Changes in Fixation Stability with Time during Binocular and Monocular Viewing in Maculopathy
Abstract
:1. Introduction
2. Materials and Methods
2.1. Participants
2.2. Apparatus and Procedure
2.3. Data Analysis
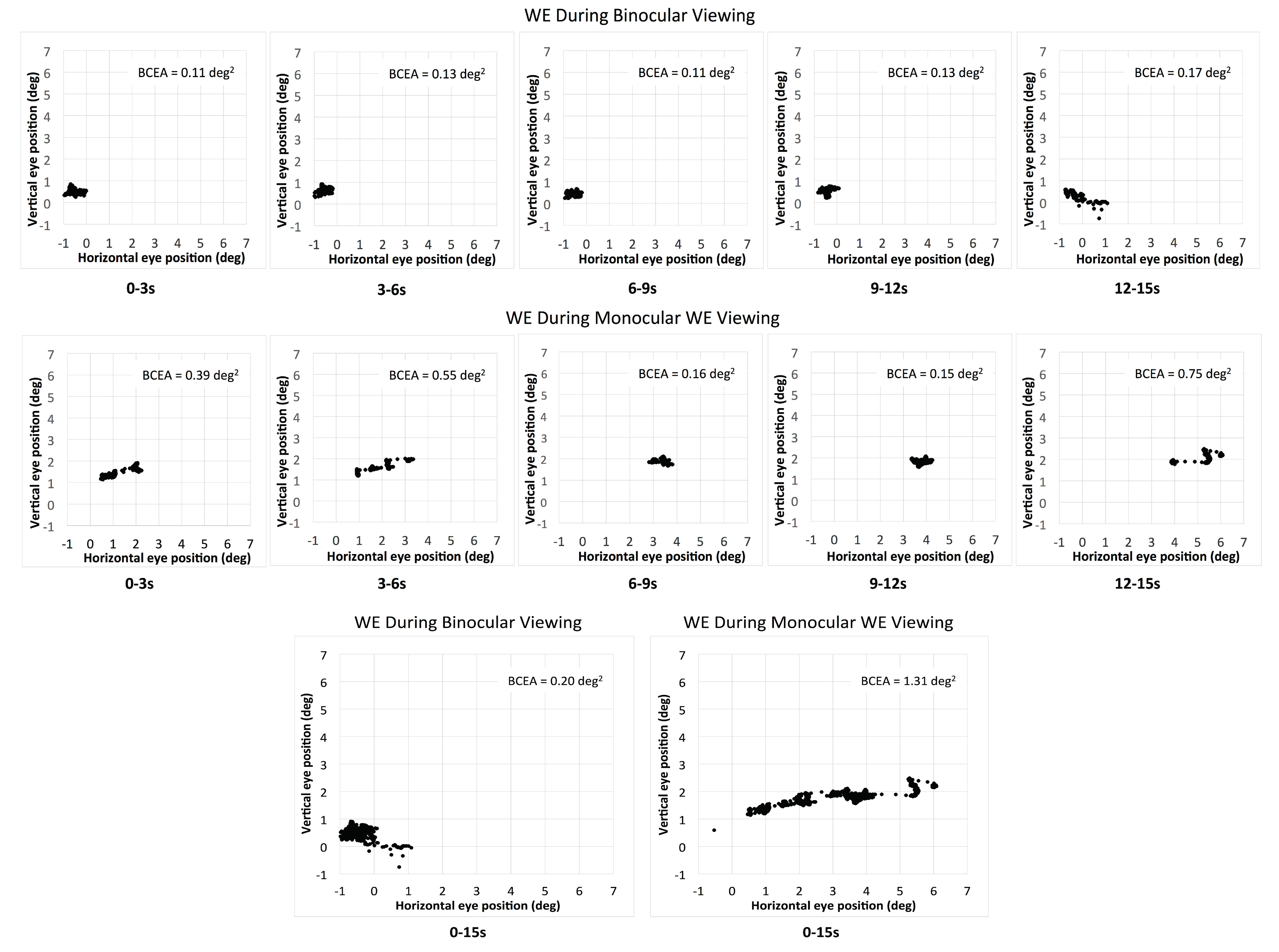
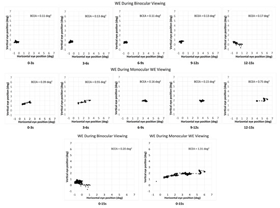
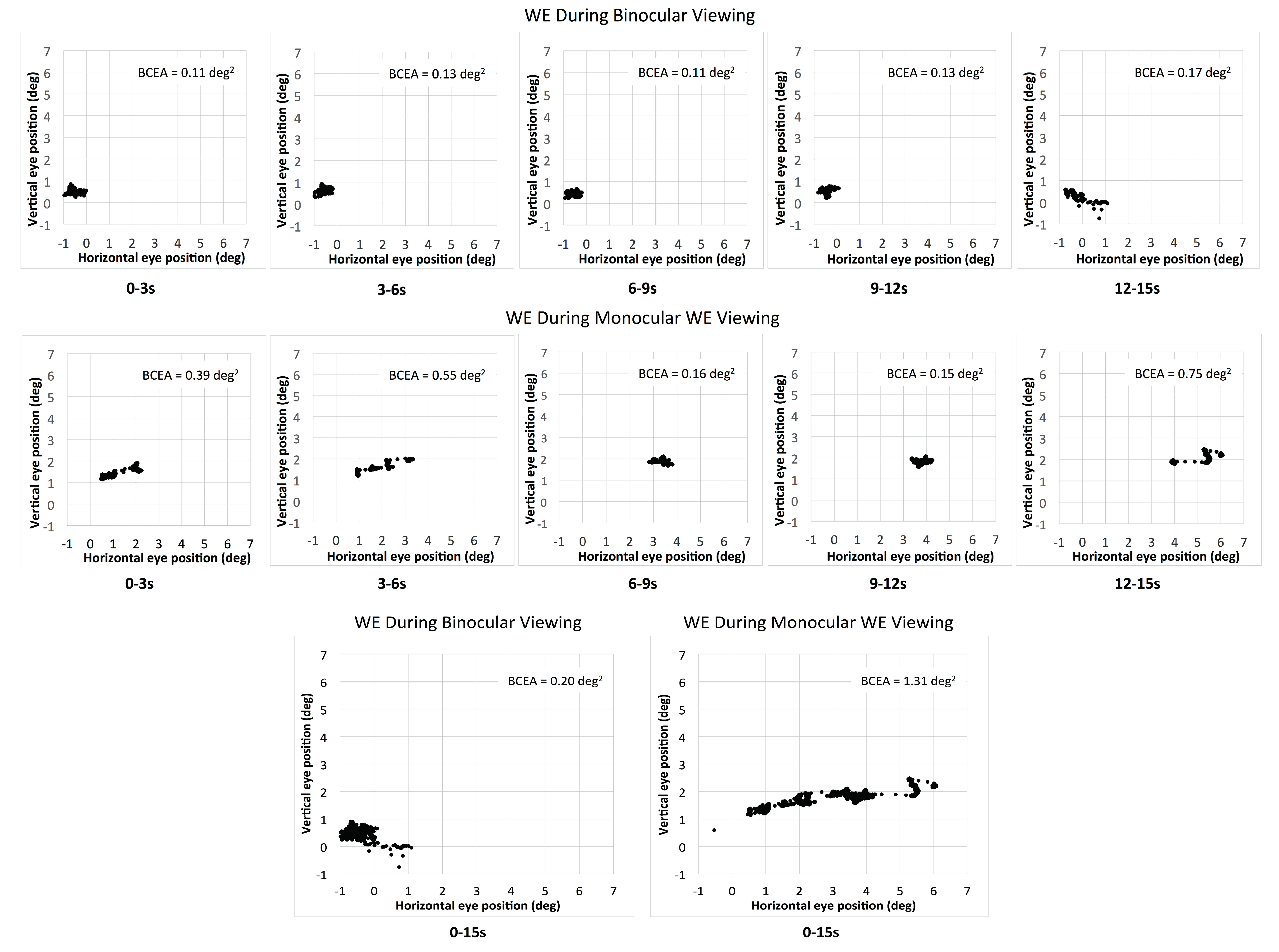
3. Results
3.1. Control Group
3.2. AMD Group
4. Discussion
Author Contributions
Funding
Conflicts of Interest
References
- Faubert, J.; Overbury, O. Binocular vision in older people with adventitious visual impairment: Sometimes one eye is better than two. J. Am. Geriatr. Soc. 2000, 48, 375–380. [Google Scholar] [CrossRef] [PubMed]
- Valberg, A.; Fosse, P. Binocular contrast inhibition in subjects with age-related macular degeneration. J. Opt. Soc. Am. A Opt. Image Sci. Vis. 2002, 19, 223–228. [Google Scholar] [CrossRef] [PubMed]
- Quillen, D.A. Effect of unilateral exudative age-related macular degeneration on binocular visual function. Arch. Ophthalmol. 2001, 119, 1725–1726. [Google Scholar] [PubMed]
- Tarita-Nistor, L.; Brent, M.H.; Markowitz, S.N.; Steinbach, M.J.; González, E.G. Maximum reading speed and binocular summation in patients with central vision loss. Can. J. Ophthalmol. 2013, 48, 443–449. [Google Scholar] [CrossRef] [PubMed]
- Fosse, P.; Valberg, A. Contrast sensitivity and reading in subjects with age-related macular degeneration. Vis. Impair. Res. 2001, 3, 111–124. [Google Scholar] [CrossRef]
- White, J.M.; Bedell, H.E. The oculomotor reference in humans with bilateral macular disease. Investig. Ophthalmol. Vis. Sci. 1990, 31, 1149–1161. [Google Scholar]
- Crossland, M.D.; Culham, L.E.; Kabanarou, S.A.; Rubin, G.S. Preferred retinal locus development in patients with macular disease. Ophthalmology 2005, 112, 1579–1585. [Google Scholar] [CrossRef] [PubMed]
