Dynamic Identification of Bridges Using Multiple Synchronized Cameras and Computer Vision
Abstract
1. Introduction
2. Methodology
- Setup and image collection;
- Image processing and tracking;
- Post processing and frequency-domain analysis.
2.1. Setup and Image Collection
2.2. Image Processing and Tracking
2.3. Post Processing and Frequency-Domain Analysis
3. Case Study
Experimental Setting
4. Results
4.1. Time Histories
4.2. Natural Frequencies
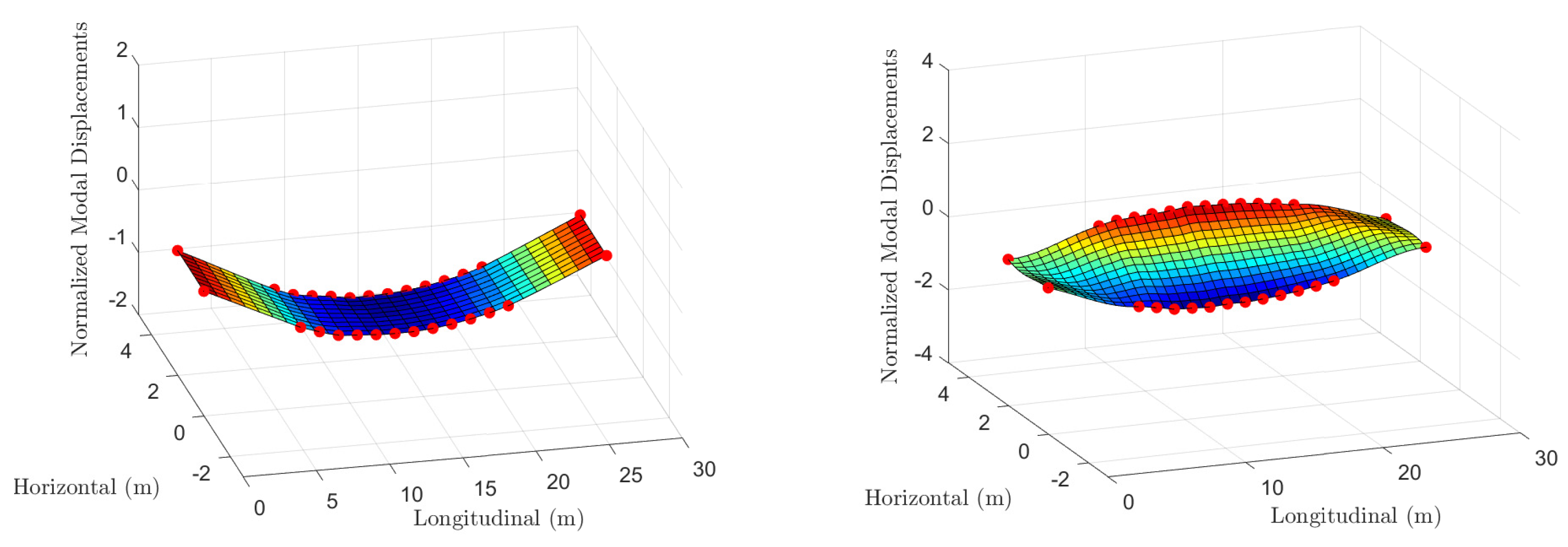
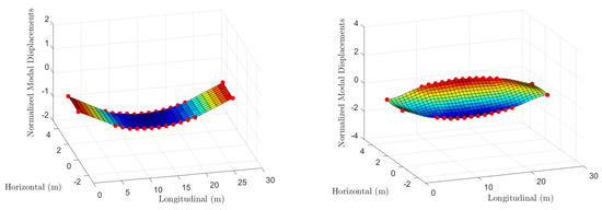
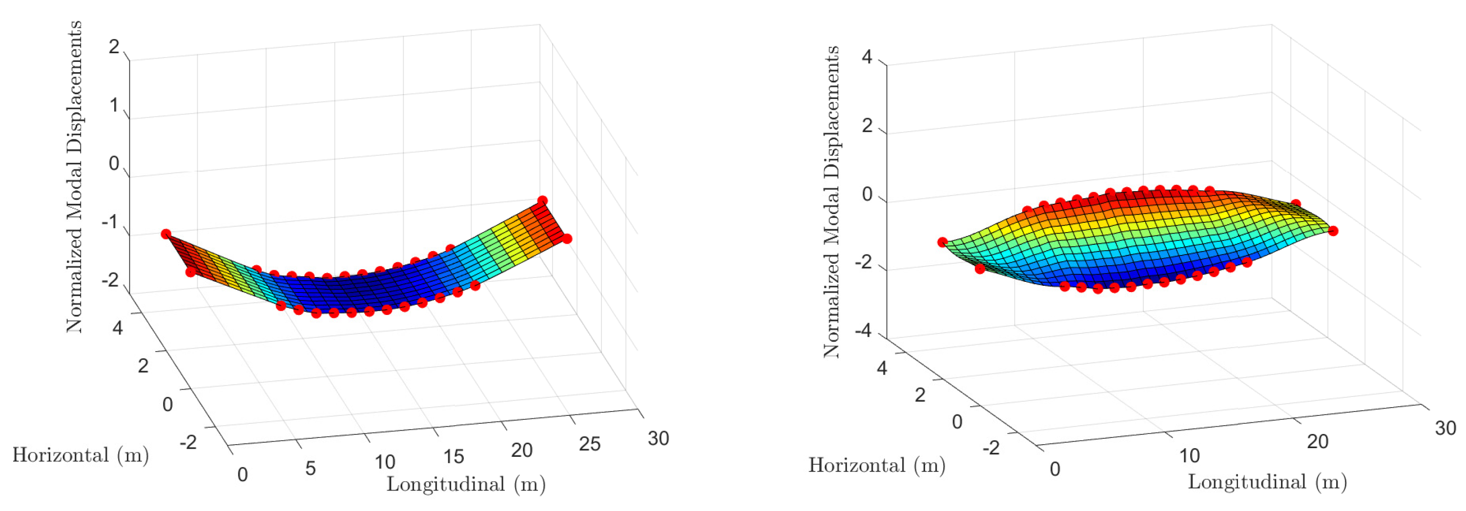
4.3. Mode Shapes
5. Conclusions
- Natural frequencies obtained through a multi-camera CV-based system match the accuracy of those obtained using traditional contact-based accelerometers, with differences of 3.5%
- The deployment of multiple synchronized cameras allowed one to measure the displacements of both sides of the bridge, making it possible to reconstruct the torsional vibration mode shape.
- The mode shapes are reconstructed from the region of the bridge undergoing the largest motions (i.e., between 1/4 span and 3/4 span of the bridge). This is a strategic choice made using engineering judgment and knowledge of expected structural vibrations. It is still possible to reconstruct all the identified mode shapes of the bridge by exploiting the symmetry of the structure and computed data.
