Coupling Coordination of “Urban Rail Transit—Social Economy” Composite System
Abstract
:1. Introduction
2. Data and Methods
2.1. Data Sources and Data Processing
- Scientific principle;
- Objectivity principle;
- System integrity principle;
- Operability principle;
- Principle of universal representation.
2.2. Methods
2.2.1. Method Selection
- There are many evaluation indexes involved and the calculation is complicated;
- Evaluation indexes should avoid subjective qualitative judgment as far as possible, and need to objectively quantify the data;
- Indicators are not completely independent.
2.2.2. Principal Component Analysis (PCA)
2.2.3. Coupling Coordination Theory Model
3. Coupling Coordination Analysis of City Cluster in Yangtze River Delta
3.1. The Coordinated Development Level of Rail Transit and Socio-Economy System in 11 Cities of Yangtze River Delta
3.2. The Coordinated Development Level of Rail Transit and Social Economy System in the Yangtze River Delta City Cluster
4. The Development Level of “Rail Transport-Social Economy” System in Different City Clusters
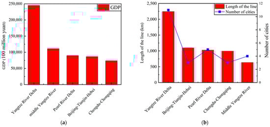
4.1. Rail Transit and Social Economic Development Level Analysis of the Three City Clusters
- (Yangtze River Delta) = 2.57;
- ∆S (Beijing-Tianjin-Hebei) = 1.39;
- ∆S (Pearl River Delta) = 2.82.
4.2. The “Rail Transit—Social Economy” Coupling and Coordinated Development Level of the Three City Clusters
5. Discussion
5.1. Problems Existing in the Development of “Rail Transit and Social-Economy” System
5.1.1. The Overall Supply of Rail Transit Is Lacking and Lags behind the Socio-Economic Development
5.1.2. Regional Development Is Unbalanced and There Is a Big Gap in Development
5.1.3. Rail Transit Relies on Government Subsidies and Suffers Heavy Losses
5.2. Suggestions and Measures for Improvement
5.2.1. Multi-Channel Financing Goes Hand in Hand with Planning
5.2.2. Technology-Oriented, Common Development of a Variety of Systems
- The core areas of first-tier cities have the following characteristics: shortage of land resources and large permanent population flow. A metro system suitable for underground operation with large volume, fast speed and no occupation of ground land can be adopted;
- Urban fast rail and light rail which are suitable for long distance and moderate carrying capacity can be used between urban core areas and suburbs or cities within city clusters;
- In the non-core areas of big cities or small and medium-sized cities, land resources are not tight. Trams are suitable, they run on the ground, they are low cost and they are flexible;
- For specific road operations, such as an airport line or long-distance high-speed railway station line, the customized system of magnetic levitation can be used. It is fast and carries medium to large volumes, but costs more to build and maintain.
5.2.3. Reduce Costs and Increase Efficiency to Improve Operating Efficiency
5.3. Shortcomings and Prospects
6. Conclusions
Author Contributions
Funding
Acknowledgments
Conflicts of Interest
Appendix A
| Year | Rail Transit System Score | Socio-Economic System Score | Coupling Degree C | Coordination Degree D |
|---|---|---|---|---|
| 2002 | 0.0000 | 0.0000 | 1.0000 | 0.0026 |
| 2003 | 0.0776 | 0.0484 | 0.7783 | 0.2215 |
| 2004 | 0.0750 | 0.1024 | 0.8439 | 0.2736 |
| 2005 | 0.1002 | 0.1584 | 0.7718 | 0.3159 |
| 2006 | 0.1137 | 0.1948 | 0.7324 | 0.3362 |
| 2007 | 0.1727 | 0.2341 | 0.8322 | 0.4114 |
| 2008 | 0.1443 | 0.2811 | 0.6655 | 0.3762 |
| 2009 | 0.1505 | 0.3436 | 0.5945 | 0.3832 |
| 2010 | 0.2876 | 0.3908 | 0.8124 | 0.5250 |
| 2011 | 0.2736 | 0.4552 | 0.7014 | 0.5056 |
| 2012 | 0.2889 | 0.5063 | 0.6683 | 0.5155 |
