running from one end to the other | 9 | 0.4 | 140 | 2.63 (8th mode) | 1.67 |
| PV4 | Synchronized running from one end to the other | 7 | 0.31 | 120 | 3.46 (9th mode) | 1.94 |
| PV5 | Synchronized jumping in the midspan of the footbridge | 5 | 0.22 | - | 1.16 (1st mode) | - |
| PV6 | Synchronized jumping in the midspan of the footbridge | 5 | 0.22 | - | 2.63 (8th mode) | - |
| PV7 | Synchronized running on the spot in the midspan of the footbridge | 5 | 0.22 | - | 2.63 (8th mode) | - |
| PV8 | One jump in the midspan of the footbridge (free-vibration test) | 5 | 0.22 | - | - | - |
| Mode | Frequency (Hz) | MAC Yes Updating | |||
|---|---|---|---|---|---|
| Exp. | Num. No Updating | Num. Yes Updating | Exp. vs. Num. Yes Updating | ||
| 1 | 1.16 | 1.27 | 1.10 | 5.2% | 0.99 |
| 2 | 1.36 | 1.51 | 1.32 | 2.9% | 0.94 |
| 3 | 1.72 | n. f. | n. f. | - | n. f. |
| 4 | 1.79 | 2.00 | 1.76 | 1.7% | 0.93 |
| 5 | 1.95 | 2.32 | 2.07 | −6.2% | 0.76 |
| 6 | 2.23 | n. f. | n. f. | - | n. f. |
| 7 | 2.51 | n. f. | n. f. | - | n. f. |
| 8 | 2.63 | 3.70 | 2.91 | −10.6% | 0.91 |
| 9 | 3.46 | 4.83 | 3.46 | 0% | 0.88 |
| Test | Numerical | Experimental | ||
|---|---|---|---|---|
| Vertical Acc. (m/s2) | Position | Vertical Acc. (m/s2) | Position | |
| 1 (PV1) | 0.50 | 11Az | 0.31 | 11Az |
| 2 (PV2) | 0.31 | 6Bz | 0.26 | 6Bz |
Disclaimer/Publisher’s Note: The statements, opinions and data contained in all publications are solely those of the individual author(s) and contributor(s) and not of MDPI and/or the editor(s). MDPI and/or the editor(s) disclaim responsibility for any injury to people or property resulting from any ideas, methods, instructions or products referred to in the content. |
© 2023 by the authors. Licensee MDPI, Basel, Switzerland. This article is an open access article distributed under the terms and conditions of the Creative Commons Attribution (CC BY) license (https://creativecommons.org/licenses/by/4.0/).
Share and Cite
Nicoletti, V.; Quarchioni, S.; Tentella, L.; Martini, R.; Gara, F. Experimental Tests and Numerical Analyses for the Dynamic Characterization of a Steel and Wooden Cable-Stayed Footbridge. Infrastructures 2023, 8, 100. https://doi.org/10.3390/infrastructures8060100
Nicoletti V, Quarchioni S, Tentella L, Martini R, Gara F. Experimental Tests and Numerical Analyses for the Dynamic Characterization of a Steel and Wooden Cable-Stayed Footbridge. Infrastructures. 2023; 8(6):100. https://doi.org/10.3390/infrastructures8060100
Chicago/Turabian StyleNicoletti, Vanni, Simone Quarchioni, Luca Tentella, Riccardo Martini, and Fabrizio Gara. 2023. "Experimental Tests and Numerical Analyses for the Dynamic Characterization of a Steel and Wooden Cable-Stayed Footbridge" Infrastructures 8, no. 6: 100. https://doi.org/10.3390/infrastructures8060100
APA StyleNicoletti, V., Quarchioni, S., Tentella, L., Martini, R., & Gara, F. (2023). Experimental Tests and Numerical Analyses for the Dynamic Characterization of a Steel and Wooden Cable-Stayed Footbridge. Infrastructures, 8(6), 100. https://doi.org/10.3390/infrastructures8060100

