A Review of the Configurations, Capabilities, and Cutting-Edge Options for Multistage Solar Stills in Water Desalination
Abstract
1. Introduction
2. Literature Review on Multistage Solar Stills Studies
2.1. Packed-Tray Multistage Solar Stills
2.2. Flash Distillation Multistage Solar Stills
2.3. Evacuated Multistage Solar Stills
2.4. Multistage Solar Stills with Vaporization/Heat
2.5. Multistage Solar Stills Equipped with Other Devices
3. Critical Evaluation of Studied Configurations of Multistage Solar Stills in Water Desalination
4. Recommendations for Future Directions
- The study made an effort to examine the novel configurations of multistage solar stills by examining their solar thermal efficiency, water production, and cost of distilled water; however, the analysis of energy and exergy was not specifically covered. Additionally, the complete cost of the multistage solar stills as well as their payback period were not addressed. These are the limitations of the current study that the following investigation should fully emphasize.
- Though combining solar units with distillation units can be beneficial, the sustainability, financial, and ecological concerns of such units are still required to be assessed concurrently with advanced thermodynamic implements such as exergo-economic and exergo-environmental techniques. Further, the optimization of such units through implementing new development methods could have a significant advantage.
- Recommendations for additional study are made to improve the projected multistage solar stills’ level of preparedness, resulting in greater access to this technology for a broader population, particularly in isolated coastal areas.
- To advance solar desalination technology, more research should be carried out, particularly in the areas of coupling with heat storage and diverse waste heat sources. Additionally, the effects of the most recent combinations of adjustments should be analysed to select the best designs of multistage solar stills that achieve the highest thermal performance at a reduced cost.
- There has not yet been a comprehensive investigation of how climate change may affect the overall effectiveness of multistage solar stills. This study may assist in determining if using these technologies in certain regions of the globe is realistic.
- The use of solar cells, Fresnel lenses, and electric heaters should increase the rate of evaporation.
- By adding reflectors to direct additional sunlight towards the solar still, it is possible to increase the distillate output of the still by using a solar tracking technique, which is more efficient than using a stationary still.
- Insulation is essential for preventing heat loss and keeping the solar still’s temperatures high. The thermal efficiency of the still can be considerably increased by using high-quality insulation materials, such as foam or fiberglass.
- Before entering the solar still, saltwater can be pre-treated to remove contaminants, such as suspended particulates or dissolved gases, and lessen fouling on the stills’ surfaces. This can lengthen the still’s lifespan and increase its water production.
- The brine solution can be regularly circulated through the solar still using a recirculating system, which will promote more evaporation and condensation and boost the still’s water productivity.
- The productivity and efficiency of multistage solar stills can be considerably impacted by its design. To achieve the best performance, variables including the surface area, the separation between stages, and the spacing of the condensation surfaces should all be optimised.
- A larger population would have easier access to these technologies as a consequence of the expected advancements in multistage solar still technology, especially in remote coastal locations. To increase the effectiveness of heat and mass transmission, it is very important to use inexpensive materials during the preparation phase.
5. Conclusions
- The multistage distillation unit can operate steadily at high radiation, creating clean water that generates about 1.7 times higher than a unit without a salt-blocking formation.
- Real weather conditions show that the regular water produced in the unit reaches 9.5 kg/m2 for each day at a typical azimuth condition, which is 97% higher than the entirely passive function condition.
- The evaporation process improved the productivity of latent heat and consumption in multiple-stage units.
- The evaporation performance and GOR could be considerably enhanced by boosting radiation and reducing interlayer layout.
- The high temperature of the saline solution provides a higher distillation and higher rates of GOR.
- The water generation rate and the operation coefficient in the standard state increase as the unit temperature increases, whereas the operation efficiency passes one at 70 °C.
- A solar still tray with V configuration of four floors is cheaper than the Λ shape, which needs double the collectors.
- The unit’s efficiency is inversely proportional to the pressure because the evaporation rates decelerate at the compressed condition.
- Enlarging the solar collectors by 26% (at the constant inlet velocity of the water) enhances the unit thermal efficiency, solar percentage, and collected solar energy (during a year) by 23%, 18%, and 24%, respectively.
- Generating clean water using a stable pressure is higher than the free pressure for the same irradiation intensity, and the water generation is directly proportional to the collector temperature.
- The multiple stages of distilled water with homocentric growth evaporation and condensation processes can competently improve the latent heat of the steam and decrease the thermal losses and water dispersion challenge.
- The distillate water is inversely proportional to the salinity. The best value of the stages, space between the stages, and the provided flow rate for the unit were detected as 4, 100 mm, and 55 kg/m2 day, respectively, during the year.