Author Contributions
Funding
Informed Consent Statement
Data Availability Statement
Acknowledgments
Conflicts of Interest
References
- Scalbi, A.; Zani, G.; Di Prisco, M.; Mannella, P. The role of maintenance plans on serviceability and life extension. Struct. Concr. 2018, 24, 127–142. [Google Scholar] [CrossRef]
- Latham, A.; Layton, J. Social infrastructure and the public life of cities: Studying urban sociality and public spaces. Geogr. Compass 2019, 13, e12444. [Google Scholar] [CrossRef]
- Palei, T. Assessing the Impact of Infrastructure on Economic Growth and Global Competitiveness. Procedia Econ. Financ. 2015, 23, 168–175. [Google Scholar] [CrossRef]
- Brownjhon, J. Structural Health Monitoring of Civil Infrastructures. Philos. Trans. R. Soc. A Math. Phys. Eng. Sci. 2007, 365, 589–622. [Google Scholar] [CrossRef]
- Çatbas, F.N.; Kijewski-Correa, T.; Aktan, E. Structural Identification of Constructed Systems: Approaches, Methods, and Technologies for Effective Practice of St-Id; American Society of Civil Engineers: Reston, VA, USA, 2013. [Google Scholar] [CrossRef]
- Goulet, J.-A.; Kripakaran, P.; Smith, I.F.C. Multimodel Structural Performance Monitoring. J. Struct. Eng. 2010, 136, 1309–1318. [Google Scholar] [CrossRef]
- Brincker, R.; Zhang, L.; Andersen, P. Modal identification of output-only systems using frequency domain decomposition. Smart Mater. Struct. 2001, 10, 441. [Google Scholar] [CrossRef]
- Brincker, R.; Ventura, C. Introduction to Operational Modal Analysis; John Wiley & Sons: Hoboken, NJ, USA, 2015. [Google Scholar] [CrossRef]
- Giordano, P.F.; Quqa, S.; Limongelli, M.P. Statistical approach for vibration-based damage localization in civil infrastructures using smart sensor networks. Infrastructures 2021, 6, 22. [Google Scholar] [CrossRef]
- Domaneschi, M.; Limongelli, M.P.; Martinelli, L. Damage detection in a suspension bridge model using the Interpolation Damage Detection Method. In Bridge Maintenance, Safety, Management, Resilience and Sustainability, Proceedings of the Sixth International Conference on Bridge Maintenance, Safety and Management, Stresa, Italy, 8–12 July 2012; CRC Press: Boca Raton, FL, USA, 2012. [Google Scholar] [CrossRef]
- Nassif, H.H.; Gindy, M.; Davis, J. Comparison of laser Doppler vibrometer with contact sensors for monitoring bridge deflection and vibration. NDT E Int. 2005, 38, 213–218. [Google Scholar] [CrossRef]
- Ebrahimkhanlou, A.; Farhidzadeh, A.; Salamone, S. Multifractal analysis of crack patterns in reinforced concrete shear walls. Struct. Health Monit. 2016, 15, 81–92. [Google Scholar] [CrossRef]
- Limongelli, M.P.; Gentile, C.; Biondini, F.; di Prisco, M.; Ballio, F.; Zonno, G.; Borlenghi, P.; Bianchi, S.; Capacci, L.; Anghileri, M.; et al. Bridge structural monitoring: The Lombardia regional guidelines. Struct. Infrastruct. Eng. 2024, 20, 461–484. [Google Scholar] [CrossRef]
- Di Prisco, M.; Colombo, M.; Martinelli, P. Structural Aspects of the Collapse of a RC Half-Joint Bridge: Case of the Annone Overpass. J. Bridge Eng. 2023, 28, 0502300. [Google Scholar] [CrossRef]
- Komarizadehasl, S.; Ramos, G.; Turmo, J.; Lozano-Galant, J.A.; Torralba, V.; Haiying, M. Improving the resolution and accuracy of low-cost Arduino-based accelerometers. In Life-Cycle of Structures and Infrastructure Systems; Biondini, F., Ed.; Taylor & Francis: Abingdon, UK, 2023. [Google Scholar] [CrossRef]
- Ferraris, C.; Aprimo, G.; Pettiti, G. Computer vision and image processing in Structural Health Monitoring: Overview of recent applications. Signals 2023, 4, 539–574. [Google Scholar] [CrossRef]
- Stephen, G.A.; Brownjohn, J.M.W.; Taylor, C.A. Measurements of Static and Dynamic Displacement from Visual Monitoring of the Humber Bridge. Eng. Struct. 1993, 15, 197–208. [Google Scholar] [CrossRef]
- Bai, Y.; Demir, A.; Yilmaz, A.; Sezen, H. Assessment and monitoring of bridges using various camera placements and structural analysis. J. Civ. Struct. Health Monit. 2024, 14, 321–337. [Google Scholar] [CrossRef]
- Bai, Y.; Sezen, H.; Yilmaz, A.; Qin, R. Bridge vibration measurements using different camera placements and techniques of computer vision and deep learning. Adv. Bridge Eng. 2023, 4, 25. [Google Scholar] [CrossRef]
- Lydon, D.; Lydon, M.; Kromanis, R.; Dong, C.-Z.; Catbas, N.; Taylor, S. Bridge Damage Detection Approach Using a Roving Camera Technique. Sensors 2021, 21, 1246. [Google Scholar] [CrossRef]
- Kromanis, R.; Xu, Y.; Lydon, D.; Martinez, d.R.J.; Al-Habaibeh, A. Measuring Structural Deformations in the Laboratory Environment Using Smartphones. Sec. Struct. Sens. Control Asset Manag. 2019, 5, 44. [Google Scholar] [CrossRef]
- GoPro Web Site and Its Comparison of Cameras. Available online: https://gopro.com//en/us/compare (accessed on 20 November 2024).