| 2013 | 0.3428 | 0.5645 | 0.6875 | 0.5584 |
| 2014 | 0.4655 | 0.6212 | 0.7955 | 0.6574 |
| 2015 | 0.5525 | 0.6786 | 0.8435 | 0.7206 |
| 2016 | 0.5620 | 0.7284 | 0.8020 | 0.7193 |
| 2017 | 0.7005 | 0.7947 | 0.8936 | 0.8174 |
| 2018 | 0.7528 | 0.8608 | 0.8832 | 0.8441 |
| 2019 | 0.8681 | 0.9432 | 0.9226 | 0.9141 |
| 2020 | 1.0000 | 1.0000 | 1.0000 | 1.0000 |
| Year | Rail Transit System Score | Socio-Economic System Score | Coupling Degree C | Coordination Degree D |
|---|---|---|---|---|
| 2002 | 0.0000 | 0.0000 | 1.0000 | 0.0000 |
| 2003 | 0.0754 | 0.0652 | 0.9255 | 0.2550 |
| 2004 | 0.0555 | 0.1772 | 0.5248 | 0.2471 |
| 2005 | 0.0455 | 0.2454 | 0.3853 | 0.2367 |
| 2006 | 0.1192 | 0.2509 | 0.6424 | 0.3448 |
| 2007 | 0.1641 | 0.2777 | 0.7237 | 0.3998 |
| 2008 | 0.2500 | 0.3480 | 0.8049 | 0.4906 |
| 2009 | 0.2728 | 0.3648 | 0.8239 | 0.5125 |
| 2010 | 0.3654 | 0.4773 | 0.8246 | 0.5894 |
| 2011 | 0.4035 | 0.5336 | 0.8111 | 0.6164 |
| 2012 | 0.5173 | 0.6261 | 0.8581 | 0.7004 |
| 2013 | 0.5789 | 0.6550 | 0.9036 | 0.7467 |
| 2014 | 0.6389 | 0.7121 | 0.9118 | 0.7848 |
| 2015 | 0.6561 | 0.7570 | 0.8827 | 0.7897 |
| 2016 | 0.6953 | 0.7957 | 0.8867 | 0.8130 |
| 2017 | 0.8477 | 0.8494 | 0.9982 | 0.9203 |
| 2018 | 0.9096 | 0.9059 | 0.9962 | 0.9509 |
| 2019 | 0.9805 | 0.9624 | 0.9817 | 0.9766 |
| 2020 | 1.0000 | 1.0000 | 1.0000 | 1.0000 |
| Year | Rail Transit System Score | Socio-Economic System Score | Coupling Degree C | Coordination Degree D |
|---|---|---|---|---|
| 2002 | 0.0049 | 0.0356 | 0.3665 | 0.0862 |
| 2003 | 0.0000 | 0.0000 | 0.0000 | 0.0000 |
| 2004 | 0.0211 | 0.2305 | 0.2693 | 0.1841 |
| 2005 | 0.0777 | 0.2926 | 0.4566 | 0.2908 |
| 2006 | 0.0571 | 0.3477 | 0.3413 | 0.2628 |
| 2007 | 0.1022 | 0.4056 | 0.4188 | 0.3261 |
| 2008 | 0.1486 | 0.4396 | 0.4895 | 0.3794 |
| 2009 | 0.1750 | 0.4835 | 0.5003 | 0.4059 |
| 2010 | 0.2966 | 0.6144 | 0.5738 | 0.5112 |
| 2011 | 0.3827 | 0.6842 | 0.6250 | 0.5774 |
| 2012 | 0.4275 | 0.6953 | 0.6710 | 0.6137 |
| 2013 | 0.4007 | 0.6835 | 0.6484 | 0.5928 |
| 2014 | 0.5415 | 0.7058 | 0.8008 | 0.7067 |
| 2015 | 0.6456 | 0.7470 | 0.8813 | 0.7834 |
| 2016 | 0.7684 | 0.7656 | 0.9968 | 0.8744 |
| 2017 | 0.8667 | 0.7805 | 0.9072 | 0.8643 |
| 2018 | 0.9193 | 0.9212 | 0.9980 | 0.9583 |
| 2019 | 0.9731 | 1.0000 | 0.9731 | 0.9798 |
| 2020 | 1.0000 | 0.9828 | 0.9828 | 0.9871 |
References
- Bobylev, N. Underground space as an urban indicator: Measuring use of subsurface. Tunn. Undergr. Space Technol. 2016, 55, 40–51. [Google Scholar] [CrossRef] [Green Version]
- Sterling, R.; Admiraal, H.; Bobylev, N.; Parker, H.; Godard, J.-P.; Vähäaho, I.; Rogers, C.D.F.; Shi, X.; Hanamura, T. Sustainability issues for underground space in urban areas. Proc. Inst. Civ. Eng.-Urban Des. Plan. 2012, 165, 241–254. [Google Scholar] [CrossRef]
- Admiraal, J.B.M. A bottom-up approach to the planning of underground space. Tunn. Undergr. Space Technol. 2005, 21, 464–465. [Google Scholar] [CrossRef]
- Amirhossein, S. Development of Subsurface Spaces by Sustainable Urban Development Approach. QUID Investig. Cienc. Tecnol. 2017, 1, 1679–1687. [Google Scholar]
- Ferbrache, F.; Knowles, R.D. City boosterism and place-making with light rail transit: A critical review of light rail impacts on city image and quality. Geoforum 2017, 80, 103–113. [Google Scholar] [CrossRef]
- Han, B.; Yang, Z.; Yu, Y.; Qian, L.; Chen, J.; Ran, J.; Sun, Y.; Xi, Z.; Lu, F. Statistical Analysis of Urban Rail Transit Operation in the World in 2020: A Review. Urban Rapid Rail Transit 2021, 34, 5–11. [Google Scholar]
- Hou, X.F.; Mei, J.P.; Zuo, C.; Liu, G.Y. Statistics and Analysis of Urban Rail Transit in 2020. Urban Rapid Rail Transit 2021, 34, 1–9. [Google Scholar]
