Collision Milling of Oil Shale Ash as Constituent Pretreatment in Concrete 3D Printing
Abstract
1. Introduction
2. Materials and Methods
- Collection of OSA from three power plants;
- Pretreatment of OSA with collision milling in a laboratory-scale disintegrator;
- Physical, chemical, and mineralogical characterization of OSA before and after pretreatment;
- Design of printable concrete compositions containing OSA;
- Proof of concept—testing the strength and printability of a small number of concrete compositions.
2.1. Oil Shale Ash
2.2. Collision Milling Pretreatment
2.3. Characterization of OSA
2.3.1. Physical Characteristics
- Moisture content;
- Particle density;
- Particle size distribution (PSD);
- Particle morphology.
2.3.2. Chemical Characteristics
- Elemental composition;
- Free calcium oxide (CaO);
- Soundness;
- Chemical reactivity.
2.3.3. Mineralogical Characteristics
2.4. Characterization of Printable Concrete
2.4.1. Mechanical Properties
2.4.2. Printability Assessment
3. Results
3.1. Properties of OSA
3.2. Properties of Printable Concrete Containing OSA
4. Discussion
5. Conclusions
- The particles of the ash extracted from the novel integrated desulfurizer, namely, OSA-Ees(nid), are mostly globular and smooth, resembling the cenospheres found in the FA from coal power plants. Such particles are formed at high combustion temperatures. The particles of the other two types of ash extracted from flue gasses and the bottom ash particles are predominantly angular;
- The LOI value of OSA-Ees(nid) is <10 wt%, while in other types of ash, this value is significantly higher (~15–30 wt%). This indicates that in the case of the former, the combustion temperature is sufficiently high to burn the majority of kerogen and decompose the minerals;
- The primary components of all tested ashes are SiO2 and CaO. In ash extracted from flue gasses, they constitute ~20–30 and ~30–40 wt%, respectively, while in the bottom ash, they amount to ~5 and 50 wt% accordingly. In OSA-Ees(nid), the majority of these two oxides are consumed to form C2S, which is found as an active β polymorph as well as a rather inert γ polymorph;