Author Contributions
Funding
Data Availability Statement
Conflicts of Interest
Abbreviations
| GCC | Data Gulf cooperation council |
| GHG | Greenhouse gas |
| MSST | Multistage stacked tray |
| PTC | Parabolic trough collectors |
| CBA | Collector over basin area |
| TMSS | Thermally localized multistage solar stills |
| GOR | Gain output rate |
| TES | Thermal energy storage |
| SMDCMD | Solar-powered multistage direct contact membrane distillation |
| CFD | Computational fluid dynamics |
| PCM | Phase change material |
| CPC | Compound parabolic concentrator |
| BR | Brine recirculation |
| DASC | Direct absorption solar collector |
| MSD | Multistage distillation |
References
- Al-Hotmani, O.M.A.; Al-Obaidi, M.A.; John, Y.M.; Patel, R.; Mujtaba, I. Optimisation of hybrid MED-TVC and double reverse osmosis processes for producing different grades of water in a smart city. Desalination 2022, 534, 115776. [Google Scholar] [CrossRef]
- Al-Obaidi, M.A.; Rasn, K.H.; Aladwani, S.H.; Kadhom, M.; Mujtaba, I.M. Flexible design and operation of multi-stage reverse osmosis desalination process for producing different grades of water with maintenance and cleaning opportunity. Chem. Eng. Res. Des. 2022, 182, 525–543. [Google Scholar] [CrossRef]
- Al-Obaidi, M.; Kara-Zaïtri, C.; Mujtaba, I.M. Wastewater Treatment by Reverse Osmosis Process; CRC Press: Boca Raton, FL, USA, 2020. [Google Scholar] [CrossRef]
- Barba, D.; Germana, A.; Salemme, A.; Tagliaferri, G.; Zonetti, E. Qatar desalination plants. Desalination 1978, 26, 109–116. [Google Scholar] [CrossRef]
- Alsarayreh, A.A.; Al-Obaidi, M.A.; Al-Hroub, A.M.; Patel, R.; Mujtaba, I.M. Performance evaluation of reverse osmosis brackish water desalination plant with different recycled ratios of retentate. Comput. Chem. Eng. 2020, 135, 106729. [Google Scholar] [CrossRef]
- Aladwani, S.H.; Al-Obaidi, M.A.; Mujtaba, I. Performance of reverse osmosis based desalination process using spiral wound membrane: Sensitivity study of operating parameters under variable seawater conditions. Clean. Eng. Technol. 2021, 5, 100284. [Google Scholar] [CrossRef]
- Ansari, M.; Al Obaidi, M.A.; Hadadian, Z.; Moradi, M.; Haghighi, A.; Mujtaba, I.M. Performance evaluation of a brackish water reverse osmosis pilot-plant desalination process under different operating conditions: Experimental study. Clean. Eng. Technol. 2021, 4, 100134. [Google Scholar] [CrossRef]
- United Nations. Sustainable Development Goals Knowledge Platform. UN, New York. Available online: https://sustainabledevelopment.un.org/sdgs (accessed on 2 April 2023).
- Sherif, M.; Abrar, M.; Baig, F.; Kabeer, S. Gulf Cooperation Council countries’ water and climate research to strengthen UN’s SDGs 6 and 13. Heliyon 2023, 9, 3. [Google Scholar] [CrossRef] [PubMed]
- Dhivagar, R.; Shoeibi, S.; Parsa, S.M.; Hoseinzadeh, S.; Kargarsharifabad, H.; Khiadani, M. Performance evaluation of solar still using energy storage biomaterial with porous surface: An experimental study and environmental analysis. Renew. Energy 2023, 206, 879–889. [Google Scholar] [CrossRef]
- Ghaffour, N.; Mujtaba, I.M. Desalination using renewable energy. Desalination 2018, 435, 1–2. [Google Scholar] [CrossRef]
- Mujtaba, I.M.; Sowgath, M.T. Desalination Technologies: Design and Operation; Elsevier: Amsterdam, The Netherlands, 2022. [Google Scholar]
- Yousefi, H.; Mortazavi, S.M.; Noorollahi, Y.; Mortazavi, S.M.; Ranjbaran, P. A review of solar-geothermal hybrid systems for water desalination. In Proceedings of the 42nd Workshop on Geothermal Reservoir Engineering Stanford University, Stanford, CA, USA, 13–15 February 2017; pp. 1–9, SGP-TR-212. [Google Scholar]
- Ahsan, A.; Imteaz, M.; Thomas, U.; Azmi, M.; Rahman, A.; Daud, N.N. Parameters affecting the performance of a low cost solar still. Appl. Energy 2014, 114, 924–930. [Google Scholar] [CrossRef]
- Feilizadeh, M.; Soltanieh, M.; Jafarpur, K.; Karimi Estahbanati, M.R. A new radiation model for a single-slope solar still. Desalination 2010, 262, 166–173. [Google Scholar] [CrossRef]
- Kalidasa Murugavel, K.; Sivakumar, S.; Riaz Ahamed, J.; Chockalingam Knksk Srithar, K. Single basin double slope solar still with minimum basin depth and energy storing materials. Appl. Energy 2010, 87, 514–523. [Google Scholar] [CrossRef]
- Shareef, A.S.; Rashid, F.L.; Alwan, H.F. Experimental Study of New Design Solar Still in Karbala-Iraqi Weathers. Int. J. Mech. Eng. Technol. 2018, 9, 1465–1472. [Google Scholar]
