Towards the Mechatronic Development of a New Upper-Limb Exoskeleton (SAMA)
Abstract
:1. Introduction
2. Mechanical Design
2.1. Anatomy of the Human Arm
2.2. Mechanical Design Considerations
3. Modeling of the SAMA Exoskeleton
3.1. Kinematic Calculations
3.2. Dynamic Modeling
3.2.1. Inverse Kinematics
3.2.2. Actuator Sizing Calculations
3.3. PID Computed Torque Control
4. Hardware Selection
4.1. Motor Selection
4.2. Sensor Selection
5. Control System Framework
5.1. Rapid Prototyping Software
5.2. Middleware
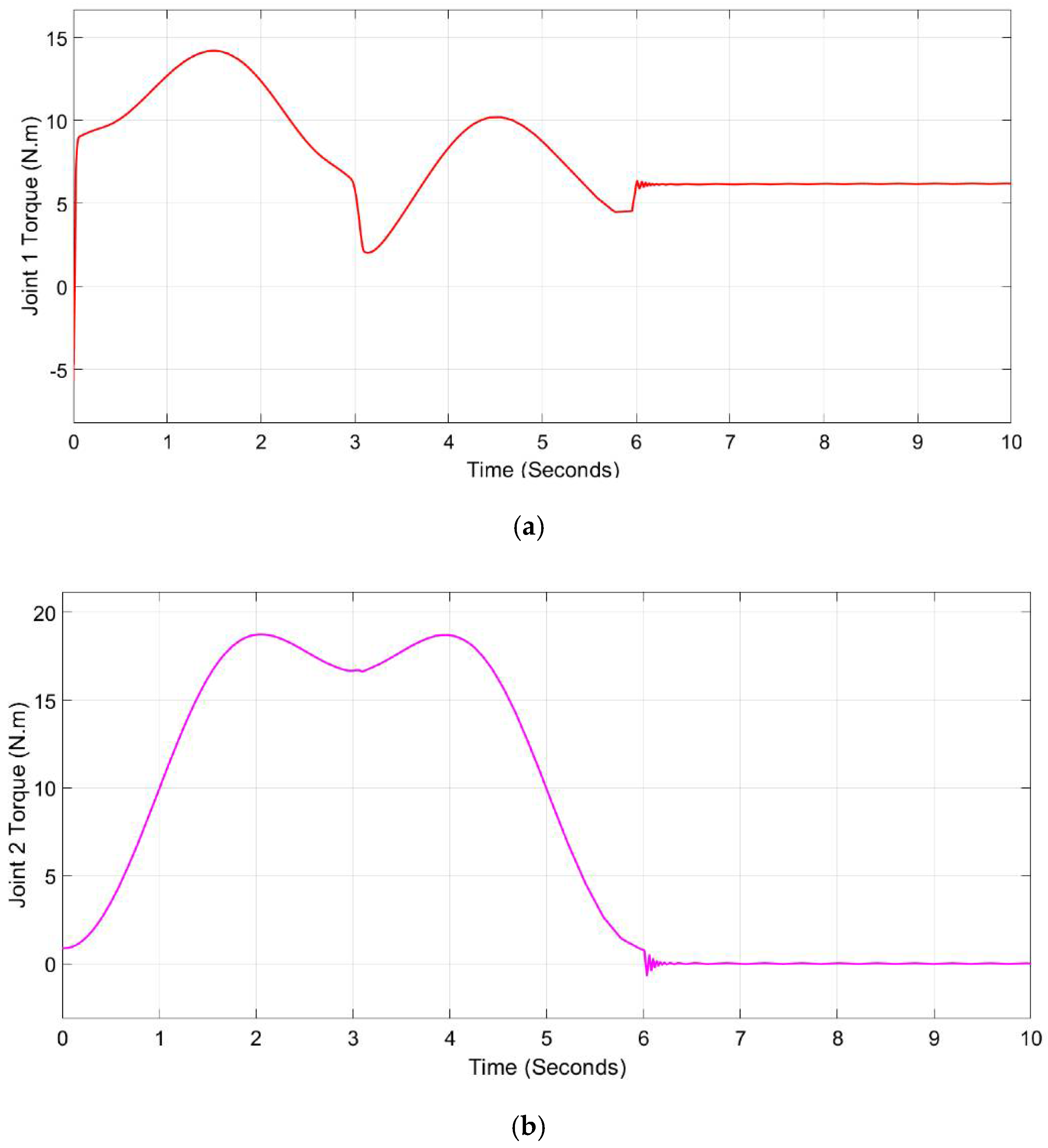
6. Experimental Results and System Evaluation
7. Conclusions and Future Work
Author Contributions
Funding
Institutional Review Board Statement
Informed Consent Statement
Data Availability Statement
Conflicts of Interest
References
- Babaiasl, M.; Mahdioun, S.H.; Jaryani, P.; Yazdani, M. A review of technological and clinical aspects of robot-aided rehabilitation of upper-extremity after stroke. Disabil. Rehabil. Assist. Technol. 2015, 11, 1–18. [Google Scholar] [CrossRef]
- Alrabghi, L.; Alnemari, R.; Aloteebi, R.; Alshammari, H.; Ayyad, M.; Ibrahim, M.A.; Alotayfi, M.; Bugshan, T.; Alfaifi, A.; Aljuwayd, H. Stroke types and management. Int. J. Community Med. Public Health 2018, 5, 3715. [Google Scholar] [CrossRef]
- Owolabi, M.O.; Thrift, A.G.; Martins, S.C.O.; Johnson, W.; Pandian, J.D.; Abd-Allah, F.; Varghese, C.; Mahal, A.; Yaria, J.; Phan, H.T.; et al. The state of stroke services across the globe: Report of World Stroke Organization–World Health Organization surveys. Int. J. Stroke 2021, 16, 889–901. [Google Scholar] [CrossRef] [PubMed]
- Abd-Allah, F.; Moustafa, R.R. Burden of Stroke in Egypt: Current Status and Opportunities. Int. J. Stroke 2014, 9, 1105–1108. [Google Scholar] [CrossRef]
- Mehdi, H.; Boubaker, O. Stiffness and Impedance Control Using Lyapunov Theory for Robot-Aided Rehabilitation. Int. J. Soc. Robot. 2012, 4, 107–119. [Google Scholar] [CrossRef]
- Marchal-Crespo, L.; Reinkensmeyer, D.J. Review of control strategies for robotic movement training after neurologic injury. J. Neuroeng. Rehabil. 2009, 6, 20. [Google Scholar] [CrossRef]
- Lum, P.; Burgar, C.; Shor, P. Evidence for improved muscle activation patterns after retraining of reaching movements with the MIME robotic system in subjects with post-stroke hemiparesis. IEEE Trans. Neural Syst. Rehabil. Eng. 2004, 12, 186–194. [Google Scholar] [CrossRef]
- Raslan, M.; Abdellatif, A.; Atia, M.R.A. A novel exoskeleton finger mechanism for robotic applications. In Proceedings of the 2021 3rd Novel Intelligent and Leading Emerging Sciences Conference (NILES), Giza, Egypt, 23–25 October 2021; pp. 5–10. [Google Scholar] [CrossRef]