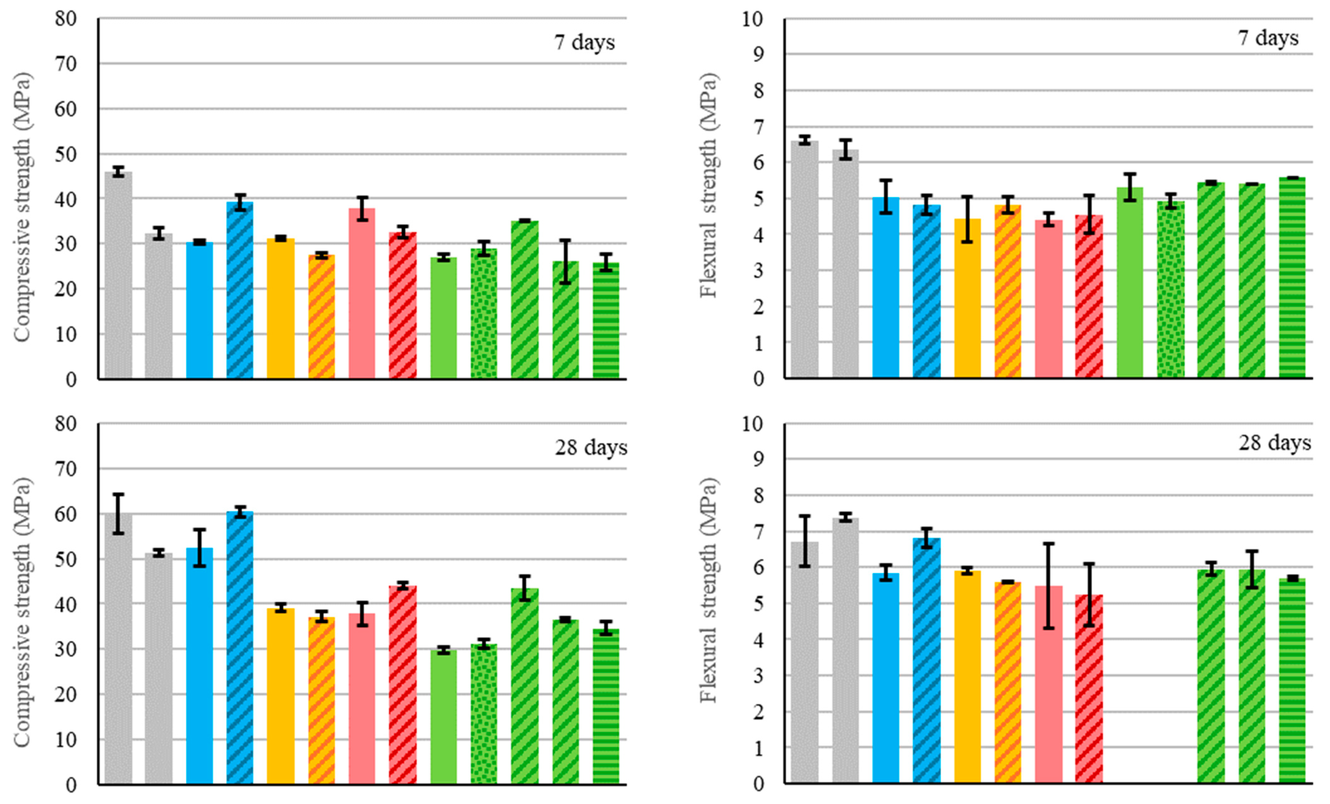
- The compressive and flexural strength of the concrete formulation containing OSA-Ees(nid) was approximately the same as found in the reference formulation, amounting to ~60 and ~7 MPa at 56 days, respectively.
- 5.
- The size of the OSA-Ees(nid) particles is, on average, somewhat <10 μm and, overall, this ash is finer than CEM I, even before the pretreatment. Milling at 100 Hz only reduces the particles >10 μm, thus increasing the peak in the PSD curve at ~6 μm from ~6 to ~8 wt%;
- 6.
- In the case of the other three types of ash, which are coarser than CEM I, the milling shifts the PSD curve peak towards 10 μm, so that the overall results indicate that milling is effective only for particles >10 μm. The resulting change is significant only in the case of OSWA-Auv(ba);
- 7.
- Collision milling of the three types of flue gas ash resulted in a more than seven-fold increase of reactivity measured with the isothermal calorimetry. Namely, the released heat increased from ~10–20 J g−1 measured before milling to ~100–150 J g−1 after milling at 100 Hz;
- 8.
- Despite the increased reactivity measured by isothermal calorimetry, the mechanical properties of concrete formulations did not significantly improve when milled ash was used compared to their untreated counterparts. The only significant difference was found in OSWA-Auv(ba);
- 9.
- Concrete formulations incorporating either OSA-Ees(nid) or OSA-Ees(nid)/100 were checked for printability on a laboratory-scale gantry printer. No significant differences between the two were observed in the slug and the direct buildability tests. The yield stress calculated from the slug test was in a narrow range between ~1000 and 1200 Pa, including the reference formulation, while the yield stress calculated from the direct buildability test of the three formulations was between ~1500 and 2000 Pa.