- Rashid, F.L.; Shareef, A.S.; Alwan, H.F. Ehancement of Fresh Water Production in Solar Still Using New Phase Change Materials. J. Adv. Res. Fluid Mech. Therm. Sci. 2019, 61, 63–72. [Google Scholar]
- Shareef, A.S.; Rashid, F.L.; Alwan, H.F. Water solar distiller productivity enhancement using solar collector and phase change material (PCM). IOP Conf. Series Mater. Sci. Eng. 2020, 671, 012150. [Google Scholar] [CrossRef]
- Rashid, F.L.; Shareef, A.S.; Alwan, H.F. Performance Enhancement of a New Passive Solar Still Design for Water Desalination. J. Mech. Eng. Res. Dev. 2020, 43, 75–85. [Google Scholar]
- Shareef, A.S.; Rashid, F.L.; Alwan, H.F. Review on Enhancement of Fresh Water Production in Solar Still Using Phase Change materials. Int. J. Res. Sci. Innov. 2020, 7, 286–295. [Google Scholar]
- Younis, O.; Hussein, A.K.; Attia, M.E.H.; Rashid, F.L.; Kolsi, L.; Biswal, U.; Abderrahmane, A.; Mourad, A.; Alazzam, A. Hemispherical solar still: Recent advances and development. Energy Rep. 2022, 8, 8236–8258. [Google Scholar] [CrossRef]
- Taghvaei, H.; Taghvaei, H.; Jafarpur, K.; Feilizadeh, M.; Estahbanati, M.K. Experimental investigation of the effect of solar collecting area on the performance of active solar stills with different brine depths. Desalination 2015, 358, 76–83. [Google Scholar] [CrossRef]
- Gaur, M.; Tiwari, G. Optimization of number of collectors for integrated PV/T hybrid active solar still. Appl. Energy 2010, 87, 1763–1772. [Google Scholar] [CrossRef]
- Gude, V.G.; Nirmalakhandan, N.; Deng, S.; Maganti, A. Low temperature desalination using solar collectors augmented by thermal energy storage. Appl. Energy 2012, 91, 466–474. [Google Scholar] [CrossRef]
- Al-Karaghouli, A.A.; Alnaser, W.E. Experimental comparative study of the performances of single and double basin solar-stills. Appl. Energy 2004, 77, 317–332. [Google Scholar] [CrossRef]
- Karimi Estahbanati, M.R.; Feilizadeh, M.; Jafarpur Kh Feilizadeh, M.; Rahimpour, M.R. Experimental investigation of a multi-effect active solar still: The effect of the number of stages. Appl. Energy 2015, 137, 46–55. [Google Scholar] [CrossRef]
- Arunkumar, T.; Jayaprakash, R.; Ahsan, A.; Denkenberger, D.; Okundamiya, M.S. Effect of water and air flow on concentric tubular solar water desalting system. Appl. Energy 2013, 103, 109–115. [Google Scholar] [CrossRef]
- Dev, R.; Abdul-Wahab, S.A.; Tiwari, G. Performance study of the inverted absorber solar still with water depth and total dissolved solid. Appl. Energy 2011, 88, 252–264. [Google Scholar] [CrossRef]
- Xiao, G.; Wang, X.; Ni, M.; Wang, F.; Zhu, W.; Luo, Z.; Cen, K. A review on solar stills for brine desalination. Appl. Energy 2013, 103, 642–652. [Google Scholar] [CrossRef]
- Kabeel, A.E.; El-Agouz, S.A. Review of researches and developments on solar stills. Desalination 2011, 276, 1–12. [Google Scholar] [CrossRef]
- Velmurugan, V.; Srithar, K. Performance analysis of solar stills based on various factors affecting the productivity—A review. Renew. Sustain. Energy Rev. 2011, 15, 1294–1304. [Google Scholar] [CrossRef]
- Yadav, S.; Sudhakar, K. Different domestic designs of solar stills: A review. Renew. Sustain. Energy Rev. 2015, 47, 718–731. [Google Scholar] [CrossRef]
- Jose, L. Fernandez and Norberto Chargoy, Multi-Stage, Indirectly Heated Solar Still. Solar Energy 1990, 4, 215–223. [Google Scholar]
- Mkhize, M.M.; Msomi, V. Year-Round Experimental Analysis of the Productivity of Vapour-Based Multistage Solar Still: A Developmental Study. J. Renew. Energy 2023, 2023, 1–15. [Google Scholar] [CrossRef]
- Adhikari, R.; Kumar, A. Transient simulation studies on a multi-stage stacked tray solar still. Desalination 1993, 91, 1–20. [Google Scholar] [CrossRef]
- Adhikari, R.; Kumar, A.; Sootha, G. Simulation studies on a multi-stage stacked tray solar still. Sol. Energy 1995, 54, 317–325. [Google Scholar] [CrossRef]
- Adhikari, R.; Kumar, A. Cost optimization studies on a multi-stage stacked tray solar still. Desalination 1999, 125, 115–121. [Google Scholar] [CrossRef]
- Adhikari, R.S.; Kumar, A.; Garg, H.P. Techno-economic analysis of a multi-stage stacked tray (MSST) solar still. Desalination 2000, 127, 19–26. [Google Scholar] [CrossRef]
- Chen, Z.; Peng, J.; Chen, G.; Hou, L.; Yu, T.; Yao, Y.; Zheng, H. Analysis of heat and mass transferring mechanism of multi-stage stacked-tray solar seawater desalination still and experimental research on its performance. Sol. Energy 2017, 142, 278–287. [Google Scholar] [CrossRef]