- Crossland, M.D.; Engel, S.A.; Legge, G.E. The preferred retinal locus in macular disease: toward a consensus definition. Retina 2011, 31, 2109–2114. [Google Scholar] [CrossRef] [PubMed]
- Greenstein, V.C.; Santos, R.A.; Tsang, S.H.; Smith, R.T.; Barile, G.R.; Seiple, W. Preferred retinal locus in macular disease: characteristics and clinical implications. Retina 2008, 28, 1234–1240. [Google Scholar] [CrossRef] [PubMed]
- Von Noorden, G.K.; Mackensen, G. Phenomenology of eccentric fixation. Am. J. Ophthalmol. 1962, 53, 642–660. [Google Scholar] [CrossRef]
- Cheung, S.H.; Legge, G.E. Functional and cortical adaptations to central vision loss. Vis. Neurosci. 2005, 22, 187–201. [Google Scholar] [CrossRef] [PubMed]
- Amore, F.M.; Fasciani, R.; Silvestri, V.; Crossland, M.D.; de Waure, C.; Cruciani, F; Reibaldi, A. Relationship between fixation stability measured with MP-1 and reading performance. Ophthalmic. Physiol. Opt. 2013, 33, 611–617. [Google Scholar] [CrossRef] [PubMed]
- González, E.G.; Tarita-Nistor, L.; Mandelcorn, E.D.; Mandelcorn, M.; Steinbach, M.J. Fixation control before and after treatment for neovascular age-related macular degeneration. Investig. Ophthalmol. Vis. Sci. 2011, 52, 4208–4213. [Google Scholar] [CrossRef] [PubMed]
- Crossland, M.D.; Culham, L.E.; Rubin, G.S. Fixation stability and reading speed in patients with newly developed macular disease. Ophthalmic. Physiol. Opt. 2004, 24, 327–333. [Google Scholar] [CrossRef] [PubMed]
- Mandelcorn, M.S.; Podbielski, D.W.; Mandelcorn, E.D. Fixation stability as a goal in the treatment of macular disease. Can. J. Ophthalmol. 2013, 48, 364–367. [Google Scholar] [CrossRef] [PubMed]