- Li, X.; Wang, R.; Gu, Q.; Zhou, D.; Xin, Y. Prediction of strategic demand of urban underground space development. Earth Sci. Front. 2019, 26, 32–38. [Google Scholar]
- Quan, Y.S.; Yang, T.; Zhao, Y.X.; Jing, G.S.; Chen, B.Z.; Zhang, X.D.; Yang, Z.G.; Yin, G.T.; Zong, C.L.; Chen, Y.Y.; et al. Discussion on the Guidance of the General Office of the State Council for Further Enhancing the Administration of Planning & Construction of Urban Rail Transit. Urban Transp. China 2018, 16, 10–18. [Google Scholar]
- Bobylev, N. Mainstreaming sustainable development into a city’s Master plan: A case of Urban Underground Space use. Land Use Policy 2009, 26, 1128–1137. [Google Scholar] [CrossRef]
- Volchko, Y.; Norrman, J.; Ericsson, L.O.; Nilsson, K.L.; Markstedt, A.; Oberg, M.; Mossmark, F.; Bobylev, N.; Tengborg, P. Subsurface planning: Towards a common understanding of the subsurface as a multifunctional resource. Land Use Policy 2020, 90, 104316. [Google Scholar] [CrossRef]
- Li, X.Z.; Li, C.C.; Aurele, P.; Wu, W.B.; Li, H.Q.; Sun, L.P.; Li, C. Multiple resources and their sustainable development in Urban Underground Space. Tunn. Undergr. Space Technol. 2016, 55, 59–66. [Google Scholar] [CrossRef]
- Bobylev, N.; Sterling, R. Urban underground space: A growing imperative Perspectives and current research in planning and design for underground space use. Tunn. Undergr. Space Technol. 2016, 55, 1–4. [Google Scholar] [CrossRef]
- Bhattacharjee, S.; Goetz, A.R. The rail transit system and land use change in the Denver metro region. J. Transp. Geogr. 2016, 54, 440–450. [Google Scholar] [CrossRef]
- Cervero, R. Mixed land-uses and commuting: Evidence from the American housing survey. Transp. Res. Part A Policy Pract. 1996, 30, 361–377. [Google Scholar] [CrossRef]
- Bae, C.-H.C.; Jun, M.-J.; Park, H. The impact of Seoul’s subway Line 5 on residential property values. Transp. Policy 2003, 10, 85–94. [Google Scholar] [CrossRef]
- Jun, E.; Lee, S. The Effects of Rapid Rail Transit on Balanced Regional Development. Seoul Stud. 2007, 8, 73–87. [Google Scholar]
- Mallikarjun, S.; Lewis, H.F.; Sexton, T.R. Operational performance of US public rail transit and implications for public policy. Socio-Econ. Plan. Sci. 2014, 48, 74–88. [Google Scholar] [CrossRef]
- Grube-Cavers, A.; Patterson, Z. Urban rapid rail transit and gentrification in Canadian urban centres: A survival analysis approach. Urban Stud. 2015, 52, 178–194. [Google Scholar] [CrossRef]
- Lee, Y.H.; Jin, J. The Effects of Public Transit on Housing Prices: Focused on UI Light Rail Transit. J. Real Estate Policy Res. 2018, 19, 175–197. [Google Scholar]
- Baker, D.M.; Kim, S. What remains? The influence of light rail transit on discretionary income. J. Transp. Geogr. 2020, 85, 102709. [Google Scholar] [CrossRef]
- Sekar, S.P.; Gangopadhyay, D. Impact of Rail Transit on Land Use and Development: Case Study of Suburban Rail in Chennai. J. Urban Plan. Dev. 2017, 143, 04016038. [Google Scholar] [CrossRef]
- Yun, D.S. Analyzing the Relationship between Rail Transit Ridership and Land Use Characteristics in Access Areas of Urban Rail Stations—Focused on Temporal Variations of Rail Transit Ridership at Daegu Urban Rail Stations. J. Transp. Res. 2015, 22, 25–41. [Google Scholar]
- Meng, L. Study on the Interaction between Transit and Urban Land Use. Ph.D. Thesis, Southwest Jiaotong University, Chengdu, China, 2003. [Google Scholar]
- Tan, Z.Z.; Li, S.Y.; Li, X.; Liu, X.P.; Chen, Y.M.; Li, W.X. Spatio-temporal effects of urban rail transit on complex land-use change. Acta Geogr. Sin. 2017, 72, 850–862. [Google Scholar]