- Shaobo, H.; Zhang, Z.; Huang, Z.; Xie, A. Performance optimization of solar multi-stage flash desalination process using Pinch technology. Desalination 2008, 220, 524–530. [Google Scholar] [CrossRef]
- Abdul-Wahab, S.A.; Reddy, K.V.; Al-Weshahi, M.A.; Al-Hatmi, S.; Tajeldin, Y.M. Development of a steady-state mathematical model for multistage flash (MSF) desalination plant. Int. J. Energy Res. 2011, 36, 710–723. [Google Scholar] [CrossRef]
- Alsehli, M.; Choi, J.-K.; Aljuhan, M. A novel design for a solar powered multistage flash desalination. Sol. Energy 2017, 153, 348–359. [Google Scholar] [CrossRef]
- Al-Othman, A.; Tawalbeh, M.; Assad, M.E.H.; Alkayyali, T.; Eisa, A. Novel multi-stage flash (MSF) desalination plant driven by parabolic trough collectors and a solar pond: A simulation study in UAE. Desalination 2018, 443, 237–244. [Google Scholar] [CrossRef]
- Garg, K.; Khullar, V.; Das, S.K.; Tyagi, H. Performance evaluation of a brine-recirculation multistage flash desalination system coupled with nanofluid-based direct absorption solar collector. Renew. Energy 2018, 122, 140–151. [Google Scholar] [CrossRef]
- Ahmed, M.; Hrairi, M.; Ismail, A. On the characteristics of multistage evacuated solar distillation. Renew. Energy 2009, 34, 1471–1478. [Google Scholar] [CrossRef]
- Shatat, M.I.; Mahkamov, K. Determination of rational design parameters of a multi-stage solar water desalination still using transient mathematical modelling. Renew. Energy 2010, 35, 52–61. [Google Scholar] [CrossRef]
- Reddy, K.; Kumar, K.R.; O’Donovan, T.S.; Mallick, T. Performance analysis of an evacuated multi-stage solar water desalination system. Desalination 2012, 288, 80–92. [Google Scholar] [CrossRef]
- Le Goff, P.; Le Goff, J.; Jeday, M.R. Development of a Rugged Design of a High Efficiency Multi-Stage Solar Still. Desalination 1991, 82, 153–163. [Google Scholar] [CrossRef]
- Jubran, B.A.; Ahmed, M.I.; Ismail, A.F.; Abakar, Y.A. Numerical modelling of a multi-stage solar still. Energy Convers. Manag. 2000, 41, 1107–1121. [Google Scholar] [CrossRef]
- Liu, Z.-H.; Guan, H.-Y.; Wang, G.-S. Performance optimization study on an integrated solar desalination system with multi-stage evaporation/heat recovery processes. Energy 2014, 76, 1001–1010. [Google Scholar] [CrossRef]
- Liu, Z.-H.; Hu, R.-L.; Chen, X.-J. A novel integrated solar desalination system with multi-stage evaporation/heat recovery processes. Renew. Energy 2014, 64, 26–33. [Google Scholar] [CrossRef]
- Lee, J.-G.; Kim, W.-S.; Choi, J.-S.; Ghaffour, N.; Kim, Y.-D. Dynamic solar-powered multi-stage direct contact membrane distillation system: Concept design, modeling and simulation. Desalination 2018, 435, 278–292. [Google Scholar] [CrossRef]
- Abdessemed, A.; Bougriou, C.; Guerraiche, D.; Abachi, R. Effects of tray shape of a multi-stage solar still coupled to a parabolic concentrating solar collector in Algeria. Renew. Energy 2018, 132, 1134–1140. [Google Scholar] [CrossRef]
- Zhang, L.; Xu, Z.; Bhatia, B.; Li, B.; Zhao, L.; Wang, E.N. Modeling and performance analysis of high-efficiency thermally-localized multistage solar stills. Appl. Energy 2020, 266, 114864. [Google Scholar] [CrossRef]
- Huang, L.; Jiang, H.; Wang, Y.; Ouyang, Z.; Wang, W.; Yang, B.; Liu, H.; Hu, X. Enhanced water yield of solar desalination by thermal concentrated multistage distiller. Desalination 2019, 477, 114260. [Google Scholar] [CrossRef]
- Ghorbani, B.; Mehrpooya, M.; Dadak, A. Thermo-economic analysis of a solar-driven multi-stage desalination unit equipped with a phase change material storage system to provide heating and fresh water for a residential complex. J. Energy Storage 2020, 30, 101555. [Google Scholar] [CrossRef]
- Li, Y.; Cheng, S.; Jin, B.; Yu, Z.; Gu, R. Designing 3D ribbed evaporating layer of solar-driven multistage desalination device for enhanced evaporation performance. Sustain. Energy Technol. Assess. 2022, 53, 102586. [Google Scholar] [CrossRef]
- Feilizadeh, M.; Estahbanati, M.K.; Jafarpur, K.; Roostaazad, R.; Feilizadeh, M.; Taghvaei, H. Year-round outdoor experiments on a multi-stage active solar still with different numbers of solar collectors. Appl. Energy 2015, 152, 39–46. [Google Scholar] [CrossRef]
- Feilizadeh, M.; Estahbanati, M.K.; Ardekani, A.S.; Zakeri, S.M.E.; Jafarpur, K. Effects of amount and mode of input energy on the performance of a multi-stage solar still: An experimental study. Desalination 2015, 375, 108–115. [Google Scholar] [CrossRef]
