Energy Requirement Modeling for Automated Guided Vehicles Considering Material Flow and Layout Data
Abstract
1. Introduction
2. Related Work
2.1. Power and Energy Requirement Modeling of AGVs
2.2. Operating and Charging Strategies
2.3. Dispatching
2.4. Modeling Energy Storage Systems (ESSs)
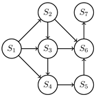
2.5. Material Flow System Description
3. Energy Modeling
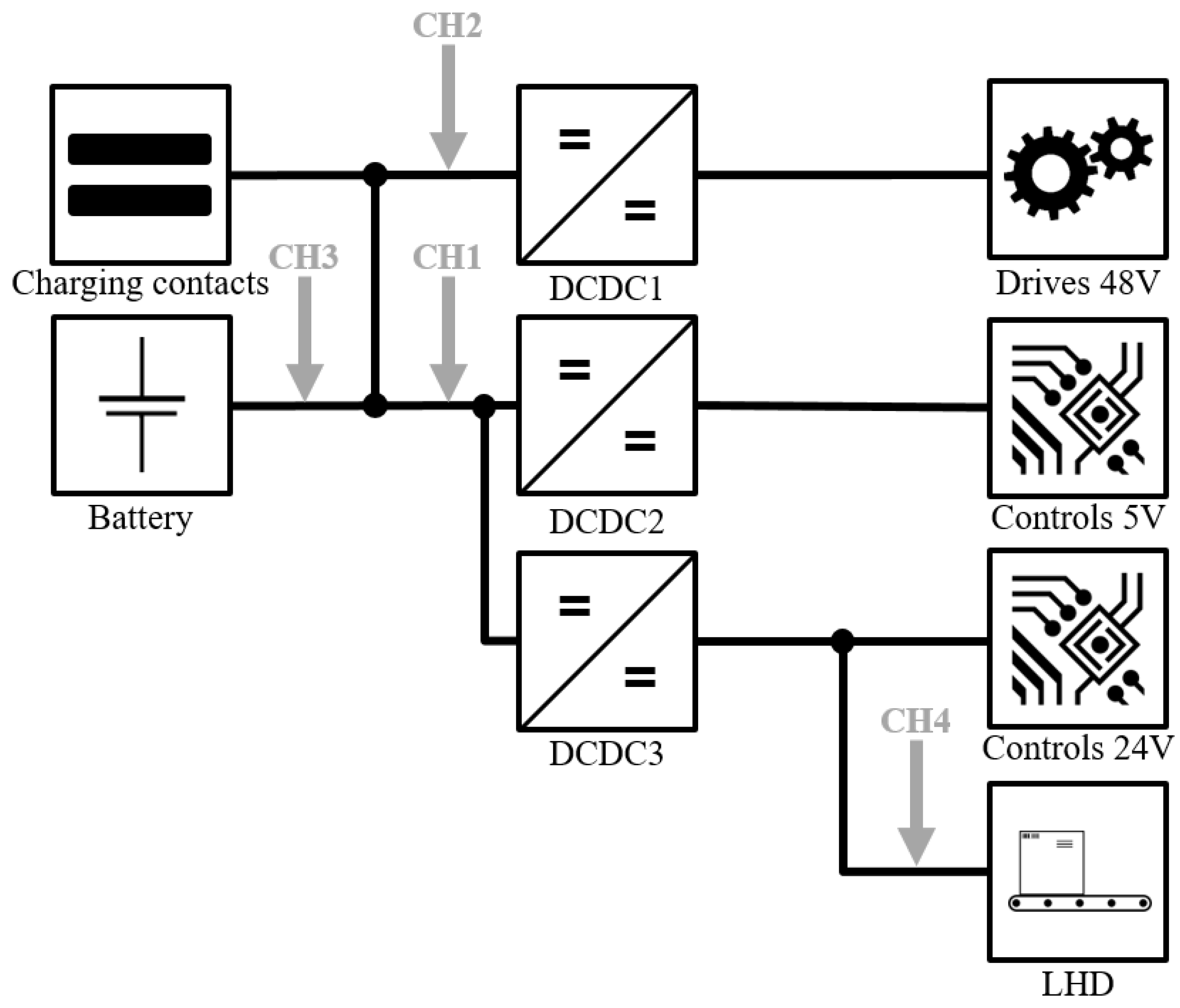
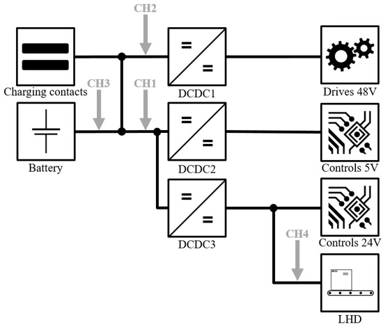
3.1. System Components
3.2. Process Analysis
3.3. Impact Analysis
3.4. Linear Power Approximation
3.5. Energy Requirement Model (ERM)
3.6. Total Energy Requirement Approximation
4. Implementation
- Identify power characteristics and periods of individual states according to Section 3.5;
- Identify material flow and layout composition (cf. Section 2.5);
- Import parameters from steps 1 and 2;
- Generate order list;
- Execute simulation.
