The Effect of Prior Viewing Position and Spatial Scale on the Viewing of Paintings
Abstract
1. The Effect of Prior Viewing Position and Spatial Scale on the Viewing of Paintings
2. Method
2.1. Participants
2.2. Apparatus
2.3. Stimuli
2.4. Design and Procedure
3. Results
3.1. Discrimination Accuracy
3.2. Eye Movements
3.2.1. The Impact of Including the PRPNF on Spatial and Temporal Distribution of Eye Movements
3.2.2. Consistency of the Spatial Distribution of Eye Movements to ROIs across Images
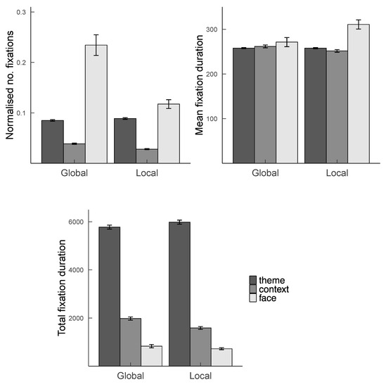
3.2.3. The Impact of Attending to the Global or Local Navon Figure on Spatial and Temporal Distribution of Eye Movements
4. Discussion
Supplementary Materials
Author Contributions
Funding
Institutional Review Board Statement
Informed Consent Statement
Data Availability Statement
Acknowledgments
Conflicts of Interest
References
- Antes, J.R. The time course of picture viewing. J. Exp. Psychol. 1974, 103, 62–70. [Google Scholar] [CrossRef] [PubMed]
- Di Dio, C.; Massaro, D.; Savazzi, F.A.; Gallese, V.; Garau, T.; Gilli, G.; Marchetti, A. Beauty in life: An eye-tracking study on young adults’ aesthetic evaluation and vitality judgment of pictorial representations of sleeping and dead subjects. PsyCh J. 2020, 9, 458–471. [Google Scholar] [CrossRef] [PubMed]
- Harland, B.; Gillett, J.; Mann, C.M.; Kass, J.; Godwin, H.J.; Liversedge, S.P.; Donnelly, N. Modes of Address in Pictorial Art: An Eye Movement Study of Manet’s Bar at the Folies-Bergère. Leonardo 2014, 47, 241–248. [Google Scholar] [CrossRef]
- Kristjanson, A.F.; Antes, J.R.; Kristjanson, A.K. Eye Movement Analysis of Artists and Nonartists Viewing Paintings. Vis. Arts Res. 1989, 15, 21–30. [Google Scholar]
- Locher, P.; Krupinski, E.; Mello-Thoms, C.; Nodine, C. Visual interest in pictorial art during an aesthetic experience. Spat. Vis. 2007, 21, 55–77. [Google Scholar] [CrossRef]
- Massaro, D.; Savazzi, F.; Di Dio, C.; Freedberg, D.; Gallese, V.; Gilli, G.; Marchetti, A. When Art Moves the Eyes: A Behavioral and Eye-Tracking Study. PLoS ONE 2012, 7, e37285. [Google Scholar] [CrossRef]
- Nodine, C.F.; Krupinski, E.A. How Do Viewers Look at Artworks? Bull. Psychol. Arts 2003, 4, 65–68. [Google Scholar]
- Nodine, C.F.; Locher, P.J.; Krupinski, E.A. The Role of Formal Art Training on Perception and Aesthetic Judgment of Art Compositions. Leonardo 1993, 26, 219. [Google Scholar] [CrossRef]
- Papenmeier, F.; Dagit, G.; Wagner, C.; Schwan, S. Is it art? Effects of framing images as art versus non-art on gaze behavior and aesthetic judgments. Psychol. Aesth. Create. Arts 2022. [Google Scholar] [CrossRef]
- Pihko, E.; Virtanen, A.; Saarinen, V.-M.; Pannasch, S.; Hirvenkari, L.; Tossavainen, T.; Haapala, A.; Hari, R. Experiencing Art: The Influence of Expertise and Painting Abstraction Level. Front. Hum. Neurosci. 2011, 5, 94. [Google Scholar] [CrossRef] [PubMed]
- Vogt, S.; Magnussen, S. Expertise in Pictorial Perception: Eye-Movement Patterns and Visual Memory in Artists and Laymen. Perception 2007, 36, 91–100. [Google Scholar] [CrossRef] [PubMed]