- Stinear, C.M.; E Lang, C.; Zeiler, S.; Byblow, W.D. Advances and challenges in stroke rehabilitation. Lancet Neurol. 2020, 19, 348–360. [Google Scholar] [CrossRef]
- Garcia, D.A.; Arredondo, R.; Morris, M.; Tosunoglu, S. A Review of Rehabilitation Strategies or Stroke Recovery. Early Career Tech. J. 2012, 11, 9. [Google Scholar]
- Jung, M.; Ludden, G. What Do Older Adults and Clinicians Think About Traditional Mobility Aids and Exoskeleton Technology? ACM Trans. Human-Robot Interact. 2019, 8, 1–17. [Google Scholar] [CrossRef] [Green Version]
- Pérez-Rodríguez, R.; Rodríguez, C.; Costa, Ú.; Cáceres, C.; Tormos, J.M.; Medina, J.; Gómez, E.J. Anticipatory assistance-as-needed control algorithm for a multijoint upper limb robotic orthosis in physical neurorehabilitation. Expert Syst. Appl. 2014, 41, 3922–3934. [Google Scholar] [CrossRef]
- Mohebbi, A. Human-Robot Interaction in Rehabilitation and Assistance: A Review. Curr. Robot. Rep. 2020, 1, 131–144. [Google Scholar] [CrossRef]
- Anam, K.; Al-Jumaily, A.A. Active Exoskeleton Control Systems: State of the Art. Procedia Eng. 2012, 41, 988–994. [Google Scholar] [CrossRef]
- López-Méndez, S.; Martínez-Tejada, H.V.; Valencia-García, M.F. Development of an armored upper limb exoskeleton. Revista Facultad de Ingeniería Universidad de Antioquia 2020, 95, 109–117. [Google Scholar] [CrossRef]
- Crouch, I.G. Introduction to Armour Materials in The Science of Armour Materials; Crouch, I.G., Ed.; Elsevier: Amsterdam, The Netherlands, 2016; pp. 1–54. [Google Scholar]
- Qassim, H.M.; Hasan, W.Z.W. A Review on Upper Limb Rehabilitation Robots. Appl. Sci. 2020, 10, 6976. [Google Scholar] [CrossRef]
- Sebastian, G.; Li, Z.; Tan, Y.; Oetomo, D. Force Observer for an Upper Limb Rehabilitation Robotic Device Using Iterative Learning Control. In Proceedings of the 2019 12th Asian Control Conference, Kitakyushu, Japan, 9–12 June 2019; p. 6. [Google Scholar]
- Gull, M.A.; Bai, S.; Bak, T. A Review on Design of Upper Limb Exoskeletons. Robotics 2020, 9, 16. [Google Scholar] [CrossRef]
- Kim, S.; Nussbaum, M.A.; Esfahani, M.I.M.; Alemi, M.M.; Jia, B.; Rashedi, E. Assessing the influence of a passive, upper extremity exoskeletal vest for tasks requiring arm elevation: Part II-“Unexpected” effects on shoulder motion, balance, and spine loading. Appl. Ergon. 2018, 70, 323–330. [Google Scholar] [CrossRef]
- Young, A.J.; Ferris, D.P. State of the Art and Future Directions for Lower Limb Robotic Exoskeletons. IEEE Trans. Neural Syst. Rehabil. Eng. 2017, 25, 171–182. [Google Scholar] [CrossRef]