4.1. Dispatching Implementation
4.2. UML-Based Software Module Diagram
4.2.1. Dispatcher
4.2.2. OperationService
4.2.3. LogService
4.2.4. OrderListGeneration
4.3. ERM Input and Output
5. Verification and Validation
5.1. Qualitative Process Analysis
5.2. Quantitative Validation
5.2.1. Variation Parameters
5.2.2. Design of Experiments
5.2.3. Stepsize Analysis
5.2.4. Sample Size Estimation
5.3. Experimental Setup
5.4. Measurement System
5.5. Experimental Data Evaluation
6. Results
6.1. ERM and Experiments Comparison
6.2. Evaluation
6.3. Discussion
6.4. Further Findings
7. Conclusions
Supplementary Materials
Author Contributions
Funding
Institutional Review Board Statement
Informed Consent Statement
Data Availability Statement
Acknowledgments
Conflicts of Interest
Abbreviations
| AGV | Automated Guided Vehicle |
| AMR | Autonomous Mobile Robot |
| C | Charging Strategy Capacitive |
| CIS | Charging Infrastructure System |
| ESS | Energy Storage System |
| I | Charging Strategy Interim |
| LHD | Load-Handling Device |
| O | Charging Strategy Opportunity |
| ERM | Energy Requirement Model |
Appendix A
| ExpID | Physics | Times | Powers in [W] | ||||||||||||||||
|---|---|---|---|---|---|---|---|---|---|---|---|---|---|---|---|---|---|---|---|
| in [m/s, m/s2, m/s2] | in [s] | Charge | LHD | Controls | Drives | ||||||||||||||
| 01A | 1.0 | 1.0 | 1.0 | 5.0 | - | - | - | - | - | - | - | 7.480 | 5.480 | 39.179 | 12.478 | −14.287 | 1.578 | - | - |
| 01B | 0.5 | 1.0 | 1.0 | 5.0 | - | - | - | - | - | - | - | 7.414 | 5.476 | 26.747 | 6.204 | −6.278 | 1.678 | - | - |
| 01C | 0.7 | 1.0 | 1.0 | 5.0 | - | - | - | - | - | - | - | 7.245 | 5.469 | 30.405 | 8.451 | −9.997 | 1.688 | - | - |
| 2 | 1.0 | 1.0 | 1.0 | 15.0 | - | - | - | - | - | - | - | 7.371 | 5.455 | 39.772 | 12.640 | −14.384 | 1.644 | - | - |
| 3 | 1.0 | 1.0 | 1.0 | 10.0 | - | - | - | - | 75.591 | - | - | 7.430 | 5.457 | 40.080 | 13.008 | −14.338 | 1.685 | - | - |
| 4 | 1.0 | 1.0 | 1.0 | 10.0 | - | - | - | - | 72.159 | - | - | 7.329 | 5.451 | 39.615 | 12.901 | −14.284 | 1.601 | - | - |
| 5 | 1.0 | 1.0 | 1.0 | 10.0 | - | - | - | - | 65.292 | - | - | 7.492 | 5.459 | 40.822 | 13.380 | −14.370 | 1.770 | - | - |
| 6 | 1.0 | 1.0 | 1.0 | 10.0 | - | - | - | - | 73.190 | - | - | 7.520 | 5.457 | 41.282 | 12.928 | −13.931 | 1.629 | - | - |
| 7 | 1.0 | 1.0 | 1.0 | 10.0 | - | - | - | - | 92.626 | - | - | 7.363 | 5.480 | 38.175 | 12.756 | −13.144 | 1.917 | - | - |
| 8 | 1.0 | 1.0 | 1.0 | 10.0 | - | - | - | - | 109.986 | - | - | 7.350 | 5.472 | 38.220 | 12.998 | −13.136 | 1.884 | - | - |
| 9 | 1.0 | 1.0 | 1.0 | 10.0 | - | - | - | - | 52.696 | - | - | 7.338 | 5.477 | 38.987 | 13.103 | −13.210 | 1.970 | - | - |
| 10 | 1.0 | 1.0 | 1.0 | 10.0 | - | - | - | - | 62.658 | - | - | 7.403 | 5.479 | 38.785 | 12.892 | −13.212 | 1.954 | - | - |
| 11 | 0.25 | 0.4 | 1.0 | 10.735 | 3.664 | 17.626 | 9.356 | 0.924 | 1415.0 | 52.254 | 7.339 | 62.961 | 57.271 | - | 36.021 | - | 10.797 | 17.625 | 17.986 |
| 12 | 0.27 | 0.4 | 1.0 | 9.330 | 3.580 | 18.202 | 9.951 | 0.795 | 1415.0 | 54.511 | 7.455 | 62.920 | 55.814 | - | 37.614 | - | 10.913 | 18.160 | 18.488 |
| 13 | 0.28 | 0.4 | 1.0 | 8.667 | 3.436 | 15.708 | 9.693 | 0.870 | 1365.0 | 54.716 | 7.504 | 63.193 | 55.152 | - | 37.897 | - | 11.651 | 18.067 | 18.235 |
| ExpID | Max. rel. Deviation Controls | Max. rel. Deviation Drives | Max. rel. Deviation LHD | Max. rel. Deviation All Components | ||||||||||||
|---|---|---|---|---|---|---|---|---|---|---|---|---|---|---|---|---|
| α = 1% | α = 5% | α = 1% | α = 5% | α = 1% | α = 5% | α = 1% | α = 5% | |||||||||
| Δlow | Δhigh | Δlow | Δhigh | Δlow | Δhigh | Δlow | Δhigh | Δlow | Δhigh | Δlow | Δhigh | Δlow | Δhigh | Δlow | Δhigh | |
| 01A | - | - | - | - | ||||||||||||
| 01B | - | - | - | - | ||||||||||||
| 01C | - | - | - | - | ||||||||||||
| 02 | - | - | - | - | ||||||||||||
| 03 | - | - | - | - | ||||||||||||
| 04 | - | - | - | - | ||||||||||||
| 05 | - | - | - | - | ||||||||||||
| 06 | - | - | - | - | ||||||||||||
| 07 | - | - | - | - | ||||||||||||
| 08 | - | - | - | - | ||||||||||||
| 09 | - | - | - | - | ||||||||||||