- Gordan, M.; Chao, O.Z.; Sabbagh-Yazdi, S.-R.; Wee, L.K.; Ghaedi, K.; Ismail, Z. From Cognitive Bias toward Advanced Computational Intelligence for Smart Infrastructure Monitoring. Front. Psychol. 2022, 13, 846610. [Google Scholar] [CrossRef]
- Gordan, M.; Razak, H.A.; Ismail, Z.; Ghaedi, K. Recent Developments in Damage Identification of Structures Using Data Mining. Lat. Am. J. Solids Struct. 2017, 14, 2373–2401. [Google Scholar] [CrossRef]
- Kromanis, R.; Kripakaran, P. A multiple camera position approach for accurate displacement measurement using computer vision. J. Civ. Struct. Health Monit. 2021, 11, 661–678. [Google Scholar] [CrossRef]
- Yang, Y.-S. Measurement of Dynamic Responses from Large Structural Tests by Analysing Non-synchronized videos. Sensors 2019, 19, 3520. [Google Scholar] [CrossRef]
- Del Sal, R.; Dal, B.L.; Turco, E.; Fusiello, A.; Zanarini, A.; Rinaldo, R.; Gardonio, P. Structural vibration measurement with multiple synchronous cameras. Mech. Syst. Signal Process. 2021, 157, 107742. [Google Scholar] [CrossRef]
- Hacıefendioglu, K.; Kahya, V.; Limongelli, M.G.; Okur, F.Y.; Altunıs¸ık, A.C.; Aslan, T.; Pembeoglu, S.; Duman, C.; Bostan, A.; Aleit, H. Applications of optical flow methods and computer vision in structural health monitoring for enhanced modal identification. Structures 2024, 69, 107414. [Google Scholar] [CrossRef]
- Garrido-Jurado, S.; Muñoz-Salinas, R.; Madrid-Cuevas, F.J.; Marín-Jiménez, M.J. Automatic generation and detection of highly reliable fiducial markers under occlusion. Pattern Recognit. 2014, 47, 2280–2292. [Google Scholar] [CrossRef]
- Wang, W.; An, R.; Huang, H.; Li, J.; Niu, J.; Liao, H.; Jiao, J.; Li, Z.; Tao, Y. Vibration Analysis of Low Height-to-Span Ratio Pedestrian Bridge under Human-Induced Excitation. Adv. Civ. Eng. 2023, 2023, 5515450. [Google Scholar] [CrossRef]
- Zhen, B.; Lu, S.; Ouyang, L.; Yuan, W. Assessment of Vertical Dynamic Responses in a Cracked Bridge under a Pedestrian-Induced Load. Buildings 2024, 14, 2997. [Google Scholar] [CrossRef]
- Lewis, J.P. Fast Normalized Cross-Correlation; Industrial Light & Magic: San Francisco, CA, USA, 1995. [Google Scholar]
- Haralick, R.M.; Shapiro, L.G. Computer and Robot Vision, Volume II; Addison-Wesley: Boston, MA, USA, 1992; pp. 316–317. [Google Scholar]
- Kromanis, R. Characterizing Footbridge Response from Cyclist Crossings with Computer Vision-Based Monitoring. In Proceedings of the International Workshop on Civil Structural Health Monitoring, CSHM-8 Workshop, Naples, Italy, 31 March–2 April 2021; pp. 83–95. [Google Scholar]