- Pan, H.X.; Ren, C.Y.; Yang, T.Y. An empirical study on the impact of Shanghai rail transit on land use in station area. Urban Plan. Forum 2007, 4, 92–97. [Google Scholar]
- Han, S.M.; Han, F.; Zhang, S.J.; Li, Y.; Zhang, J.C. Analysis on the coupling effect of Xi’an-Yinchuan high speed railway and economy development in Shanxi-Gansu-Ningxia District railway and economy development in Shanxi-Gansu-Ningxia District. IOP Conf. Ser. Earth Environ. Sci. 2021, 693, 012131. [Google Scholar] [CrossRef]
- Li, M.M. Analysis of coupling coordination between urban rail transit operation scale and economic development. J. Math. Pract. Theory 2021, 51, 302–308. [Google Scholar]
- Guo, J.M.; Han, L.F.; Ma, L.L. Research of Urban Rail Transit Construction level based on the principal component analysis from the perspective of DEA. J. Beijing Jiaotong Univ. 2015, 39, 90–94. [Google Scholar]
- Shang, K.Q.; Shuai, B.; Huang, W.C.; Zuo, B.R. Research on the Collaborative Development of “Urban Rail Transit-Economy” Composite System. J. Transp. Eng. Inf. 2021, 19, 84–90. [Google Scholar]
- Liu, W.W.; Wang, J. Evaluation of coupling coordination degree between urban rail transit and land use. Int. J. Commun. Syst. 2021, 34, e4015. [Google Scholar] [CrossRef]
- Xue, F.; Zou, B.; Dai, W.T. Correlation Analysis of Tanshan Rail Transit Industry and Regional Development. China Transp. Rev. 2018, 40, 107–110. [Google Scholar]
- Li, D.W. Modeling and Simulation of Microscopic Pedestrian Flow in MTR Hubs. Ph.D. Thesis, Beijing Jiaotong University, Beijing, China, 2007. [Google Scholar]
- Ji, Y.P. Research on Evaluation of Coordinated Development between Beijing-Tianjin-Hebei’s Transportation and Economy at the Context of Integration. Ph.D. Thesis, Beijing Jiaotong University, Beijing, China, 2016. [Google Scholar]
- Guo, Y.Y.; Liu, P.; Wu, Y. Development of a Method for the Construction Schedule of Urban Rail Transit Lines. J. Wuhan Univ. Technol. 2013, 35, 75–80. [Google Scholar]
- Duan, Z. The Coordination Research between Urban Rail Transit Construction and Economic and Social Development. Master’s Thesis, Huazhong University of Science & Technology, Wuhan, China, 2016. [Google Scholar]
- Wang, G.B. Analysis of Coupling Coordination Degree between Urban Rail Transit and Social Economic Development. Master’s Thesis, Chongqing University, Chongqing, China, 2018. [Google Scholar]
- Xue, L.; Zhao, S.C. Study on the coupling coordination degree of urban rail transit operation system. Sci. -Technol. Manag. 2020, 22, 67–73. [Google Scholar]
- Wang, S.J.; Kong, W.; Ren, L.; Zhi, D.D.; Dai, B.T. Research on misuses and modification of coupling coordination degree model in China. J. Nat. Resour. 2021, 36, 793–810. [Google Scholar] [CrossRef]
- Liu, C.L. Analysis of common errors in coupling degree calculation. J. Huaiyin Teach. Coll. (Nat. Sci. Ed.) 2017, 16, 18–22. [Google Scholar]
- Zheng, Y. Research on Investment and Financing Mode of Rail Transit from the Perspective of PPP. Master’s Thesis, Xiamen University, Xiamen, China, 2017. [Google Scholar]
- Bai, N. A Comparison of Different UMT Investment and Operational Modes. Urban Mass Transit 2003, 4, 25–27. [Google Scholar]
- Zhang, X.T.; Li, M.Y.; Liu, L.Q. Business related to urban rail transit in Japan and its implications in China. Urban Mass Transit 2021, 34, 160–165. [Google Scholar]
- Sheng, L.F.; Rong, C.H.; Song, Y. The Implementation Mode of Urban Rail Based Transit Joint Development-Experiences from United States, Japan and Hong Kong. In Applied Mechanics and Materials; Li, S., Ed.; Trans Tech Publications Ltd.: Zurich, Switzerland, 2012; Volume 97–98, p. 1149. [Google Scholar]