Author Contributions
Funding
Data Availability Statement
Acknowledgments
Conflicts of Interest
References
- Wang, N.; Xu, Z.; Liu, Z. Innovation in the construction sector: Bibliometric analysis and research agenda. J. Eng. Technol. Manag. 2023, 68, 101747. [Google Scholar] [CrossRef]
- Reichstein, T.; Salter, A.J.; Gann, D.M. Last among equals: A comparison of innovation in construction, services and manufacturing in the UK. Constr. Manag. Econ. 2005, 23, 631–644. [Google Scholar] [CrossRef]
- Sawhney, A.; Riley, M.; Irizarry, J. Construction 4.0: An Innovation Platform for the Built Environment, 1st ed.; Sawhney, A., Riley, M., Irizarry, J., Eds.; Routledge: Abingdon, OX, UK; New York, NY, USA, 2020. [Google Scholar]
- Sivam, A.; Trasente, T.; Karuppannan, S.; Chileshe, N. The impact of an ageing workforce on the construction industry in Australia. In Valuing People in Construction, 1st ed.; Emuze, F., Smallwood, J., Eds.; Routledge: Abingdon, OX, UK; New York, NY, USA, 2017. [Google Scholar]
- Clarke, L.; Michielsens, E.; Snijders, S.; Wall, C. ‘No More Softly, Softly’: Review of Women in the Construction Workforce; University of Westminster: London, UK, 2015. [Google Scholar]
- French, E.; Strachan, G. Women in the construction industry: Still the outsiders. In Valuing People in Construction, 1st ed.; Emuze, F., Smallwood, J., Eds.; Routledge: Abingdon, OX, UK; New York, NY, USA, 2017. [Google Scholar]
- Wierzbicki, M.; de Silva, C.W.; Krug, D.H. BIM—History and trends. In Proceedings of the International Conference on Construction Applications of Virtual Reality, Weimar, Germany, 3–4 November 2011. [Google Scholar]
- Borkowski, A.S. Evolution of BIM: Epistemology, genesis and division into periods. J. Inf. Technol. Constr. 2023, 28, 646–661. [Google Scholar] [CrossRef]
- Ma, G.; Buswell, R.; Leal da Silva, W.R.; Wang, L.; Xu, J.; Jones, S.Z. Technology readiness: A global snapshot of 3D concrete printing and the frontiers for development. Cem. Concr. Res. 2022, 156, 106774. [Google Scholar] [CrossRef]
- Wangler, T.; Lloret, E.; Reiter, L.; Hack, N.; Gramazio, F.; Kohler, M.; Bernhard, M.; Dillenburger, B.; Buchli, J.; Roussel, N.; et al. Digital concrete: Opportunities and challenges. RILEM Tech. Lett. 2016, 1, 67–75. [Google Scholar] [CrossRef]
- Buswell, R.A.; Leal de Silva, W.R.; Jones, S.Z.; Dirrenberger, J. 3D printing using concrete extrusion: A roadmap for research. Cem. Concr. Res. 2018, 112, 37–49. [Google Scholar] [CrossRef]
- Wangler, T.; Pileggi, R.; Gürel, S.; Flatt, R.J. A chemical process engineering look at digital concrete processes: Critical step design, inline mixing, and scaleup. Cem. Concr. Res. 2022, 155, 106782. [Google Scholar] [CrossRef]
- Bos, F.P.; Menna, C.; Pradena, M.; Kreiger, E.; da Silva, W.R.L.; Rehman, A.U.; Weger, D.; Wolfs, R.J.M.; Zhang, Y.; Ferrara, L.; et al. The realities of additively manufactured concrete structures in practice. Cem. Concr. Res. 2022, 156, 106746. [Google Scholar] [CrossRef]
- Kreiger, M.; Kreiger, E.; Mansour, S.; Monkman, S.; Delavar, M.A.; Sideris, P.; Roberts, C.; Friedell, M.; Platt, S.; Jones, S. Additive construction in practice—Realities of acceptance criteria. Cem. Concr. Res. 2024, 186, 107652. [Google Scholar] [CrossRef]
- Scrivener, K.; Martirena, F.; Bishnoi, S.; Maity, S. Calcined clay limestone cements (LC3). Cem. Concr. Res. 2018, 114, 49–56. [Google Scholar] [CrossRef]
- Scrivener, K.L.; John, V.M.; Gartner, E.M. Eco-efficient cements: Potential economically viable solutions for a low-CO2 cement-based materials industry. Cem. Concr. Res 2018, 114, 2–26. [Google Scholar] [CrossRef]
- Kahru, A.; Põllumaa, L. Environmental hazard of the waste streams of Estonian oil shale industry: An ecotoxicological review. Oil Shale 2006, 23, 53. [Google Scholar] [CrossRef]
- Velts, O.; Uibu, M.; Kallas, J.; Kuusik, R. Waste oil shale ash as a novel source of calcium for precipitated calcium carbonate: Carbonation mechanism, modeling, and product characterization. J. Hazard. Mater. 2011, 195, 139–146. [Google Scholar] [CrossRef]
- Usta, M.C.; Yörük, C.R.; Hain, T.; Paaver, P.; Snellings, R.; Rozov, E.; Gregor, A.; Kuusik, R.; Trikkel, A.; Uibu, M. Evaluation of new applications of oil shale ashes in building materials. Minerals 2020, 10, 765. [Google Scholar] [CrossRef]
- Smadi, M.M.; Haddad, R.H. The use of oil shale ash in Portland cement concrete. Cem. Concr. Compos. 2003, 25, 43–50. [Google Scholar] [CrossRef]
- Al-Hamaiedh, H.; Maaitah, O.; Mahadin, S. Using oil shale ash in concrete binder. Electron. J. Geotech. Eng. 2010, 15, 601–608. [Google Scholar]
- Raado, L.-M.; Hain, T.; Liisma, E.; Kuusik, R. Composition and properties of oil shale ash concrete. Oil Shale 2014, 31, 147–160. [Google Scholar] [CrossRef]
- EVS 927:2018; Burnt Shale for Building Materials. Specification, Performance and Conformity. Estonian Centre for Standardisation and Accreditation: Tallinn, Estonia, 2018.