- Timberlake, G.T.; Sharma, M.K.; Grose, S.A.; Gobert, D.V.; Gauch, J.M.; Maino, J.H. Retinal location of the preferred retinal locus relative to the fovea in scanning laser ophthalmoscope images. Optom. Vis. Sci. 2005, 82, 177–185. [Google Scholar] [CrossRef] [PubMed]
- Tarita-Nistor, L.; González, E.G.; Markowitz, S.N.; Steinbach, M.J. Fixation characteristics of patients with macular degeneration recorded with the MP-1 microperimeter. Retina 2008, 28, 125–133. [Google Scholar] [CrossRef] [PubMed]
- Kabanarou, S.A.; Crossland, M.D.; Bellmann, C.; Rees, A.; Culham, L.E.; Rubin, G.S. Gaze changes with binocular versus monocular viewing in age-related macular degeneration. Ophthalmology 2006, 113, 2251–2258. [Google Scholar] [CrossRef] [PubMed]
- Tarita-Nistor, L.; Eizenman, M.; Landon-Brace, N.; Markowitz, S.N.; Steinbach, M.J.; González, E.G. Identifying absolute preferred retinal locations during binocular viewing. Optom. Vis. Sci. 2015, 92, 863–872. [Google Scholar] [CrossRef] [PubMed]
- Tarita-Nistor, L.; Brent, M.H.; Steinbach, M.J.; González, E.G. Fixation stability during binocular viewing in patients with age-related macular degeneration. Investig. Ophthalmol. Vis. Sci. 2011, 52, 1887–1893. [Google Scholar] [CrossRef] [PubMed]
- Tarita-Nistor, L.; Gill, I.; González, E.G.; Steinbach, M.J. Fixation Stability Recording: How Long for Eyes with Central Vision Loss? Optom. Vis. Sci. 2017, 94, 311–316. [Google Scholar] [CrossRef] [PubMed]
- González, E.G.; Teichman, J.; Lillakas, L.; Markowitz, S.N.; Steinbach, M.J. Fixation stability using radial gratings in patients with age-related macular degeneration. Can. J. Ophthalmol. 2006, 41, 333–339. [Google Scholar] [CrossRef] [PubMed]