| 10 | - | - | - | - | ||||||||||||
| All Weasel | - | - | - | - | ||||||||||||
| 11 | ||||||||||||||||
| 12 | ||||||||||||||||
| 13 | ||||||||||||||||
| All Karis | ||||||||||||||||
| Nr | LHD | AGV Name | Process | Prepare Docking | Dock | LH | Undock | Prepare Driving | Source | ||
|---|---|---|---|---|---|---|---|---|---|---|---|
| Stop | Init LHD | Stop | Init LHD | ||||||||
| 1 | tug | Jungheinrich EZS 350a | pick | x | - | x | x | x | - | - | [54] |
| drop | - | - | x | x | x | - | - | ||||
| 2 | fork-lift | Jungheinrich ERC 215a | pick/drop | x | x | x | x | x | x | x | [55] |
| 3 | fork-lift | Agilox One | pick/drop | x | - | x | x | x | x | - | [56] |
| charge | x | - | x | - | x | x | - | ||||
| 4 | fork-lift | Lmatic high-lift truck | pick/drop | x | x | x | x | x | - | - | [57] |
| 5 | fork-lift | TÜNKERS STacker | pick | x | x | x | x | x | x | x | [58] |
| 6 | fork-lift | K. Hartwall A-Mate | pick/drop | - | x | x | x | x | - | x | [59] |
| 7 | topload | Agilox ODM | pick | x | - | x | x | x | x | - | [60] |
| drop | x | x | x | x | x | x | - | ||||
| 8 | topload | MiR200 | pick/drop | x | - | x | x | x | x | - | [61] |
| park | x | - | x | - | x | x | - | ||||
| 9 | topload | Gebhardt Karis Custom Model | pick/drop | x | x | x | x | x | x | x | - |
| charge | x | - | x | - | x | x | - | ||||
| 10 | topload | Jungheinrich AMR arculee S | pick/drop | x | - | x | x | x | x | [62] | |
| 11 | topload | Idealworks iw.hub | pick/drop | x | - | x | x | x | x | - | [63] |
| 12 | topload | Milvus Robotics SEIT500 | pick | x | - | x | x | x | x | x | [64] |
| drop | x | x | x | x | x | x | - | ||||
| 13 | topload | Grenzebach L600-Li | pick/drop | x | x | x | x | x | [65] | ||
| 14 | topload | Safelog X1 | pick/drop | x | - | x | x | x | x | - | [66] |
| 15 | topload | Bosch Activeshuttle | pick/drop | x | x | x | x | x | x | x | [67] |
| 16 | passive | Mir 250 | pick/drop | x | - | x | x | x | x | - | [68] |
| 17 | passive | SSI Schäfer Weasel Lite | pick/drop | - | - | - | - | - | x | - | [69] |
| 18 | passive | SSI Schäfer Weasel | pick | x | - | - | - | - | - | - | [70] |
| drop | - | - | - | - | - | x | - | ||||
| 19 | passive | BITO FTS Leo | pick/drop | - | - | - | - | - | - | - | [71] |
| 20 | roller conveyor | DS Automation Sally | pick/drop | x | - | x | x | x | x | - | [72] |
| 21 | roller conveyor | Carrybots Herbie | pick/drop | - | - | x | x | x | - | - | [73] |
| 22 | roller conveyor | SHERPA-B | pick/drop | - | - | x | x | x | - | - | [74] |
| 23 | roller conveyor | Omron LD-60/90 | pick/drop | x | - | x | x | x | x | - | [75] |
| 24 | roller conveyor | Gebhardt Karis Model 3 | pick/drop | x | x | x | x | x | x | - | [76] |
| 25 | customized lift | Gessbot Gb350 | drop | x | x | x | x | x | x | x | [77] |
| Weasel | Karis | |
|---|---|---|
| Manufacturer | SSI Schaefer | Gebhardt Fordertechnik |
| Mass (vehicle without load) | ||
| Mass (load) | - | |
| Dimensions (vehicle without load, l × w × h) | × × | × × |
| Nominal system voltage | , | |
| Battery | Lead–acid Battery, EDLC | Varta Easy Blade 48 V |
| Exp. ID | AGVID | Representation of Material Flow and Layout | Material Flow and Layout Classification | |||
|---|---|---|---|---|---|---|
| Layout | Material Flow per Hour | Flow Path Orientation | Layout Topology | Task Structure | ||
| 01A 01B 01C 02 | Weasel | ![]() | unidir. | multiloop | m:n | |
| 03 04 05 06 07 08 09 10 | Weasel | ![]() | unidir. | multiloop | m:n | |
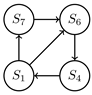
| 11 12 | Karis | ![]() | bidir. | multiloop | m:n | |
| 13 | Karis | ![]() | unidir. | multiloop | m:n | |
| Lead-Acid Battery | 20S4P 400F EDLC | Easy Blade 48 | |
|---|---|---|---|
| Manufacturer | SSI Schaefer | Ansmann AG | Varta Storage GmbH |
| Version | 1.0 | 1.0 | 56654 799 092 |
| Cell type | 2xYuasa NP12-12 | Cornell Dubilier DSF407Q3R0 | N.A. |
| Mass | |||
| Dimensions (l × w × h) | × × | × × | × × |
| Nominal Voltage | |||
| Maximum Current | () | ||
| Nominal Crate Charging | |||
| Nominal E |


References