- Sobolev, K.; Gutiérrez, M.F. How nanotechnology can change the concrete world (part two): Successfully mimicking nature’s bottom-up construction processes is one of the most promising directions. Am. Ceram. Soc. Bull. 2005, 84, 16–20. [Google Scholar]
- Hanžič, L.; Šter, K.; Štefančič, M. Implementing the excess paste concept for a systematic mix design of printable concrete. In Proceedings of the Supplementary Conference Proceedings: Fourth RILEM International Conference on Concrete and Digital Fabrication—Digital Concrete 2024, Munchen, Germany, 4–6 September 2024. [Google Scholar]
- Tümanok, A.; Kulu, P.; Tümanok, A. Treatment of different materials by disintegrator systems. Proc. Est. Acad. Sci. 1999, 5, 222–242. [Google Scholar]
- Bumanis, G.; Bajare, D. Compressive strength of cement mortar affected by sand microfiller obtained with collision milling in disintegrator. Procedia Eng. 2017, 172, 149–156. [Google Scholar] [CrossRef]
- SIST EN 1097-5:2008; Tests for Mechanical and Physical Properties of Aggregates—Part 5: Determination of the Water Content by Drying in a Ventilated Oven. Slovenian Institute for Standardization: Ljubljana, Slovenia, 2008.
- SIST EN 1097-7:2023; Tests for Mechanical and Physical Properties of Aggregates—Part 7: Determination of the Particle Density of Filler—Pyknometer Method. Slovenian Institute for Standardization: Ljubljana, Slovenia, 2023.
- ISO 13320:2020; Particle Size Analysis—Laser Diffraction Methods. International Organization for Standardization: Vernier (Geneva), Switzerland, 2020.
- EN 196-2:2013; Methods of Testing Cement—Part 2: Chemical Analysis of Cement. European Committee for Standardization: Brussels, Belgium, 2013.
- SIST EN 451-1:2017; Method for Testing Fly Ash—Part 1: Determination of Free Calcium Oxide Content. Slovenian Institute for Standardization: Ljubljana, Slovenia, 2017.
- EN 196-3:2016; Methods of Testing Cement—Part 3: Determination of Setting Times and Soundness. European Committee for Standardization: Brussels, Belgium, 2016.
- EN 450-1:2012; Fly Ash for Concrete Definition, Specifications and Conformity Criteria. European Committee for Standardization: Brussels, Belgium, 2012.
- ASTM C1897-20; Standard Test Methods for Measuring the Reactivity of Supplementary Cementitious Materials by Isothermal Calorimetry and Bound Water Measurement. ASTM International: Philadelphia, PA USA, 2020.
- Stefanidou, M.; Kesikidou, F.; Konopisi, S.; Vasiadis, T. Investigating the suitability of waste glass as a supplementary binder and aggregate for cement and concrete. Sustainability 2023, 15, 3796. [Google Scholar] [CrossRef]
- EN 1015-3:1999; Methods of Test for Mortar for Masonry. Determination of Consistence of Fresh Mortar (by Flow Table). European Committee for Standardization: Brussels, Belgium, 1999.