- Steinman, R.M. Effect of target size, luminance, and color on monocular fixation. J. Opt. Soc. Am. 1965, 55, 1158–1164. [Google Scholar] [CrossRef]
- Castet, E.; Crossland, M. Quantifying eye stability during a fixation task: a review of definitions and methods. Seeing Perceiving 2012, 25, 449–469. [Google Scholar] [CrossRef] [PubMed]
- Kumar, G.; Chung, S.T. Characteristics of fixational eye movements in people with macular disease. Investig. Ophthalmol. Vis. Sci. 2014, 55, 5125–5133. [Google Scholar] [CrossRef] [PubMed]
- Kisilevsky, E.; Tarita-Nistor, L.; González, E.G.; Mandelcorn, M.S.; Brent, M.H.; Markowitz, S.N.; Steinbach, M.J. Characteristics of the preferred retinal loci of better and worse seeing eyes of patients with a central scotoma. Can. J. Ophthalmol. 2016, 51, 362–367. [Google Scholar] [CrossRef] [PubMed]
- Calabrèse, A.; Bernard, J.B.; Faure, G.; Hoffart, L.; Castet, E. Eye movements and reading speed in macular disease: the shrinking perceptual span hypothesis requires and is supported by a mediation analysis. Investig. Ophthalmol. Vis. Sci. 2014, 55, 3638–3645. [Google Scholar] [CrossRef] [PubMed]
- Sharpe, J.A.; Sylvester, T.O. Effect of aging on horizontal smooth pursuit. Investig. Ophthalmol. Vis. Sci. 1978, 17, 465–468. [Google Scholar]
- Irving, E.L.; Steinbach, M.J.; Lillakas, L.; Babu, R.J.; Hutchings, N. Horizontal saccade dynamics across the human life span. Investig. Ophthalmol. Vis. Sci. 2006, 47, 2478–2484. [Google Scholar] [CrossRef] [PubMed]
- Kosnik, W.; Fikre, J.; Sekuler, R. Visual fixation stability in older adults. Investig. Ophthalmol. Vis. Sci. 1986, 27, 1720–1725. [Google Scholar]
- Kosnik, W.; Kline, D.; Fikre, J.; Sekuler, R. Ocular fixation control as a function of age and exposure duration. Psychol. Aging 1987, 2, 302–305. [Google Scholar] [CrossRef] [PubMed]