- Official Journal of the European Union. Directive (EU) 2023/1791 of the European Parliament and of the Council of 13 September 2023 on Energy Efficiency and Amending REGULATION (EU) 2023/955 (Recast); Official Journal of the European Union: Luxembourg, 2023. [Google Scholar]
- Freis, J.; Günthner, W.A. A systemic approach to analysing interactions and impacts of alternative design options on the total energy balance of distribution warehouses. Wiss. Ges. Tech. Logist. 2016. [Google Scholar] [CrossRef]
- Müller, E.; Hopf, H.; Krones, M. Analyzing Energy Consumption for Factory and Logistics Planning Processes. In Advances in Production Management Systems. Competitive Manufacturing for Innovative Products and Services; Emmanouilidis, C., Taisch, M., Kiritsis, D., Eds.; IFIP Advances in Information and Communication Technology; Springer: Berlin/Heidelberg, Germany, 2013; Volume 397, pp. 49–56. [Google Scholar] [CrossRef]
- Ebben, M. Logistic Control in Automated Transportation Networks; Twente Univ. Press: Enschede, The Netherlands, 2001. [Google Scholar]
- IEC 62264-1:2013; Enterprise-Control System Integration—Part 1: Models and Terminology. International Electrotechnical Commission: Geneva, Switzerlandm, 2013.
- Mei, Y.; Lu, Y.H.; Hu, Y.C.; Lee, C. Deployment of mobile robots with energy and timing constraints. IEEE Trans. Robot. 2006, 22, 507–522. [Google Scholar] [CrossRef]
- Qiu, L.; Wang, J.; Chen, W.; Wang, H. Heterogeneous AGV routing problem considering energy consumption. In Proceedings of the 2015 IEEE International Conference on Robotics and Biomimetics (ROBIO), Zhuhai, China, 6–9 December 2015; IEEE: Piscataway, NJ, USA; pp. 1894–1899. [Google Scholar] [CrossRef]
- Kim, C.H.; Kim, B.K. Minimum-Energy Translational Trajectory Generation for Differential-Driven Wheeled Mobile Robots. J. Intell. Robot. Syst. 2007, 49, 367–383. [Google Scholar] [CrossRef]
- Kim, H.; Kim, B.K. Minimum-energy translational trajectory planning for battery-powered three-wheeled omni-directional mobile robots. In Proceedings of the 2008 10th International Conference on Control, Automation, Robotics and Vision, Hanoi, Vietnam, 17–20 December 2008; IEEE: Piscataway, NJ, USA; pp. 1730–1735. [Google Scholar] [CrossRef]
- Liu, S.; Sun, D. Minimizing Energy Consumption of Wheeled Mobile Robots via Optimal Motion Planning. IEEE/ASME Trans. Mechatron. 2014, 19, 401–411. [Google Scholar] [CrossRef]
- Kabir, Q.S.; Suzuki, Y. Comparative analysis of different routing heuristics for the battery management of automated guided vehicles. Int. J. Prod. Res. 2019, 57, 624–641. [Google Scholar] [CrossRef]
- Stampa, M.; Rohrig, C.; Kunemund, F.; Hes, D. Estimation of energy consumption on arbitrary trajectories of an omnidirectional automated guided vehicle. In Proceedings of the 2015 IEEE 8th International Conference on Intelligent Data Acquisition and Advanced Computing Systems: Technology and Applications (IDAACS), Warsaw, Poland, 24–26 September 2015; IEEE: Piscataway, NJ, USA; pp. 873–878. [Google Scholar] [CrossRef]
- Hou, L.; Zhang, L.; Kim, J. Energy Modeling and Power Measurement for Mobile Robots. Energies 2019, 12, 27. [Google Scholar] [CrossRef]
- Niestrój, R.; Rogala, T.; Skarka, W. An Energy Consumption Model for Designing an AGV Energy Storage System with a PEMFC Stack. Energies 2020, 13, 3435. [Google Scholar] [CrossRef]
- Hamdy, A. Optimization of Automated Guided Vehicles (AGV) Fleet Size with Incorporation of Battery Management. Ph.D. Thesis, Old Dominion University Libraries, Norfolk, VA, USA, 2019. [Google Scholar] [CrossRef]
- Meißner, M.; Massalski, L. Modeling the electrical power and energy consumption of automated guided vehicles to improve the energy efficiency of production systems. Int. J. Adv. Manuf. Technol. 2020, 110, 481–498. [Google Scholar] [CrossRef]
- McHaney, R. Modelling battery constraints in discrete event automated guided vehicle simulations. Int. J. Prod. Res. 1995, 33, 3023–3040. [Google Scholar] [CrossRef]
- Singh, N.; Dang, Q.V.; Akcay, A.; Adan, I.; Martagan, T. A matheuristic for AGV scheduling with battery constraints. Eur. J. Oper. Res. 2022, 298, 855–873. [Google Scholar] [CrossRef]