- EN 1015-11:2019; Methods of Test for Mortar for Masonry. Determination of Flexural and Compressive Strength of Hardened Mortar. European Committee for Standardization: Brussels, Belgium, 2019.
- Ducoulombier, N.; Carneau, P.; Mesnil, R.; Demont, L.; Caron, J.-F.; Roussel, N. ‘The Slug Test’: Inline assessment of yield stress for extrusion-based additive manufacturing. In Second RILEM International Conference on Concrete and Digital Fabrication, 1st ed.; Bos, F.P., Lucas, S.S., Wolfs, R.J.M., Salet, T.A.M., Eds.; Springer: Cham, Switzerland, 2020; pp. 216–224. [Google Scholar] [CrossRef]
- Suiker, A.S.J.; Wolfs, R.J.M.; Lucas, S.M.; Salet, T.A.M. Elastic buckling and plastic collapse during 3D concrete printing. Cem. Concr. Res. 2020, 135, 106016. [Google Scholar] [CrossRef]
- Tao, Y.; Ren, Q.; Lesage, K.; Van Tittelboom, K.; Yuan, Y.; De Schutter, G. Shape stability of 3D printable concrete with river and manufactured sand characterized by squeeze flow. Cem. Concr. Compos. 2022, 133, 104674. [Google Scholar] [CrossRef]
- EN 12350-6:2019; Testing Fresh Concrete—Part 6: Density. European Committee for Standardization: Brussels, Belgium, 2019.
- Labus, M.; Matyasik, I.; Ziemianin, K. Thermal decomposition processes in relation to the type of organic matter, mineral and maceral composition of menilite shales. Energies 2023, 16, 4500. [Google Scholar] [CrossRef]
- Wang, Q.; Li, F.; Shen, X.; Shi, W.; Li, X.; Guo, Y.; Xiong, S.; Zhu, Q. Relation between reactivity and electronic structure for α′L-, β- and γ-dicalcium silicate: A first-principles study. Cem. Concr. Res. 2014, 57, 28–32. [Google Scholar] [CrossRef]
- RILEM. International Union of Laboratories and Experts in Construction Materials, Systems and Structures. Available online: https://www.rilem.net/ (accessed on 15 November 2024).
- Sapata, A.; Sinka, M.; Šahmenko, G.; Korat Bensa, L.; Hanžič, L.; Šter, K.; Rucevskis, S.; Bajare, D.; Bos, F.P. Establishing benchmark properties for 3d-printed concrete: A study of printability, strength, and durability. J. Compos. Sci. 2024, submitted.
- Orient-NM. Organisation of the European Research Community on Nuclear Materials, Euratom Research and Training Programme. Available online: https://www.eera-jpnm.com/orient-nm/ (accessed on 29 December 2024).
- Connect-NM. Coordination of the European Nuclear Materials Community for Energy Innovation, Euratom Research and Training Programme. Available online: https://indico.scc.kit.edu/event/3644/attachments/7119/11266/5_Innumat_WS_23_Connect-nminnumatb_Malerba.pdf (accessed on 17 December 2024).
- Aces. Towards Improved Assessment of Safety Performance for LTO of Nuclear Civil Engineering Structures, Euratom Research and Training Programme. Available online: https://aces-h2020.eu/ (accessed on 15 November 2024).
- Cobod. World’s First 3D Printed Large Concrete Tanks Made with Materials Savings of 25%, Press release 05/03/2024. Available online: https://cobod.com/worlds-first-3d-printed-large-concrete-tanks-made-with-materials-savings-of-25/ (accessed on 23 December 2024).
- Cobod. The Revolutionary Impact of 3D Printing on Industries, Blog 27/04/2023. Available online: https://cobod.com/the-revolutionary-impact-of-3d-printing-on-industries/ (accessed on 23 December 2024).