- Shi, Z.H. Planning for the Construction of urban rail transit. Urban Mass Transit 2004, 2, 12–15. [Google Scholar]
- Yuan, Y.; Lou, S. Research on Urban Rail Transit Financing Operation Modes. In Proceedings of the International Conference on Management Science and Engineering 18th Conference Proceedings, Rome, Italy, 13–15 September 2011; Lan, H., Yang, Y.H., Eds.; IEEE: New York, NY, USA, 2011; p. 1174. [Google Scholar]
- Zheng, J.F.; Liu, H.Y. Comprehensive Development of Rail Transport and Land Resources in Hong Kong. China Railw. Sci. 2002, 23, 1–5. [Google Scholar]
- He, S.Y.; Tao, S.; Hou, Y.T.; Jiang, W.H. Mass Transit Railway, transit-oriented development and spatial justice: The competition for prime residential locations in Hong Kong since the 1980s. Town Plan. Rev. 2018, 89, 467–493. [Google Scholar] [CrossRef]










| Subsystem | First-Level Indicator | Secondary Index | +/− | Unit |
|---|---|---|---|---|
| Urban rail transit system | Line network development scale | Length of the line | + | km |
| Number of lines | + | - | ||
| Number of stations | + | - | ||
| Number of assigned trains | + | - | ||
| Rail transit density | + | km/km2 | ||
| Network operation status | Number of system types | + | - | |
| Annual passenger volume | + | 10,000 times | ||
| Average daily passenger transport intensity | − | 10,000 times /km | ||
| Social and economic development system | Urban social development | Construction land area | + | km2 |
| Number of resident population | + | 10,000 persons | ||
| Urbanization rate | + | % | ||
| Urban economic development | General public finance budget revenue | + | 108 yuan | |
| GDP | + | 108 yuan | ||
| GDP per capita | + | Yuan | ||
| Urban disposable per capita income | + | Yuan | ||
| Gross fixed asset formation | + | 108 yuan | ||
| Urban infrastructure construction | Rail transit investment | + | 108 yuan | |
| Urban road area | + | 10,000 m2 | ||
| Road area per capita | + | m2 | ||
| Length of urban road | + | km | ||
| Density of road network in built-up area | − | km/km2 |
| Value | [0, 0.2) | [0.2, 04) | [0.4, 0.6) | [0.6, 0.8) | [0.8, 1.0] |
|---|---|---|---|---|---|
| C | Narrow coupling | Low coupling | Middle coupling | Good coupling | High coupling |
| D | Serious-imbalance | General-imbalance | Narrow-coordination | General-coordination | High-coordination |
| Color- classification | ![]() | ||||
Publisher’s Note: MDPI stays neutral with regard to jurisdictional claims in published maps and institutional affiliations. |
© 2022 by the authors. Licensee MDPI, Basel, Switzerland. This article is an open access article distributed under the terms and conditions of the Creative Commons Attribution (CC BY) license (https://creativecommons.org/licenses/by/4.0/).
Share and Cite
Wang, Z.; Li, X.; Bobylev, N.; Li, S.; Liu, J. Coupling Coordination of “Urban Rail Transit—Social Economy” Composite System. Infrastructures 2022, 7, 56. https://doi.org/10.3390/infrastructures7040056
Wang Z, Li X, Bobylev N, Li S, Liu J. Coupling Coordination of “Urban Rail Transit—Social Economy” Composite System. Infrastructures. 2022; 7(4):56. https://doi.org/10.3390/infrastructures7040056
Chicago/Turabian StyleWang, Zhiheng, Xiaozhao Li, Nikolai Bobylev, Shuchen Li, and Jiangfeng Liu. 2022. "Coupling Coordination of “Urban Rail Transit—Social Economy” Composite System" Infrastructures 7, no. 4: 56. https://doi.org/10.3390/infrastructures7040056
APA StyleWang, Z., Li, X., Bobylev, N., Li, S., & Liu, J. (2022). Coupling Coordination of “Urban Rail Transit—Social Economy” Composite System. Infrastructures, 7(4), 56. https://doi.org/10.3390/infrastructures7040056