- Yarbus, A.L. Eye Movements During Perception of Complex Objects. In Eye Movements and Vision; Springer: Berlin/Heidelberg, Germany, 1967; pp. 171–211. [Google Scholar] [CrossRef]
- Zangemeister, W.; Sherman, K.; Stark, L. Evidence for a global scanpath strategy in viewing abstract compared with realistic images. Neuropsychologia 1995, 33, 1009–1025. [Google Scholar] [CrossRef]
- Bauer, D.; Schwan, S. Expertise influences meaning-making with Renaissance portraits: Evidence from gaze and thinking-aloud. Psychol. Aesth. Create. Arts 2018, 12, 193–204. [Google Scholar] [CrossRef]
- Bubić, A.; Sušac, A.; Palmović, M. Observing Individuals Viewing Art. Empir. Stud. Arts 2016, 35, 194–213. [Google Scholar] [CrossRef]
- DiPaola, S.; Riebe, C.; Enns, J.T. Following the Masters: Portrait Viewing and Appreciation is Guided by Selective Detail. Perception 2013, 42, 608–630. [Google Scholar] [CrossRef] [PubMed]
- Francuz, P.; Zaniewski, I.; Augustynowicz, P.; Kopiś, N.; Jankowski, T. Eye Movement Correlates of Expertise in Visual Arts. Front. Hum. Neurosci. 2018, 12, 87. [Google Scholar] [CrossRef]
- Kirtley, C. How Images Draw the Eye: An Eye-Tracking Study of Composition. Empir. Stud. Arts 2018, 36, 41–70. [Google Scholar] [CrossRef]
- Koide, N.; Kubo, T.; Nishida, S.; Shibata, T.; Ikeda, K. Art Expertise Reduces Influence of Visual Salience on Fixation in Viewing Abstract-Paintings. PLoS ONE 2015, 10, e0117696. [Google Scholar] [CrossRef]
- Locher, P.; Cornelis, E.; Wagemans, J.; Stappers, P.J. Artists’ Use of Compositional Balance for Creating Visual Displays. Empir. Stud. Arts 2001, 19, 213–227. [Google Scholar] [CrossRef]
- Locher, P.; Gray, S.; Nodine, C. The Structural Framework of Pictorial Balance. Perception 1996, 25, 1419–1436. [Google Scholar] [CrossRef]
- Locher, P.; Krupinski, E.; Schaefer, A. Art and authenticity: Behavioral and eye-movement analyses. Psychol. Aesth. Create. Arts 2015, 9, 356–367. [Google Scholar] [CrossRef]
- Trawiński, T.; Mestry, N.; Harland, B.; Liversedge, S.P.; Godwin, H.J.; Donnelly, N. The spectatorship of portraits by naïve beholders. Psychol. Aesth. Create. Arts 2021, 15, 3–19. [Google Scholar] [CrossRef]
- Villani, D.; Morganti, F.; Cipresso, P.; Ruggi, S.; Riva, G.; Gilli, G. Visual exploration patterns of human figures in action: An eye tracker study with art paintings. Front. Psychol. 2015, 6, 1636. [Google Scholar] [CrossRef]
- Arnheim, R. The Power of the Center: A Study of Composition in the Visual Arts; University of California Press: Berkeley, CA, USA, 1982. [Google Scholar]
- Cohn, N. Navigating Comics: An Empirical and Theoretical Approach to Strategies of Reading Comic Page Layouts. Front. Psychol. 2013, 4, 186. [Google Scholar] [CrossRef]
- Mannan, S.; Ruddock, K.; Wooding, D. Fixation sequences made during visual examination of briefly presented 2D images. Spat. Vis. 1997, 11, 157–178. [Google Scholar] [CrossRef] [PubMed]
- Mannan, S.; Ruddock, K.H.; Wooding, D. Automatic control of saccadic eye movements made in visual inspection of briefly presented 2-D images. Spat. Vis. 1995, 9, 363–386. [Google Scholar] [CrossRef]