| Ash Designation | Power Plant | Fuel | Ash Extraction Point | Ash Type |
|---|---|---|---|---|
| OSA-Ees(nid) | Eesti | Oil shale | Novel integrated desulfurizer | Fly ash |
| OSA-Ene(ef) | Enefit280 | Oil shale | Electrostatic filter | Fly ash |
| OSWA-Auv(ef) | Auvere | Oil shale and wood | Electrostatic filter | Fly ash |
| OSWA-Auv(ba) | Auvere | Oil shale and wood | Grate | Bottom ash |
| Ash Designation | Milling Frequency (Hz) | Milled Ash Designation |
|---|---|---|
| OSA-Ees(nid) | 100 | OSA-Ees(nid)/100 |
| OSA-Ene(ef) | 100 | OSA-Ene(ef)/100 |
| OSWA-Auv(ef) | 100 | OSWA-Auv(ef)/100 |
| OSWA-Auv(ba) | 30 | OSWA-Auv(ba)/30 |
| 50 | OSWA-Auv(ba)/50 | |
| 100 | OSWA-Auv(ba)/100 | |
| 130 | OSWA-Auv(ba)/130 |
| Ash and Concrete Formulation Designation | Mass of Components per 1000 g of Dry Materials (g) | ||||
|---|---|---|---|---|---|
| Ash | Cement | Sand | Water | Superplasticizer | |
| Ref | --- | 333.3 | 666.7 | 141.7 | 1.42 |
| OSA-Ees(nid) | 100.0 | 233.3 | 666.7 | 146.7 | 1.47 |
| OSA-Ees(nid)/100 | 100.0 | 233.3 | 666.7 | 143.3 | 1.43 |
| OSA-Ene(ef) | 100.0 | 233.3 | 666.7 | 166.7 | 1.67 |
| OSA-Ene(ef)/100 | 100.0 | 233.3 | 666.7 | 160.0 | 1.60 |
| OSWA-Auv(ef) | 100.0 | 233.3 | 666.7 | 186.7 | 1.87 |
| OSWA-Auv(ef)/100 | 100.0 | 233.3 | 666.7 | 173.3 | 1.73 |
| OSWA-Auv(ba)/<1 mm * | 100.0 | 233.3 | 666.7 | 160.6 | 1.61 |
| OSWA-Auv(ba)/50 | 100.0 | 233.3 | 666.7 | 156.1 | 1.56 |
| OSWA-Auv(ba)/100 | 100.0 | 233.3 | 666.7 | 147.7 | 1.48 |
| OSWA-Auv(ba)/130 | 100.0 | 233.3 | 666.7 | 148.1 | 1.48 |
| Moisture Content (wt%) | Particle Density (kg L−1) | |
|---|---|---|
| OSA-Ees(nid)/100 | 0.7 | 2.6130 ± 0.002 |
| OSA-Ene(ef)/100 | 0.9 | 2.7504 ± 0.004 |
| OSWA-Auv(ef)/100 | 0.4 | 2.6825 ± 0.003 |
| OSWA-Auv(ba)/100 | 0 | 2.6862 ± 0.004 |
| Ash Designation | Composition (wt%) | |||||||||||
|---|---|---|---|---|---|---|---|---|---|---|---|---|
| SiO2 | Al2O3 | Fe2O3 | CaO | MgO | SO3 | Na2O | K2O | Mn2O3 | TiO2 | P2O5 | LOI | |
| OSA-Ees(nid) | 21.5 | 5.6 | 2.9 | 35.6 | 3.0 | 17.3 | 0.4 | 2.9 | <0.1 | 0.3 | 0.1 | 9.6 |
| OSA-Ene(ef) | 28.0 | 6.9 | 4.0 | 29.5 | 3.0 | 4.9 | 0.1 | 3.4 | <0.1 | 0.4 | 0.1 | 19.1 |
| OSWA-Auv(ef) | 22.2 | 5.5 | 3.7 | 41.8 | 3.4 | 4.9 | <0.1 | 2.8 | <0.1 | 0.3 | 0.2 | 14.4 |
| OSWA-Auv(ba) | 6.0 | 1.4 | 2.5 | 50.8 | 2.3 | 3.1 | 0.1 | 0.6 | <0.1 | 0.1 | 0.1 | 32.9 |
| Ash Designation | Free CaO (wt%) | Soundness (mm) |
|---|---|---|
| OSA-Ees(nid) | 4.5 | 3.6 |
| OSA-Ene(ef) | <0.1 | 2.3 |
| OSWA-Auv(ef) | 21.8 | 2.0 |
| OSWA-Auv(ba) | 8.1 | 0.9 |
| Ash Designation | Anhydrite | β-Dicalcium silicate | Calcite | γ-Dicalcium silicate | Dolomite | Feldspar | Hematite | Lime | Mellilite | Muscovite | Periclase | Portlandite | Quartz | Rokühnite | Spinel | Sylvite |