- Bait, O.; Si–Ameur, M. Numerical investigation of a multi-stage solar still under Batna climatic conditions: Effect of radiation term on mass and heat energy balances. Energy 2016, 98, 308–323. [Google Scholar] [CrossRef]
- Xu, Z.; Zhang, L.; Zhao, L.; Li, B.; Bhatia, B.; Wang, C.; Wilke, K.L.; Song, Y.; Labban, O.; Lienhard, J.H.; et al. Ultrahigh-efficiency desalination via a thermally-localized multistage solar still. Energy Environ. Sci. 2020, 13, 830–839. [Google Scholar] [CrossRef]
- Wang, L.; Cheng, H.; Wu, G.; He, Q.; Zheng, H. Thermodynamic and economic analysis of a solar hydroponic planting system with multi-stage interfacial distillation units. Desalination 2022, 539, 115970. [Google Scholar] [CrossRef]
- Wang, L.; He, Q.; Yu, H.; Jin, R.; Zheng, H. A floating planting system based on concentrated solar multi-stage rising film distillation process. Energy Convers. Manag. 2022, 254, 115227. [Google Scholar] [CrossRef]
- Cheng, S.; Li, Y.; Jin, B.; Yu, Z.; Gu, R. Designing salt transmission channel of solar-driven multistage desalination device for efficient and stable freshwater production from seawater. Desalination 2022, 531, 115688. [Google Scholar] [CrossRef]























| Author | Location | Latitude | Multistage Solar Stills Type | Testing Period (h/Radiation (W/m2) | Method | Studied Parameters | Remarks |
|---|---|---|---|---|---|---|---|
| Fernandez and Chargoy (1990) [34] | Mexico | latitude 19°25′ N, longitude 99°07′ W | Solar still built based on a packed-tray array for tandem distillate and thermal improvement. | September, October, and November | Experimental | Tray location | Even if there is a temperature variation between the trays, the tray below that does not allow distillation to begin, the trays in the stack’s intermediate tiers are growing warmer. |
| Adhikari and Kumar (1993) [36] | Delhi, India | latitude 77°13′ N, longitude 0.1956″ E | Multiple-stage packed-tray solar still. | Coldest and hottest months | Numerical | Impacts of stages number and fraction of collector size to the bottom tray size (Ac/Ab, t) | The quantity of daily distillate produced is proportional to the ratio of collector size to the base tray size. |
| Adhikari et al. (1995) [37] | Delhi, India | latitude 77°13′ N, longitude 0.1956″ E | Multiple-stage stacked-tray solar still. | September, October, and November | Experimental and numerical | The number of stages | The daily distillate output grows in direct proportion to the stage number at which the purification procedure is carried out in the system. |
| Adhikari and Kumar (1999) [38] | Delhi, India | latitude 77°13′ N, longitude 0.1956″ E | Multiple-stage stacked-tray (MSST) solar still connected to a solar collector. | September, October, and November | Experimental and Numerical | Area of solar collectors, stages number | The growth in the total size of solar collectors indicates a rise in the annual average quantity of distillate produced. |
| Adhikari et al. (2000) [39] | Delhi, India | latitude 77°13′ N, longitude 0.1956″ E | A heat exchanger is placed above multiple-stage stacked-tray (MSST) solar still that also includes a solar collector. | September, October, and November | Analytical | Number of stages and the size of the solar collector | The number of stages in the distillation process and the size of the solar collector both have a proportional impact on the average amount of distillate generated annually. |
| Chen et al. (2017) [40] | Chongqing, China | latitude 29°26′ N, longitude 106°53′ E | Multiple-stage packed-tray solar saltwater distillation still. | 19–20 MJ/(D-m2) | Experimental and analytical | Temperature, seawater depth. | When the temperature was high, it was discovered that the water generation rate and the operation coefficient were more significant. Additionally, as saltwater depth is reduced, both the cumulative water production and performance coefficient increase. |
| Author | Location | Latitude | Multistage Solar Stills Type | Testing Period (h)/Radiation (W/m2) | Method | Studied Parameters | Remarks |
|---|---|---|---|---|---|---|---|
| Shaobo et al. (2008) [41] | Guangdong, China | latitude 22°31′ N, longitude 113°23′ E | Solar multiple-stage flash (MSF) distillation method using Pinch mode. | - | Analytical | The stage temperature difference and pinch point temperature difference. | When the distilled water is released at each stage or every five stages, the system has a GOR of about 9 points lower. |