- Ruddock, K.; Wooding, D.; Mannan, S. The relationship between the locations of spatial features and those of fixations made during visual examination of briefly presented images. Spat. Vis. 1996, 10, 165–188. [Google Scholar] [CrossRef] [PubMed]
- Parkhurst, D.; Law, K.; Niebur, E. Modeling the role of salience in the allocation of overt visual attention. Vis. Res. 2002, 42, 107–123. [Google Scholar] [CrossRef] [PubMed]
- Parkhurst, D.; Niebur, E. Scene content selected by active vision. Spat. Vis. 2003, 16, 125–154. [Google Scholar] [CrossRef] [PubMed]
- Tatler, B.W. The central fixation bias in scene viewing: Selecting an optimal viewing position independently of motor biases and image feature distributions. J. Vis. 2007, 7, 4–17. [Google Scholar] [CrossRef]
- Tatler, B.W.; Baddeley, R.J.; Gilchrist, I.D. Visual correlates of fixation selection: Effects of scale and time. Vis. Res. 2005, 45, 643–659. [Google Scholar] [CrossRef] [PubMed]
- Bindemann, M. Scene and screen center bias early eye movements in scene viewing. Vis. Res. 2010, 50, 2577–2587. [Google Scholar] [CrossRef]
- Bindemann, M.; Scheepers, C.; Ferguson, H.J.; Burton, A.M. Face, body, and center of gravity mediate person detection in natural scenes. J. Exp. Psychol. Hum. Percept. Perform. 2010, 36, 1477–1485. [Google Scholar] [CrossRef] [PubMed]
- Donnelly, N.; Harland, B.; Mestry, N.; Thompson, N.; Trawiński, T.; Liversedge, S.P. The influence of pupil alignment on spectator address in Manet’s portraiture. Psychol. Aesth. Create. Arts 2017, 11, 167–178. [Google Scholar] [CrossRef]
- Ho, R.; Szubielska, M.; Kopiś-Posiej, N. Cultural-match effect on the appreciation of traditional and contemporary visual arts: Evidence from Poland and Hong Kong. Psychol. Aesth. Creat. Arts 2022. [Google Scholar] [CrossRef]
- Sharvashidze, N.; Schütz, A.C. Task-dependent eye-movement patterns in viewing art. J. Eye Mov. Res. 2020, 13. [Google Scholar] [CrossRef]
- Trawiński, T.; Zang, C.; Liversedge, S.P.; Ge, Y.; Donnelly, N. The time-course of fixations in representational paintings: A cross-cultural study. Psychol. Aesth. Create. Arts 2022. [Google Scholar] [CrossRef]
- Clarke, J.; Shortess, G.K.; Richter, M.L. Stimulus size, viewing distance, and experimental aesthetics. Vis. Arts Res. 1984, 10, 1–8. [Google Scholar]
- Papathomas, T.V. Experiments on the Role of Painted Cues in Hughes’s Reverspectives. Perception 2002, 31, 521–530. [Google Scholar] [CrossRef]
- De Winter, J.C.F.; Dodou, D.; Tabone, W. How do people distribute their attention while observing The Night Watch? Perception 2022, 51, 763–788. [Google Scholar] [CrossRef]
- Savazzi, F.; Massaro, D.; Di Dio, C.; Gallese, V.; Gilli, G.; Marchetti, A. Exploring Responses to Art in Adolescence: A Behavioral and Eye-Tracking Study. PLoS ONE 2014, 9, e102888. [Google Scholar] [CrossRef]
- Rothkegel, L.O.; Trukenbrod, H.A.; Schütt, H.H.; Wichmann, F.A.; Engbert, R. Influence of initial fixation position in scene viewing. Vis. Res. 2016, 129, 33–49. [Google Scholar] [CrossRef]