- Abderrahim, M.; Bekrar, A.; Trentesaux, D.; Aissani, N.; Bouamrane, K. Manufacturing 4.0 Operations Scheduling with AGV Battery Management Constraints. Energies 2020, 13, 4948. [Google Scholar] [CrossRef]
- Colling, D.; Oehler, J.; Furmans, K. Battery Charging Strategies for AGV Systems. Wiss. Ges. Tech. Logist. 2019. [Google Scholar] [CrossRef]
- Zhan, X.; Xu, L.; Zhang, J.; Li, A. Study on AGVs battery charging strategy for improving utilization. Procedia CIRP 2019, 81, 558–563. [Google Scholar] [CrossRef]
- Jodejko-Pietruczuk, A.; Werbinska-Wojciechowska, S. Availability assessment for a multi-AGV system based on simulation modeling approach. In Proceedings of the 2021 International Conference on Electrical, Computer, Communications and Mechatronics Engineering (ICECCME), Mauritius, Mauritius, 7–8 October 2021; IEEE: Piscataway, NJ, USA; pp. 1–6. [Google Scholar] [CrossRef]
- Quadrini, W.; Negri, E.; Fumagalli, L. Open Interfaces for Connecting Automated Guided Vehicles to a Fleet Management System. Procedia Manuf. 2020, 42, 406–413. [Google Scholar] [CrossRef]
- Sperling, M.; Kivelä, T. Concept of a Dual Energy Storage System for Sustainable Energy Supply of Automated Guided Vehicles. Energies 2022, 15, 479. [Google Scholar] [CrossRef]
- VDI Society Production and Logistics. Automated Guided Vehicle Systems (AGVS)—Power Supply and Charging Technology; VDI Society Production and Logistics: Düsseldorf, Germany, 2022. [Google Scholar]
- VDI Society Production and Logistics. Compatibility of Automated Guided Vehicle Systems (AGVS)—Power Supply and Charging Technology; VDI Society Production and Logistics: Düsseldorf, Germany, 2000. [Google Scholar]
- de Ryck, M.; Pissoort, D.; Holvoet, T.; Demeester, E. Decentral task allocation for industrial AGV-systems with routing constraints. J. Manuf. Syst. 2022, 62, 135–144. [Google Scholar] [CrossRef]
- Fragapane, G.; de Koster, R.; Sgarbossa, F.; Strandhagen, J.O. Planning and control of autonomous mobile robots for intralogistics: Literature review and research agenda. Eur. J. Oper. Res. 2021, 294, 405–426. [Google Scholar] [CrossRef]
- Vivaldini, K.C.T.; Rocha, L.F.; Becker, M.; Moreira, A.P. Comprehensive Review of the Dispatching, Scheduling and Routing of AGVs. In CONTROLO’2014—Proceedings of the 11th Portuguese Conference on Automatic Control; Lecture Notes in Electrical Engineering; Moreira, A.P., Matos, A., Veiga, G., Eds.; Springer International Publishing: Cham, Switzerland, 2015; Volume 321, pp. 505–514. [Google Scholar] [CrossRef]
- Zamiri Marvizadeh, S.; Choobineh, F.F. Entropy-based dispatching for automatic guided vehicles. Int. J. Prod. Res. 2014, 52, 3303–3316. [Google Scholar] [CrossRef]
- Yang, X.G.; Wang, C.Y. Understanding the trilemma of fast charging, energy density and cycle life of lithium-ion batteries. J. Power Sources 2018, 402, 489–498. [Google Scholar] [CrossRef]
- Gao, Z.; Xie, H.; Yang, X.; Niu, W.; Li, S.; Chen, S. The Dilemma of C-Rate and Cycle Life for Lithium-Ion Batteries under Low Temperature Fast Charging. Batteries 2022, 8, 234. [Google Scholar] [CrossRef]
- Stroe, A.I.; Stroe, D.L.; Knap, V.; Swierczynski, M.; Teodorescu, R. Accelerated Lifetime Testing of High Power Lithium Titanate Oxide Batteries. In Proceedings of the 2018 IEEE Energy Conversion Congress and Exposition (ECCE), Portland, OR, USA, 23–27 September 2018; IEEE: Piscataway, NJ, USA; pp. 3857–3863. [Google Scholar] [CrossRef]
- Leuchter, J.; Bauer, P. Capacity of power-batteries versus temperature. In Proceedings of the 2015 17th European Conference on Power Electronics and Applications (EPE’15 ECCE-Europe), Geneva, Switzerland, 8–10 September 2015; IEEE: Piscataway, NJ, USA; pp. 1–8. [Google Scholar] [CrossRef]
- Vidal, C.; Gross, O.; Gu, R.; Kollmeyer, P.; Emadi, A. xEV Li-Ion Battery Low-Temperature Effects—Review. IEEE Trans. Veh. Technol. 2019, 68, 4560–4572. [Google Scholar] [CrossRef]
- Wood, E.; Alexander, M.; Bradley, T.H. Investigation of battery end-of-life conditions for plug-in hybrid electric vehicles. J. Power Sources 2011, 196, 5147–5154. [Google Scholar] [CrossRef]