| Abdul-Wahab et al. (2012) [42] | Muscat, Oman | latitude 23°36′ N, longitude 58°32′ E | Multistage flash (MSF) desalination. | - | Numerical | Brine recycle flow, seawater flow, seawater temperature, seawater concentration, top brine temperature (TBT), steam temperature, and the plant load. | It may be recommended for determining optimum set point of a running MSF desalination plant at different loads to maximise the water production or minimise energy consumption. |
| Alsehli et al. (2017) [43] | Riyadh, Saudi Arabia | latitude 24°46′ N, longitude 46°44′ E | Solar-powered multistage flash (MSF) desalination. | - | Experimental | Impact of using array of concentrating solar collectors and a pair of thermal storage tanks. | Still efficiency enhances with using array of concentrating solar collectors and a pair of thermal storage tanks. |
| Al-Othman et al. (2018) [44] | Sharjah, United Arab Emirates | latitude 25°20′ N, longitude 55°24′ E | New solar-powered multiple-stage flash (MSF) distillation unit. | - | Experimental | Impact of using parabolic channel collectors (PCC) and a solar pond. | The two PTCs, which have a combined space area of 3160 m2, can deliver around 76% of the MSF’s necessary power. |
| Garg et al. (2018) [45] | Punjab, India | latitude 30°56′ N, longitude 74°31′ E | Multiple-stage flash (MSF) distillation unit with saline recirculation (SR) configuration. | Min 500–Max 1000 | Experimental and numerical | Top brine temperature, parabolic trough collector (PTC)-built on distillation unit. | Compared to a system based on PTC, the thermal operation of a unit built on DASC is roughly 11% greater. |
| Author | Location | Latitude | Multistage Solar Stills Type | Testing Period (h)/Radiation (W/m2) | Method | Studied Parameters | Remarks |
|---|---|---|---|---|---|---|---|
| Ahmed et al. (2009) [46] | Kuala Lumpur, Malaysia | latitude 3°8′ N, longitude 101°41′ E | Multistage evacuated solar distillation system. | Min 100–Max 1198 | Experimental and numerical | Internal pressure and characteristic height. | The smaller vaporisation rates at the higher-pressure levels were responsible for the decline in productivity that occurred when the pressure was raised. It was discovered that the height fluctuation distinctive of the still considerably affects the projected construction that the still produces. As a result, productivity drops very dramatically while working at greater heights. |
| Shatat and Mahkamov (2010) [47] | Durham, UK | latitude 54°46′ N, longitude 1°34′ W | Multiple-stage water distillation still attached to a heat duct evacuated solar channel collector. | Min 300–Max 1100 | Experimental and numerical | Impact of using solar collector, and the number of stages. | The system generates around 9 kg of daily clean water and has a productivity of approximately 68% for solar collectors. However, the total efficiency of the laboratory test rig was determined to be at the level of 33%, owing to significant thermal waste in the unit. The quantity of distillate produced increases proportionally with the number of stages used in the process. |
| Reddy et al. (2012) [48] | Chennai, India | latitude 13°4′ N, longitude 80°14′ E | Multiple-stage evacuated solar distillation unit. | March and December | Experimental | Salinity of water, the number of stages, space between the stages, and flow velocity. | When there is a rise in the salt of the water, the distillate production goes down. Throughout the year, it was determined that the optimal values for the stages number, the space between the stages, and the provided flow velocity for the unit were 4, 10 cm, and 55 kg/m2 day, respectively. |
| Author | Location | Latitude | Multistage Solar Stills Type | Testing Period (h)/Radiation (W/m2) | Method | Studied Parameters | Remarks |
|---|---|---|---|---|---|---|---|
| Goff et al. (1991) [49] | Tunisia | latitude 36°48′ N, longitude 10°10′ E | Six rectangular cells forming a thermal series. | May Min 200–Max 830 | Experimental | Number of stages | Still efficiency increases with an increasing number of stages. |
| Jubran et al. (2000) [50] | Kuala Lumpur, Malaysia | latitude 3°8′ N, longitude 101°41′ E | Multiple-stage solar still with an growth nozzle and heat improvement in each stage. | Min 120–Max 1200 | Numerical | Impact of using growth nozzle and thermal improvement methods. | The daily solar still production may be as high as 9 kg/m2, and the efficiency of the distillate process is 87%. |