- Vincent, B.T.; Baddeley, R.; Correani, A.; Troscianko, T.; Leonards, U. Do we look at lights? Using mixture modelling to distinguish between low-and high-level factors in natural image viewing. Vis. Cognit. 2009, 17, 856–879. [Google Scholar] [CrossRef]
- Flevaris, A.V.; Bentin, S.; Robertson, L.C. Attention to hierarchical level influences attentional selection of spatial scale. J. Exp. Psychol. Hum. Percept. Perform. 2011, 37, 12–22. [Google Scholar] [CrossRef] [PubMed]
- Navon, D. Forest before trees: The precedence of global features in visual perception. Cogn. Psychol. 1977, 9, 353–383. [Google Scholar] [CrossRef]
- Navon, D. The forest revisited: More on global precedence. Psychol. Res. 1981, 43, 1–32. [Google Scholar] [CrossRef]
- Kimchi, R. Primacy of Wholistic Processing and Global/Local Paradigm: A Critical Review. Psychol. Bull. 1992, 112, 24–38. [Google Scholar] [CrossRef] [PubMed]
- Hills, P.J.; Lewis, M.B. Temporal Limitation of Navon Effect on Face Recognition. Percept. Mot. Ski. 2007, 104, 501–509. [Google Scholar] [CrossRef]
- Lewis, M.B.; Mills, C.; Hills, P.J.; Weston, N. Navon Letters Affect Face Learning and Face Retrieval. Exp. Psychol. 2009, 56, 258–264. [Google Scholar] [CrossRef]
- Macrae, C.N.; Lewis, H.L. Do I Know You? Processing Orientation and Face Recognition. Psychol. Sci. 2002, 13, 194–196. [Google Scholar] [CrossRef] [PubMed]
- Schmitt, A.; Lachmann, T.; van Leeuwen, C. Lost in the forest? Global to local interference depends on children’s reading skills. Acta Psychol. 2019, 193, 11–17. [Google Scholar] [CrossRef]
- Ventura, P.; Bulajić, A.; Wong, A.C.-N.; Leite, I.; Hermens, F.; Pereira, A.; Lachmann, T. Face and word composite effects are similarly affected by priming of local and global processing. Atten. Percept. Psychophys. 2021, 83, 2189–2204. [Google Scholar] [CrossRef] [PubMed]
- Brand, J.; Johnson, A.P. Attention to local and global levels of hierarchical Navon figures affects rapid scene categorization. Front. Psychol. 2014, 5. [Google Scholar] [CrossRef][Green Version]
- Trawiński, T.; Zang, C.; Liversedge, S.P.; Ge, Y.; Fu, Y.; Donnelly, N. The influence of culture on the viewing of Western and East Asian paintings. Psychol. Aesth. Create. Arts 2021. [Google Scholar] [CrossRef]
- Berlyne, D.E. Aesthetics and Psychobiology; Appleton-Century-Crofts: Norwalk, UK, 1971. [Google Scholar]
- Gombrich, E. Art and Illusion. A Study in the Psychology of Pictorial Representation; Phaidon Press Limited: New York, NY, USA, 1992. [Google Scholar]
- Hedden, T.; Van Dijk, K.R.A.; Shire, E.H.; Sperling, R.A.; Johnson, K.A.; Buckner, R.L. Failure to Modulate Attentional Control in Advanced Aging Linked to White Matter Pathology. Cereb. Cortex 2011, 22, 1038–1051. [Google Scholar] [CrossRef] [PubMed]
- Hepsomali, P.; Hadwin, J.A.; Liversedge, S.P.; Garner, M. Pupillometric and saccadic measures of affective and executive processing in anxiety. Biol. Psychol. 2017, 127, 173–179. [Google Scholar] [CrossRef] [PubMed]
- Reinholdt-Dunne, M.L.; Mogg, K.; Benson, V.; Bradley, B.P.; Hardin, M.G.; Liversedge, S.P.; Pine, D.S.; Ernst, M. Anxiety and selective attention to angry faces: An antisaccade study. J. Cogn. Psychol. 2012, 24, 54–65. [Google Scholar] [CrossRef]