|---|---|---|---|---|---|---|---|---|---|---|---|---|---|---|---|---|
| OSA-Ees(nid) | ● | ● | ● | ● | ● | ● | ● | ● | ● | ● | ● | |||||
| OSA-Ene(ef) | ● | ● | ● | ● | ● | ● | ● | ● | ● | |||||||
| OSWA-Auv(ef) | ● | ● | ● | ● | ● | ● | ● | ● | ● | ● | ● | |||||
| OSWA-Auv(ba) | ● | ● | ● | ● | ● | ● | ● | ● |
| Ash Designation | Density (kg m−3) | Slug Test | Buildability Test—Values at Plastic Collapse | ||
|---|---|---|---|---|---|
| Yield Stress τy (Pa) | Number of Layers | Compression Stress σy (Pa) | Yield Stress τy (Pa) | ||
| Reference | 2140 | 1005 | 15 | 3150 | 1820 |
| OSA-Ees(nid) | 2125 | 1020 | 12 | 2500 | 1440 |
| OSA-Ees(nid)/100 | 2230 | 1180 | 13 | 2840 | 1670 |
Disclaimer/Publisher’s Note: The statements, opinions and data contained in all publications are solely those of the individual author(s) and contributor(s) and not of MDPI and/or the editor(s). MDPI and/or the editor(s) disclaim responsibility for any injury to people or property resulting from any ideas, methods, instructions or products referred to in the content. |
© 2025 by the authors. Licensee MDPI, Basel, Switzerland. This article is an open access article distributed under the terms and conditions of the Creative Commons Attribution (CC BY) license (https://creativecommons.org/licenses/by/4.0/).
Share and Cite
Hanžič, L.; Štefančič, M.; Šter, K.; Zalar Serjun, V.; Šinka, M.; Sapata, A.; Šahmenko, G.; Šerelis, E.; Migliniece, B.; Korat Bensa, L. Collision Milling of Oil Shale Ash as Constituent Pretreatment in Concrete 3D Printing. Infrastructures 2025, 10, 18. https://doi.org/10.3390/infrastructures10010018
Hanžič L, Štefančič M, Šter K, Zalar Serjun V, Šinka M, Sapata A, Šahmenko G, Šerelis E, Migliniece B, Korat Bensa L. Collision Milling of Oil Shale Ash as Constituent Pretreatment in Concrete 3D Printing. Infrastructures. 2025; 10(1):18. https://doi.org/10.3390/infrastructures10010018
Chicago/Turabian StyleHanžič, Lucija, Mateja Štefančič, Katarina Šter, Vesna Zalar Serjun, Māris Šinka, Alise Sapata, Genādijs Šahmenko, Evaldas Šerelis, Baiba Migliniece, and Lidija Korat Bensa. 2025. "Collision Milling of Oil Shale Ash as Constituent Pretreatment in Concrete 3D Printing" Infrastructures 10, no. 1: 18. https://doi.org/10.3390/infrastructures10010018
APA StyleHanžič, L., Štefančič, M., Šter, K., Zalar Serjun, V., Šinka, M., Sapata, A., Šahmenko, G., Šerelis, E., Migliniece, B., & Korat Bensa, L. (2025). Collision Milling of Oil Shale Ash as Constituent Pretreatment in Concrete 3D Printing. Infrastructures, 10(1), 18. https://doi.org/10.3390/infrastructures10010018