| Liu et al. (2014) [51] | Shanghai, China | latitude 31°13′ N, longitude 121°28′ E | Innovative modest-sized combined solar distillation unit with multiple stages vaporization/heat improvement procedures. | Min 200–Max 900 | Experimental | Solar radiation, running pressure, using pressure-modifying technique, climate condition, period condition, and highest collecting temperature. | The clean water production will also increase as the peak collecting temperature increases due to the higher productivity of the heat recovery process. Additionally, as the maximum collecting temperature rises, the freshwater production will rise. |
| Liu et al. (2014) [52] | Shanghai, China | latitude 31°13′ N, longitude 121°28′ E | Innovative modest-sized combined solar distillation unit with multiple stages vaporization/heat improvement procedures. | Autumn Min 50–Max 810 | Experimental | Design of the system. | The developed system has a total efficiency that is very near 0.9, and the clean water area of the unit may reach as high as 1.25 kg/h.m2. |
| Lee et al. (2018) [53] | Busan, Korea | latitude 35°10′ N, longitude 129°3′ E | Solar-powered multistage through interaction membrane distillation (SMDCMD) unit. | October and December | Experimental and numerical | Number of module stages. | The capacity of the dynamic operating scheme to dynamically modify the number of module stages it uses in response to variations in the temperature of the intake feed for each succeeding module directly leads to an improvement in the water output and thermal efficiency. |
| Abdessemed et al. (2018) [54] | Batna city, Algeria | latitude 35°33′ N, longitude 6°10′ E | Solar distiller with four floors. | Average 971.22 | Experimental | Impact of using “V”- and “Ʌ”-shaped trays. | Producing distilled water using trays as a “V” is the most effective method. Trays in the form of a “V” are more cost-effective than those in the shape of a “U,” which need two collectors. |
| Zhang et al. (2020) [55] | Cambridge, USA | latitude 42°22′ N, longitude 71°6′ W | Multistage solar stills (TMSS) system with varying device configurations. | Average 1000 | Experimental | Stage number. | Because there is no longer any heat loss by radiation or convection on the front wall, the rate of energy reuse during the third stage is increased to around 80%. |
| Huang et al. (2020) [56] | Wuhan, China | latitude 30°34′ N, longitude 114°16′ E | Thermal concentrated multiple stages distiller. | 15 October Min 600–Max 1000 | Experimental | Impact of using concentric expansion evaporator–condenser structure. | The multistage distiller that utilises a concentric expansion evaporator–condenser construction can effectively improve the latent heat of vapour while simultaneously cutting down on heat losses and the resistance to water diffusion. |
| Ghorbani et al. (2020) [57] | Amol, Iran | latitude 36°28′ N, longitude 52°21′ E | Coupled a horizontal plate solar area to a multiple-stage distillation unit. | Min 100–Max 1000 | Experimental and numerical | Area of solar collectors. | The annual increases in collector thermal efficiency, solar percentage, and solar energy captured are, respectively, 23%, 18%, and 23% when the total number of solar collectors is raised by 26% while keeping the mass flow rate of incoming water constant. |
| Li et al. (2022) [58] | Hangzhou, China | latitude 30°15′ N, longitude 120°9′ E | Multiple-stage purification unit with a 3D ribbed vaporization sheet. | Average 1000 | Experimental and numerical | Impact of ribbed evaporation layer. | In multistage devices, the productivity of latent heat transmission and use was significantly improved thanks to the ribbed evaporation layer. As a result, the steady vaporization rate of the 10-stages unit reached 4 kg−2 h−1, almost 1.6-fold that of the system’s first stage. |
| Author | Location | Latitude | Multistage Solar Stills Type | Testing Period (h)/Radiation (W/m2) | Method | Studied Parameters | Remarks |
|---|---|---|---|---|---|---|---|
| Feilizadeh et al. (2015) [59] | Shiraz, Iran | latitude 29°370′ N, longitude 52°320′ E | A basin-type multistage solar still equipped with solar collector. | February 25, March 12 and 13 | Experimental | Impact of using the basin collector. | Adding a second or third collector resulted in production increases of 48% and 23%, respectively, during the summer months. |