- Shackman, A.J.; Sarinopoulos, I.; Maxwell, J.S.; Pizzagalli, D.A.; Lavric, A.; Davidson, R.J. Anxiety selectively disrupts visuospatial working memory. Emotion 2006, 6, 40–61. [Google Scholar] [CrossRef]
- Fan, J.; McCandliss, B.D.; Sommer, T.; Raz, A.; Posner, M.I. Testing the Efficiency and Independence of Attentional Networks. J. Cogn. Neurosci. 2002, 14, 340–347. [Google Scholar] [CrossRef]
- Westfall, J.; Kenny, D.A.; Judd, C.M. Statistical power and optimal design in experiments in which samples of participants respond to samples of stimuli. J. Exp. Psychol. Gen. 2014, 5, 2020–2045. [Google Scholar] [CrossRef]
- Team R Core. R: A Language and Environment for Statistical Computing; R Foundation for Statistical Computing: Vienna, Austria, 2016. [Google Scholar]
- Bates, D.; Mächler, M.; Bolker, B.; Walker, S. Fitting Linear Mixed-Effects Models Using lme4. J. Stat. Softw. 2015, 67, 48. [Google Scholar] [CrossRef]
- Venables, W.N.; Ripley, B.D. Modern Applied Statistics with S, 4th ed.; Springer: Berlin/Heidelberg, Germany, 2002. [Google Scholar]
- Baayen, R.; Davidson, D.; Bates, D. Mixed-effects modeling with crossed random effects for subjects and items. J. Mem. Lang. 2008, 59, 390–412. [Google Scholar] [CrossRef]
- Lenth, R. Emmeans: Estimated Marginal Means, Aka Least-Squares Means. 2019. Available online: https://cran.r-project.org/package=emmeans (accessed on 1 January 2023).
- Parsons, S. splithalf: Robust estimates of split half reliability. J. Open Source Softw. 2021, 6, 3041. [Google Scholar] [CrossRef]
- Dink, J.W.; Ferguson, B. EyetrackingR: An R Library for Eye-Tracking Data Analysis. 2015. Available online: www.eyetracking-r.com (accessed on 23 April 2023).
- Hart, B.M.; Vockeroth, J.; Schumann, F.; Bartl, K.; Schneider, E.; König, P.; Einhäuser, W. Gaze allocation in natural stimuli: Comparing free exploration to head-fixed viewing conditions. Vis. Cogn. 2009, 17, 1132–1158. [Google Scholar] [CrossRef]
- Tatler, B.W.; Hayhoe, M.M.; Land, M.F.; Ballard, D.H. Eye guidance in natural vision: Reinterpreting salience. J. Vis. 2011, 11, 5. [Google Scholar] [CrossRef]
- Rothkegel, L.O.M.; Trukenbrod, H.A.; Schütt, H.H.; Wichmann, F.A.; Engbert, R. Temporal evolution of the central fixation bias in scene viewing. J. Vis. 2017, 17, 3. [Google Scholar] [CrossRef]
- Engbert, R.; Trukenbrod, H.A.; Barthelmé, S.; Wichmann, F.A. Spatial statistics and attentional dynamics in scene viewing. J. Vis. 2015, 15, 14. [Google Scholar] [CrossRef]
- Or, C.C.-F.; Peterson, M.F.; Eckstein, M.P. Initial eye movements during face identification are optimal and similar across cultures. J. Vis. 2015, 15, 12. [Google Scholar] [CrossRef]
- Palumbo, L.; Harrison, N.R.; Trawinski, T.; Kass, J.; Metelmann, A.C.; Bari, R.S.G.; Donnelly, N. Visual exploration mediates the influence of personal traits on responses to artworks in an art gallery setting. Psychol. Aesthet. Creat. Arts 2023. Advance online publication. [Google Scholar] [CrossRef]








| Present Study | Trawiński et al.’s (2022) Study | |||
|---|---|---|---|---|