- Marchenko, A.; Kromanis, R.; Dorée, A.G. Characterizing Bridge Thermal Response for Bridge Load Rating and Condition Assessment: A Parametric Study. Infrastructures 2024, 9, 20. [Google Scholar] [CrossRef]
- Gazidede, B. An Investigation into Effects of Temperature Distribution on Structural Dynamics of Bridges: A Comparative Study of Finite Element Methods and Field Data. Bachelor’s Thesis, University of Twente, Enschede, The Netherlands, 18 June 2024. [Google Scholar]









| Jump 1 | Jump 2 | Jump 3 | Mean | ||||
|---|---|---|---|---|---|---|---|
| [Hz] | [Hz] | [Hz] | [Hz] | [Hz] | [Hz] | [Hz] | |
| Camera 1 | 3.00 | 3.70 | 2.90 | 3.00 | 3.70 | 2.97 | 3.70 |
| Camera 2 | 3.00 | 3.70 | 3.00 | 3.00 | 3.70 | 3.00 | 3.70 |
| Camera 3 | 3.00 | 3.70 | 2.90 | 3.00 | 3.70 | 2.97 | 3.70 |
| Camera 4 | 3.00 | 3.00 | 3.00 | 3.00 | 3.70 | 3.00 | 3.0 |
| A1 | 3.00 | 3.75 | 3.00 | 3.00 | 3.75 | 3.00 | 3.75 |
| A2 | 3.00 | 3.75 | 3.00 | 3.00 | 3.75 | 3.00 | 3.75 |
| A3 | 3.00 | 3.75 | 3.00 | 3.00 | 3.75 | 3.00 | 3.75 |
| A4 | 3.00 | 3.75 | 3.00 | 3.00 | 3.75 | 3.00 | 3.75 |
Disclaimer/Publisher’s Note: The statements, opinions and data contained in all publications are solely those of the individual author(s) and contributor(s) and not of MDPI and/or the editor(s). MDPI and/or the editor(s) disclaim responsibility for any injury to people or property resulting from any ideas, methods, instructions or products referred to in the content. |
© 2025 by the authors. Licensee MDPI, Basel, Switzerland. This article is an open access article distributed under the terms and conditions of the Creative Commons Attribution (CC BY) license (https://creativecommons.org/licenses/by/4.0/).
Share and Cite
Panigati, T.; Abbozzo, A.; Pace, M.A.; Temur, E.; Cigan, F.; Kromanis, R. Dynamic Identification of Bridges Using Multiple Synchronized Cameras and Computer Vision. Infrastructures 2025, 10, 37. https://doi.org/10.3390/infrastructures10020037
Panigati T, Abbozzo A, Pace MA, Temur E, Cigan F, Kromanis R. Dynamic Identification of Bridges Using Multiple Synchronized Cameras and Computer Vision. Infrastructures. 2025; 10(2):37. https://doi.org/10.3390/infrastructures10020037
Chicago/Turabian StylePanigati, Tommaso, Alessia Abbozzo, Maria Antonietta Pace, Eray Temur, Filip Cigan, and Rolands Kromanis. 2025. "Dynamic Identification of Bridges Using Multiple Synchronized Cameras and Computer Vision" Infrastructures 10, no. 2: 37. https://doi.org/10.3390/infrastructures10020037
APA StylePanigati, T., Abbozzo, A., Pace, M. A., Temur, E., Cigan, F., & Kromanis, R. (2025). Dynamic Identification of Bridges Using Multiple Synchronized Cameras and Computer Vision. Infrastructures, 10(2), 37. https://doi.org/10.3390/infrastructures10020037