- Vélez-Guerrero, M.A.; Callejas-Cuervo, M.; Mazzoleni, S. Design, Development, and Testing of an Intelligent Wearable Robotic Exoskeleton Prototype for Upper Limb Rehabilitation. Sensors 2021, 21, 5411. [Google Scholar] [CrossRef]
- Manjaree, S.; Thomas, M. Modeling of Multi-DOF Robotic Manipulators using Sim-Mechanics Software. Indian, J. Sci. Technol. 2016, 9, 1–7. [Google Scholar] [CrossRef] [Green Version]
- Gull, M.A.; Thoegersen, M.; Bengtson, S.H.; Mohammadi, M.; Andreasen Struijk, L.N.S.; Moeslund, T.B.; Bak, T.; Bai, S. A 4-DOF Upper Limb Exoskeleton for Physical Assistance: Design, Modeling, Control and Performance Evaluation. Appl. Sci. 2021, 11, 5865. [Google Scholar] [CrossRef]
- Birouaș, F.I.; Țarcă, R.C.; Dzitac, S.; Dzitac, I. Preliminary Results in Testing of a Novel Asymmetric Underactuated Robotic Hand Exoskeleton for Motor Impairment Rehabilitation. Symmetry 2020, 12, 1470. [Google Scholar] [CrossRef]
- Baud, R.; Manzoori, A.R.; Ijspeert, A.; Bouri, M. Review of control strategies for lower-limb exoskeletons to assist gait. J. Neuroeng. Rehabil. 2021, 18, 1–34. [Google Scholar] [CrossRef] [PubMed]
- Caballero, A. Advanced Rapid Control Prototyping System for Exoskeleton and Mechatronic Devices. Ph.D. Thesis, University Carlos III of Madrid, Madrid, Spain, 2014. [Google Scholar]
- Meng, W.; Liu, Q.; Zhou, Z.; Ai, Q.; Sheng, B.; Xie, S. Recent development of mechanisms and control strategies for robot-assisted lower limb rehabilitation. Mechatronics 2015, 31, 132–145. [Google Scholar] [CrossRef]
- Nguyen-Tuong, D.; Peters, J. Learning Robot Dynamics for Computed Torque Control Using Local Gaussian Processes Regression. In Proceedings of the 2008 ECSIS Symposium on Learning and Adaptive Behaviors for Robotic Systems (LAB-RS), Edinburgh, UK, 6–8 August 2008; pp. 59–64. [Google Scholar] [CrossRef]
- Hasan, S.; Dhingra, A.K. Development of a model reference computed torque controller for a human lower extremity exoskeleton robot. Proc. Inst. Mech. Eng. Part I J. Syst. Control. Eng. 2021, 235, 1615–1637. [Google Scholar] [CrossRef]
- Sharkawy, A.-N.; Koustoumpardis, P.N. Dynamics and Computed-Torque Control of a 2-DOF manipulator: Mathematical Analysis. Int. J. Adv. Sci. Technol. 2019, 28, 13. [Google Scholar]
- Gupta, A.; Mondal, A.K.; Gupta, M.K. Kinematic, Dynamic Analysis and Control of 3 DOF Upper-limb Robotic Exoskeleton. J. Eur. Des Systemes Autom. 2019, 52, 297–304. [Google Scholar] [CrossRef]
- Falkowski, P. Light Exoskeleton Design with Topology Optimisation and FEM Simulations for FFF Technology. J. Autom. Mob. Robot. Intell. Syst. 2022, 15, 14–19. [Google Scholar] [CrossRef]