| M | SD | M | SD | |
| 3-Back: Spatial | 57.87 | 11.38 | 52.53 | 18.96 |
| 3-Back: Verbal | 60.03 | 11.12 | 61.18 | 21.37 |
| ANT: EXEC | 82.96 | 36.23 | 80.00 | 39.15 |
| ANT: ALERT | 25.78 | 38.62 | 33.18 | 32.78 |
| ANT: ORIENT | 24.66 | 37.24 | 36.92 | 43.46 |
| A-S: Saccade Latency (1 s) | 76.65 | 19.58 | 71.25 | 25.65 |
| A-S: Saccade Latency (3 s) | 83.15 | 23.35 | 81.62 | 36.58 |
| Art Knowledge | 8.32 | 4.25 | 8.51 | 5.42 |
| Predictors | Likelihood | Proportion of Fixations | ||||
|---|---|---|---|---|---|---|
| B | SE | z | b | SE | t | |
| Face | ||||||
| Intercept | 0.50 | 0.22 | 2.27 | 0.18 | 0.01 | 13.31 |
| Study | 3.45 | 0.15 | 22.97 | 0.06 | 0.01 | 10.87 |
| Context | ||||||
| Intercept | 1.33 | 0.23 | 5.70 | 0.17 | 0.01 | 12.91 |
| Study | −0.13 | 0.14 | −0.92 | −0.02 | 0.003 | −5.75 |
| Theme | ||||||
| Intercept | 12.68 | 2.53 | 5.02 | 0.74 | 0.01 | 52.02 |
| Study | 0.83 | 0.63 | 1.31 | −0.09 | 0.01 | −18.14 |
| Predictors | Number of Fixations | Mean Fixation Duration | Total Fixation Duration | ||||||
|---|---|---|---|---|---|---|---|---|---|
| B | SE | T | B | SE | T | b | SE | t | |
| Intercept | −2.34 | 0.11 | −20.67 | 5.60 | 0.02 | 234.06 | 6.21 | 0.07 | 84.14 |
| ROI (face vs. context) | −0.27 | 0.09 | −3.07 | −0.10 | 0.02 | −6.52 | 0.75 | 0.05 | 16.45 |
| ROI (face vs. theme) | 0.24 | 0.09 | 2.63 | −0.07 | 0.02 | −4.32 | 2.35 | 0.05 | 52.26 |
| Condition | −1.70 | 0.11 | −15.99 | −0.05 | 0.01 | −3.73 | 0.004 | 0.04 | 0.10 |
| ROI (face vs. context): Condition | −0.07 | 0.11 | −0.67 | 0.07 | 0.02 | 5.05 | 0.12 | 0.05 | 2.57 |
| ROI (face vs. theme): Condition | −0.26 | 0.09 | 2.93 | 0.06 | 0.02 | 3.67 | −0.03 | 0.04 | −0.63 |
Disclaimer/Publisher’s Note: The statements, opinions and data contained in all publications are solely those of the individual author(s) and contributor(s) and not of MDPI and/or the editor(s). MDPI and/or the editor(s) disclaim responsibility for any injury to people or property resulting from any ideas, methods, instructions or products referred to in the content. |
© 2023 by the authors. Licensee MDPI, Basel, Switzerland. This article is an open access article distributed under the terms and conditions of the Creative Commons Attribution (CC BY) license (https://creativecommons.org/licenses/by/4.0/).
Share and Cite
Trawiński, T.; Mestry, N.; Donnelly, N. The Effect of Prior Viewing Position and Spatial Scale on the Viewing of Paintings. Vision 2023, 7, 55. https://doi.org/10.3390/vision7030055
Trawiński T, Mestry N, Donnelly N. The Effect of Prior Viewing Position and Spatial Scale on the Viewing of Paintings. Vision. 2023; 7(3):55. https://doi.org/10.3390/vision7030055
Chicago/Turabian StyleTrawiński, Tobiasz, Natalie Mestry, and Nick Donnelly. 2023. "The Effect of Prior Viewing Position and Spatial Scale on the Viewing of Paintings" Vision 7, no. 3: 55. https://doi.org/10.3390/vision7030055
APA StyleTrawiński, T., Mestry, N., & Donnelly, N. (2023). The Effect of Prior Viewing Position and Spatial Scale on the Viewing of Paintings. Vision, 7(3), 55. https://doi.org/10.3390/vision7030055