- Saldaña, G.; San Martín, J.I.; Zamora, I.; Asensio, F.J.; Oñederra, O. Analysis of the Current Electric Battery Models for Electric Vehicle Simulation. Energies 2019, 12, 2750. [Google Scholar] [CrossRef]
- Hu, X.; Le, X.; Lin, X.; Pecht, M. Battery Lifetime Prognostics. Joule 2020, 4, 310–346. [Google Scholar] [CrossRef]
- Devillers, N.; Jemei, S.; Péra, M.C.; Bienaimé, D.; Gustin, F. Review of characterization methods for supercapacitor modelling. J. Power Sources 2014, 246, 596–608. [Google Scholar] [CrossRef]
- Yang, H. Effects of Aging and Temperature on Supercapacitor Charge Capacity. In Proceedings of the 2020 IEEE Power & Energy Society General Meeting (PESGM), Montreal, QC, Canada, 2–6 August 2020; IEEE: Piscataway, NJ, USA; pp. 1–5. [Google Scholar] [CrossRef]
- Sperling, M.; Schulz, B.; Enke, C.; Giebels, D.; Furmans, K. Classified AGV Material Flow and Layout Data Set for Multidisciplinary Investigation. IEEE Access 2023, 11, 94992–95007. [Google Scholar] [CrossRef]
- Hanschek, A.J.; Bouvier, Y.E.; Jesacher, E.; Grbovic, P.J. Analysis of power distribution systems based on low-voltage DC/DC power supplies for automated guided vehicles (AGV). In Proceedings of the 2021 21st International Symposium on Power Electronics (Ee), Novi Sad, Serbia, 27–30 October 2021; IEEE: Piscataway, NJ, USA; pp. 1–6. [Google Scholar] [CrossRef]
- Arbetter, B.; Erickson, R.; Maksimovic, D. DC-DC converter design for battery-operated systems. In Proceedings of the PESC’95—Power Electronics Specialist Conference, Atlanta, GA, USA, 18–22 June 1995; IEEE: Piscataway, NJ, USA; pp. 103–109. [Google Scholar] [CrossRef]
- Komma, V.R.; Jain, P.K.; Mehta, N.K. Simulation of AGV System—A Multi Agent Approach. In DAAAM International Scientific Book 2012; Katalinic, B., Ed.; DAAAM International: Vienna, Austria, 2012. [Google Scholar] [CrossRef]
- Flake, S. UML-Based Specification of State Oriented Real Time Properties. Ph.D. Thesis, Paderborn University, Paderborn, Germany, 2003. [Google Scholar]
- Cebrian, J.M.; Natvig, L. Temperature effects on on-chip energy measurements. In Proceedings of the 2013 International Green Computing Conference Proceedings, Arlington, VA, USA, 27–29 June 2013; IEEE: Piscataway, NJ, USA; pp. 1–6. [Google Scholar] [CrossRef]
- Eggers, K.; Knochelmann, E.; Tappe, S.; Ortmaier, T. Modeling and experimental validation of the influence of robot temperature on its energy consumption. In Proceedings of the 2018 IEEE International Conference on Industrial Technology (ICIT), Lyon, France, 20–22 February 2018; IEEE: Piscataway, NJ, USA; pp. 239–243. [Google Scholar] [CrossRef]
- Zhai, N.; Yao, Y.; Zhang, D.; Xu, D. Design and Optimization for a Supercapacitor Application System. In Proceedings of the 2006 International Conference on Power System Technology, Chongqing, China, 22–26 October 2006; IEEE: Piscataway, NJ, USA; pp. 1–4. [Google Scholar] [CrossRef]
- Dodge, Y. Anderson–Darling Test. In The Concise Encyclopedia of Statistics; Springer: New York, NY, USA, 2008; pp. 12–14. [Google Scholar] [CrossRef]
- Berlinger, M. A Methodology to Model the Statistical Fracture Behavior of Acrylic Glasses for Stochastic Simulation; Springer: Wiesbaden, Germany, 2021; Volume 59. [Google Scholar] [CrossRef]
- Schiefer, H.; Schiefer, F. Statistics for Engineers: An Introduction with Examples from Practice; Springer: Wiesbaden/Heidelberg, Germany, 2021. [Google Scholar] [CrossRef]
- Plaue, M. Data Science: An Introduction to Statistics and Machine Learning, 1st ed.; Springer: Berlin/Heidelberg, Germany, 2023. [Google Scholar] [CrossRef]
- Chang, A.; Cong, Y.; Wang, C.; Bie, Y. Optimal Vehicle Scheduling and Charging Infrastructure Planning for Autonomous Modular Transit System. Sustainability 2024, 16, 3316. [Google Scholar] [CrossRef]
- Jungheinrich, A.G. Der Automatisierte Schlepper zur Effizienten Produktionsversorgung: Jungheinrich EZSa. 2021. Available online: https://www.youtube.com/watch?v=NBEKhpSZ7j4 (accessed on 3 January 2024).