- Dosoftei, C.-C.; Popovici, A.-T.; Sacaleanu, P.-R.; Gherghel, P.-M.; Budaciu, C. Hardware in the Loop Topology for an Omnidirectional Mobile Robot Using Matlab in a Robot Operating System Environment. Symmetry 2021, 13, 969. [Google Scholar] [CrossRef]
- Riani, A. Control and observation of exoskeleton for upper limb functional rehabilitation. Ph.D. Thesis, Paris-Saclay University, Paris, France, 2018. [Google Scholar]
- Leal-Naranjo, J.A.; Ceccarelli, M.; Miguel, C.R.T.S. Mechanical Design of a Prosthetic Human Arm and its Dynamic Simulation. In Advances in Robot Design and Intelligent Control, 540; Rodić, A., Borangiu, T., Eds.; Springer International Publishing: Cham, Switzerland, 2017; pp. 482–490. [Google Scholar] [CrossRef]
- Couvertier, M.; Monnet, T.; Lacouture, P. Identification of Human Body Segment Inertial Parameters. In Proceedings of the 22nd Congress of the European Society of Biomechanics, Lyon, France, 10–13 July 2016. [Google Scholar]
- Wang, X.; Song, Q.; Wang, X.; Liu, P. Kinematics and Dynamics Analysis of a 3-DOF Upper-Limb Exoskeleton with an Internally Rotated Elbow Joint. Appl. Sci. 2018, 8, 464. [Google Scholar] [CrossRef]
- Blanco-Ortega, A.; Vázquez-Sánchez, L.; Adam-Medina, M.; Colín-Ocampo, J.; Abúndez-Pliego, A.; Cortés-García, C.; García-Beltrán, C.D. A Robust Controller for Upper Limb Rehabilitation Exoskeleton. Appl. Sci. 2022, 12, 1178. [Google Scholar] [CrossRef]
- Gonzalez-Garcia, A.; Castañeda, H. Adaptive Integral Terminal Sliding Mode Control for an Unmanned Surface Vehicle Against External Disturbances. IFAC-PapersOnLine 2021, 54, 202–207. [Google Scholar] [CrossRef]
- Gasperina, S.D.; Ghonasgi, K.; de Oliveira, A.C.; Gandolla, M.; Pedrocchi, A.; Deshpande, A. A Novel Inverse Kinematics Method for Upper-Limb Exoskeleton under Joint Coordination Constraints. In Proceedings of the 2020 IEEE/RSJ International Conference on Intelligent Robots and Systems (IROS), Las Vegas, NV, USA, 24 October 2020; pp. 3404–3409. [Google Scholar] [CrossRef]
- Ozkul, F.; Barkana, D.E. Upper-Extremity Rehabilitation Robot RehabRoby: Methodology, Design, Usability and Validation. Int. J. Adv. Robot. Syst. 2013, 10, 401. [Google Scholar] [CrossRef]
- Galli, M.; Barber, R.; Garrido, S.; Moreno, L. Path planning using Matlab-ROS integration applied to mobile robots. In Proceedings of the 2017 IEEE International Conference on Autonomous Robot Systems and Competitions (ICARSC), Coimbra, Portugal, 26–28 April 2017; pp. 98–103. [Google Scholar] [CrossRef]
- Hessinger, M.; Müller, R.; Werthschützky, R.; Pott, P. Tool Position Control of an Upper Limb Exoskeleton for Robot-Assisted Surgery∗∗This work was funded by the German Federal Ministry of Education and Research (ref. no. 16SV5773K). IFAC-PapersOnLine 2015, 48, 195–200. [Google Scholar] [CrossRef]