| Feilizadeh et al. (2015) [60] | Tehran, Iran | latitude 35°32′ N, longitude 51°7′ E | Active multistage solar still. | July | Experimental | Effects of the amount and mode of input energy. | The productivity still only rose by 5–10% when TES was used. |
| Bait and Si-Ameur (2016) [61] | Batna city, Algeria | latitude 35°33′ N, longitude 6°10′ E | Multistage distillation system. | Average 971.22 | Experimental | Geometrical configuration. | Because the yield follows a curved shape, it is possible to conclude that the amount of distillate rose even though the temperatures were lower. |
| Xu et al. (2020) [62] | Shanghai, China | latitude 31°13′ N, longitude 121°28′ E | Multistage solar stills | Min 200–Max 900 | Experimental | The overall heat and mass transport in multistage solar stills. | Enhancing the overall heat and mass transport increases the flexibility of material choices for the TMSS design. |
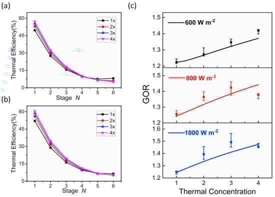
| Wang et al. (2022) [63] | Guangzhou, China | latitude 23°7′ N, longitude 113°15′ E | Solar hydroponic seeding unit merged with multiple-stage interfacial distillate system. | Average 1000 | Experimental and analytical | Radiation and layer gap. | Both the evaporation efficiency and the GOR have the potential to greatly improve with an increase in the amount of irradiation and a reduction in the amount of space between the layers. |
| Wang et al. (2022) [64] | Beijing, China | latitude 39°55′ N, longitude 116°22′ E | Drifting planting unit built on multiple stages increasing film extraction process operated by concentrated solar power. | Average 900 | Experimental and numerical | Different operating parameters. | According to the actual weather, the system’s daily water output could reach 9.5 kg/m2/day under an azimuth-following condition, which is 97% greater than the state of operation in which it is completely passive. |
| Cheng et al. (2022) [65] | Hangzhou, China | latitude 30°15′ N, longitude 120°9′ E | Solar-driven passive multistage distillation (MSD) unit with an efficient salt-resistant shape. | Average 900 | Experimental and numerical | Impact of salt-blocking structure. | The MSD device produces a yield of freshwater that is more than 1.7 times greater than that of a device without a salt-blocking component because it can operate normally even when exposed to a significant amount of light. |
Disclaimer/Publisher’s Note: The statements, opinions and data contained in all publications are solely those of the individual author(s) and contributor(s) and not of MDPI and/or the editor(s). MDPI and/or the editor(s) disclaim responsibility for any injury to people or property resulting from any ideas, methods, instructions or products referred to in the content. |
© 2023 by the authors. Licensee MDPI, Basel, Switzerland. This article is an open access article distributed under the terms and conditions of the Creative Commons Attribution (CC BY) license (https://creativecommons.org/licenses/by/4.0/).
Share and Cite
Rashid, F.L.; Kaood, A.; Al-Obaidi, M.A.; Mohammed, H.I.; Alsarayreh, A.A.; Al-Muhsen, N.F.O.; Abbas, A.S.; Zubo, R.H.A.; Mohammad, A.T.; Alsadaie, S.; et al. A Review of the Configurations, Capabilities, and Cutting-Edge Options for Multistage Solar Stills in Water Desalination. Designs 2023, 7, 67. https://doi.org/10.3390/designs7030067
Rashid FL, Kaood A, Al-Obaidi MA, Mohammed HI, Alsarayreh AA, Al-Muhsen NFO, Abbas AS, Zubo RHA, Mohammad AT, Alsadaie S, et al. A Review of the Configurations, Capabilities, and Cutting-Edge Options for Multistage Solar Stills in Water Desalination. Designs. 2023; 7(3):67. https://doi.org/10.3390/designs7030067
Chicago/Turabian StyleRashid, Farhan Lafta, Amr Kaood, Mudhar A. Al-Obaidi, Hayder I. Mohammed, Alanood A. Alsarayreh, Nizar F. O. Al-Muhsen, Ammar S. Abbas, Rana H. A. Zubo, Abdulrahman Th. Mohammad, Salih Alsadaie, and et al. 2023. "A Review of the Configurations, Capabilities, and Cutting-Edge Options for Multistage Solar Stills in Water Desalination" Designs 7, no. 3: 67. https://doi.org/10.3390/designs7030067
APA StyleRashid, F. L., Kaood, A., Al-Obaidi, M. A., Mohammed, H. I., Alsarayreh, A. A., Al-Muhsen, N. F. O., Abbas, A. S., Zubo, R. H. A., Mohammad, A. T., Alsadaie, S., Sowgath, M. T., Abd-Alhameed, R., & Mujtaba, I. M. (2023). A Review of the Configurations, Capabilities, and Cutting-Edge Options for Multistage Solar Stills in Water Desalination. Designs, 7(3), 67. https://doi.org/10.3390/designs7030067