- Jungheinrich, A.G. Fahrerlose Transportsysteme von Jungheinrich im Einsatz bei BMW Group. 2017. Available online: https://www.youtube.com/watch?v=4TInapyb3-8 (accessed on 3 January 2024).
- CLS Servizi e Soluzioni in Movimento. Agilox—Intelligent Guided Vehicle. 2020. Available online: https://www.youtube.com/watch?v=F5DoflSjiWQ (accessed on 3 January 2024).
- Linde Material Handling. Two Value-Adding Industrial Trucks at Full Speed|Linde Material Handling. 2021. Available online: https://www.youtube.com/watch?v=4fzakJh2MyY (accessed on 3 January 2024).
- TÜNKERS Maschinenbau GmbH. TÜNKERS STacker. 2022. Available online: https://www.youtube.com/watch?v=8oGxvqBVKs8 (accessed on 3 January 2024).
- Hartwall, K. A-MATE Mobile Robot. 2021. Available online: https://www.youtube.com/watch?v=r_yMB66FCNA (accessed on 3 January 2024).
- Agilox. Agilox ODM Product Demonstration. 2022. Available online: https://www.youtube.com/watch?v=6lzsqsnpO4o (accessed on 3 January 2024).
- Mobile Industrial Robots. A Fleet of MiR200 Robots Boosts Productivity at Whirlpool. 2019. Available online: https://www.youtube.com/watch?v=hGOLQXaFCXQ (accessed on 3 January 2024).
- Jungheinrich AG. AMR Arculee S—Jungheinrich Autonoous Mobile Robots. 2023. Available online: https://www.youtube.com/watch?v=ShJPbAe6Vu8&list=PLq4j2kMTCkn0jzxcpsBToOurZol8IDMwL (accessed on 3 January 2024).
- idealworks. AnyFleet x iw.hub. 2021. Available online: https://www.youtube.com/watch?v=iu625kWJtUA (accessed on 3 January 2024).
- Milvus Robotics. A Fleet of SEIT500 Autonomous Mobile Robots Operating at Unilver Konya HPC Factory. 2021. Available online: https://www.youtube.com/watch?v=4FKv-7OfK70 (accessed on 3 January 2024).
- STAPLERWORLD. Grenzebach Kompakt FTS im Messedemo-EInsatz. 2021. Available online: https://www.youtube.com/watch?v=DGKbD4sETEo (accessed on 3 January 2024).
- SAFELOG. Mobile Transport Robot—SAFELOG AGV X1 tt. 2023. Available online: https://www.youtube.com/watch?v=sAPg9B-Ar2U (accessed on 3 January 2024).
- Bosch Rexroth. Intralogistics Solution with Autonomous Transport System and Production Assistants. 2020. Available online: https://www.youtube.com/watch?v=Y-m3YcmCAVg (accessed on 3 January 2024).
- mR MOBILE ROBOTS. Autonomous Intralogistics with MOBILE ROBOTS: MiR 250 with Body for Conveyor Belt Connection. 2021. Available online: https://www.youtube.com/watch?v=PDpJo00-a84 (accessed on 3 January 2024).
- SSI Schäfer Benelux. AGV-Systeem Weasel, Productielogistiek bij Bachmann Forming AG. 2016. Available online: https://www.youtube.com/watch?v=UOScoyjt4oA (accessed on 3 January 2024).
- SSI Schäfer D-A-CH. Fahrerloses Transportsystem Weasel für Hermes Fulfilment GmbH: SSI SCHÄFER. 2016. Available online: https://www.youtube.com/watch?v=Qhp9BwxZT80 (accessed on 3 January 2024).
- BITO-Lagertechnik. FTS LEO—Automatische Übergabestationen. 2021. Available online: https://www.youtube.com/watch?v=hoeWz2ftIu8 (accessed on 3 January 2024).
- DS AUTOMOTION. SALLY Automatisierte Lastübergabe—Automated Load Handling. 2018. Available online: https://www.youtube.com/watch?v=SqjsVQU5TXA (accessed on 3 January 2024).
- Carrybots GmbH. HERBIE: Das Fahrerlose Transportsystem (FTS) der Carrybots GmbH. 2022. Available online: https://www.youtube.com/watch?v=MqnBsURV6tY (accessed on 3 January 2024).
- SHERPA MOBILE ROBOTICS. 2023 SHERPA INDUSTRIE CAOUTCHOUC. 2023. Available online: https://www.youtube.com/watch?v=-_HQAETfJUQ (accessed on 3 January 2024).
- Omron Industrial Automation EMEA. Material Handling Solutions with Autonomous Mobile Robots. 2021. Available online: https://www.youtube.com/watch?v=03ODgmLZTVU (accessed on 3 January 2024).
- Gebhardt Intralogistics Group. Mobile Verkettung von End-of-Line Solutions durch das GEBHARDT KARIS FTS. 2021. Available online: https://www.youtube.com/watch?v=Z4adQ2YGQyo (accessed on 3 January 2024).