- Ghonasgi, K.; de Oliveira, A.C.; Shafer, A.; Rose, C.G.; Deshpande, A.D. Estimating the Effect of Robotic Intervention on Elbow Joint Motion. In Proceedings of the 2019 28th IEEE International Conference on Robot and Human Interactive Communication (RO-MAN), New Delhi, India, 14–18 October 2019; pp. 1–6. [Google Scholar]
- Wu, Q.; Wang, X.; Du, F. Development and analysis of a gravity-balanced exoskeleton for active rehabilitation training of upper limb. J. Mech. Eng. Sci. 2016, 230, 3777–3790. [Google Scholar] [CrossRef]
- Crea, S.; Cempini, M.; Mazzoleni, S.; Carrozza, M.C.; Posteraro, F.; Vitiello, N. Phase-II clinical validation of a powered exoskeleton for the treatment of elbow spasticity. Front. Neurosci. 2017, 11, 261. [Google Scholar] [CrossRef]
- Oguntosin, V.W.; Mori, Y.; Kim, H.; Nasuto, S.J.; Kawamura, S.; Hayashi, Y. Design and Validation of Exoskeleton Actuated by Soft Modules toward Neurorehabilitation—Vision-Based Control for Precise Reaching Motion of Upper Limb. Front. Neurosci. 2017, 11, 352. [Google Scholar] [CrossRef] [Green Version]
- Krebs, H.I.; Ferraro, M.; Buerger, S.P.; Newbery, M.J.; Makiyama, A.; Sandmann, M.; Lynch, D.; Volpe, B.T.; Hogan, N. Rehabilitation robotics: Pilot trial of a spatial extension for MIT-Manus. J. Neuroeng. Rehabil. 2004, 1, 5. [Google Scholar] [CrossRef]
- Destarac, M.A.; Cena, C.E.G.; García, J.; Espinoza, R.; Saltaren, R.J. ORTE: Robot for Upper Limb Rehabilitation. Biomechanical Analysis of Human Movements. IEEE Lat. Am. Trans. 2018, 16, 1638–1643. [Google Scholar] [CrossRef]




























| Body Segment | Length (mm) | Range of Motion (°) |
|---|---|---|
| Hip–Shoulder [ | 709.3 | - |
| Shoulder to Shoulder [ | 420 | - |
| Shoulder–Elbow [ | 244.8 | - |
| Elbow–Wrist [ | 251.3 | - |
| Shoulder adduction/abduction | - | −10 to 115 |
| Shoulder flexion/extension | - | −50 to 115 |
| Elbow flexion/extension | - | 5 to 120 |
| Link | ||||
|---|---|---|---|---|
| 1 | 0 | |||
| 2 | 0 | |||
| 3 | 0 | 0 |
| Prototype | Articulation | Type of Rotation | ROM (°) |
|---|---|---|---|
| SAMA | Shoulder | Extension/Flexion | 170 |
| Abduction/Adduction | 120 | ||
| Elbow | Extension/Flexion | 115 | |
| An armored upper limb | Shoulder | Extension/Flexion | 225 |
| Exoskeleton [15] | Abduction/Adduction | 235 | |
| ULEL [26] | Shoulder | Extension/Flexion | 90 |
| Abduction/Adduction | - | ||
| 3-DOF upper-limb exoskeleton [38] | Shoulder | Extension/Flexion | 130 |
| Abduction/Adduction | 150 | ||
| Elbow | Extension/Flexion | 118 | |
| 3-DOF upper extremity robot [39] | Shoulder | Extension/Flexion | 134 |