- W. Gessmann. GESSBot Gb 350 mit Systemaufbau. 2023. Available online: https://www.youtube.com/watch?v=FlfVExG52C4 (accessed on 3 January 2024).














| Literature | Simulation | Real Experiments | Drives Power | Control Power | LHD Power | Total Energy Requirement | Operating State | Charging Strategy | Operating Strategy with Energy Constraints | Layout | Material Flow Data | Utilization | CIS Distribution |
|---|---|---|---|---|---|---|---|---|---|---|---|---|---|
| [6] | • | • | - | - | - | - | - | - | - | - | |||
| [9,10] | • | • | - | - | - | - | - | - | - | - | - | ||
| [7] | • | • | - | - | - | - | - | • | - | - | - | ||
| [12] | • | • | - | - | - | - | - | • | - | - | - | ||
| [14] | • | • | - | - | - | - | - | - | - | - | - | ||
| [16] | • | • | - | - | - | - | - | - | - | ||||
| [13] | • | • | - | • | - | - | - | - | - | - | |||
| [2] | • | - | - | - | - | - | - | - | |||||
| [4] | • | - | - | - | - | • | - | • | • | • | • | • | |
| [11] | • | - | - | - | - | - | • | - | - | ||||
| [15] | • | - | • | C, O | • | • | • | • | • | ||||
| [17] | • | - | • | O | - | - | - | - | - | ||||
| [18] | • | - | - | - | C | - | • | • | - | - | |||
| [19] | • | - | - | C | - | - | • | - | - | ||||
| [20] | • | - | - | - | • | • | • | - | - | ||||
| [21] | • | - | • | - | - | • | • | - | - | ||||
| [22] | • | - | - | - | - | - | - | - | • | - | - | • | - |
| ERM | • | • | • | C, I, O | • | • | • | • | • | ||||
| Parameter | Component | Description |
|---|---|---|
| Drives | Full load acceleration | |
| Drives | Full load drive | |
| Drives | Full load deceleration | |
| Drives | No load acceleration | |
| Drives | No load drive | |
| Drives | No load deceleration | |
| Drives | Standby | |
| Drives | Docking | |
| Drives | Undocking | |
| Controls | Control while standby | |
| Controls | Control while active | |
| LHD | Pick up load | |
| LHD | Drop load | |
| LHD | Standby | |
| LHD | Move LHD to pick/drop height | |
| LHD | Move LHD to transport height |
| ExperimentalSetup | Freq. of S7 | Utilization | v | C-Rate | CS | No. of Exp. | ||||
|---|---|---|---|---|---|---|---|---|---|---|
| Planned | Actual | |||||||||
| ExperimentalSetup01A | 0 | - | C | 4 | ||||||
| ExperimentalSetup01B | 0 | - | C | 3 | ||||||
| ExperimentalSetup01C | 0 | - | C | 3 | ||||||
| ExperimentalSetup02 | 0 | - | C | 3 | ||||||
| ExperimentalSetup03 | - | I | 3 | |||||||
| ExperimentalSetup04 | - | I | 3 | |||||||
| ExperimentalSetup05 | - | I | 3 | |||||||
| ExperimentalSetup06 | - | I | 3 | |||||||
| ExperimentalSetup07 | - | 10 | O | 1 | ||||||
| ExperimentalSetup08 | - | 10 | O | 1 | ||||||
| ExperimentalSetup09 | - | 10 | O | 1 | ||||||
| ExperimentalSetup10 | - | 10 | O | 1 | ||||||
| ExperimentalSetup11 | 0.96 * | - | O | 1 | ||||||
| ExperimentalSetup12 | 0.86 * | - | O | 1 | ||||||
| ExperimentalSetup13 | 1.00 * | - | O | 1 | ||||||
Disclaimer/Publisher’s Note: The statements, opinions and data contained in all publications are solely those of the individual author(s) and contributor(s) and not of MDPI and/or the editor(s). MDPI and/or the editor(s) disclaim responsibility for any injury to people or property resulting from any ideas, methods, instructions or products referred to in the content. |
© 2024 by the authors. Licensee MDPI, Basel, Switzerland. This article is an open access article distributed under the terms and conditions of the Creative Commons Attribution (CC BY) license (https://creativecommons.org/licenses/by/4.0/).
Share and Cite
Sperling, M.; Furmans, K. Energy Requirement Modeling for Automated Guided Vehicles Considering Material Flow and Layout Data. Designs 2024, 8, 48. https://doi.org/10.3390/designs8030048
Sperling M, Furmans K. Energy Requirement Modeling for Automated Guided Vehicles Considering Material Flow and Layout Data. Designs. 2024; 8(3):48. https://doi.org/10.3390/designs8030048
Chicago/Turabian StyleSperling, Marvin, and Kai Furmans. 2024. "Energy Requirement Modeling for Automated Guided Vehicles Considering Material Flow and Layout Data" Designs 8, no. 3: 48. https://doi.org/10.3390/designs8030048
APA StyleSperling, M., & Furmans, K. (2024). Energy Requirement Modeling for Automated Guided Vehicles Considering Material Flow and Layout Data. Designs, 8(3), 48. https://doi.org/10.3390/designs8030048