| Abduction/Adduction | 180 | ||
| Elbow | Extension/Flexion | 135 |
| Body Segment | % of Total Body Mass |
|---|---|
| Upper Arms | 5.31 |
| Forearms | 3.64 |
| Hands | 1.41 |
| Motor | ||
|---|---|---|
| 1 | 47.0 | 8.9 |
| 2 | 49.3 | 9.0 |
| 3 | 10.8 | 2.3 |
| Exo | Joint | Overshoot (%) | Rise Time (ms) | Settling Time (ms) | SS Error (°) |
|---|---|---|---|---|---|
| SAMA | Shoulder A/A | 5.03 | 0.0263 | 0.13 | 0.0019 |
| Shoulder F/E | 4.37 | 0.0636 | 0.217 | 0.0024 |
| Exo | Joint | Overshoot (%) | Rise Time (ms) | SS Error (°) |
|---|---|---|---|---|
| SAMA | Shoulder A/A | 0.01 | 0.0035 | 0.25 |
| Shoulder F/E | 0.008 | 0.0023 | 0.05 |
| Exo | DOF | Actuation Method | Objective | Type of Control |
|---|---|---|---|---|
| SAMA | 3 active | Electric with harmonic drive | Rehab. | Real-time motion control via a ROS- MATLAB approach |
| Harmony | 7 active | Series electric with harmonic drive | Rehab. | Trajectory tracking with impedance control |
| Gravity balance exoskeleton | 4 active 1 passive | Electric with a pulley system | Rehab. | Angular position control |
| NEURO-Exos | 3 active 2 passive | Electric with harmonic drive | Rehab. | Angular position control |
| EAsoftM | 2 active 2 passive | Pneumatic actuators | Rehab. | Visual-based control |
| MIT-MANUS | 2 active | Electric actuators | Game-based exo. for rehab. | Force control |
| ORTE | 6 active | Electric actuators | Rehab. | Simulation-based position control |
Publisher’s Note: MDPI stays neutral with regard to jurisdictional claims in published maps and institutional affiliations. |
© 2022 by the authors. Licensee MDPI, Basel, Switzerland. This article is an open access article distributed under the terms and conditions of the Creative Commons Attribution (CC BY) license (https://creativecommons.org/licenses/by/4.0/).
Share and Cite
Abdelbar, M.; Mohamed, I.; Abdellatif, A.; Hegaze, M.M. Towards the Mechatronic Development of a New Upper-Limb Exoskeleton (SAMA). Designs 2022, 6, 80. https://doi.org/10.3390/designs6050080
Abdelbar M, Mohamed I, Abdellatif A, Hegaze MM. Towards the Mechatronic Development of a New Upper-Limb Exoskeleton (SAMA). Designs. 2022; 6(5):80. https://doi.org/10.3390/designs6050080
Chicago/Turabian StyleAbdelbar, M., I. Mohamed, A. Abdellatif, and Moutaz M. Hegaze. 2022. "Towards the Mechatronic Development of a New Upper-Limb Exoskeleton (SAMA)" Designs 6, no. 5: 80. https://doi.org/10.3390/designs6050080
APA StyleAbdelbar, M., Mohamed, I., Abdellatif, A., & Hegaze, M. M. (2022). Towards the Mechatronic Development of a New Upper-Limb Exoskeleton (SAMA). Designs, 6(5), 80. https://doi.org/10.3390/designs6050080