| ID | Age, y | Gender | Visual Acuity, logMAR | ||
|---|---|---|---|---|---|
| BE | WE | OU | |||
| 1 | 83 | M | 0.55 | 1.3 | 0.46 |
| 2 | 73 | M | 0.36 | 0.48 | 0.38 |
| 3 | 81 | M | 0 | 0.86 | 0 |
| 4 | 82 | M | 0.14 | 0.90 | 0.14 |
| 5 | 84 | M | 0.42 | 0.78 | 0.48 |
| 6 | 85 | M | 0.51 | 0.60 | 0.55 |
| 7 | 84 | F | 0.34 | 0.57 | 0.30 |
| 8 | 60 | M | 0.44 | 0.44 | 0.36 |
| 9 | 73 | M | 0.30 | 1.1 | 0.53 |
| 10 | 78 | F | 0.22 | 0.34 | 0.16 |
| 11 | 87 | F | 0.64 | 2.0 | 0.74 |
| 12 | 84 | F | 0.42 | 2.0 | 0.42 |
| 13 | 70 | F | 0.66 | 0.66 | 0.62 |
| 14 | 87 | F | 0.26 | 0.90 | 0.06 |
| 15 | 79 | M | 0.04 | 1.1 | 0.14 |
| 16 | 63 | F | 0.04 | 1.1 | 0.06 |
| 17 | 84 | F | 0.36 | 0.76 | 0.34 |
| Viewing Condition | |||||||
|---|---|---|---|---|---|---|---|
| Interval Number | Time Interval | Binocular | Monocular OD | Monocular OS | |||
| OD | OS | OD | OS | OD | OS | ||
| 1 | 0–3 s | −1.32 ± 0.08 | −1.24 ± 0.06 | −0.94 ± 0.06 | −0.79 ± 0.09 | −0.80 ± 0.09 | −1.08 ± 0.07 |
| 2 | 3–6 s | −1.35 ± 0.10 | −1.22 ± 0.07 | −1.15 ± 0.06 | −1.00 ± 0.07 | −0.83 ± 0.08 | −0.99 ± 0.08 |
| 3 | 6–9 s | −1.26 ± 0.08 | −1.24 ± 0.08 | −0.98 ± 0.08 | −0.79 ± 0.10 | −0.88 ± 0.06 | −0.99 ± 0.06 |
| 4 | 9–12 s | −1.21 ± 0.08 | −1.28 ± 0.07 | −1.03 ± 0.07 | −0.88 ± 0.08 | −0.78 ± 0.07 | −0.92 ± 0.08 |
| 5 | 12–15 s | −1.35 ± 0.10 | −1.27 ± 0.08 | −1.00 ± 0.07 | −0.94 ± 0.10 | −0.92 ± 0.11 | −0.97 ± 0.09 |
| Viewing Condition | |||||||
|---|---|---|---|---|---|---|---|
| Interval Number | Time Interval | Binocular | Monocular BE | Monocular WE | |||
| BE | WE | BE | WE | BE | WE | ||
| 1 | 0–3 s | −0.88 ± 0.10 | −0.76 ± 0.09 | −0.61 ± 0.06 | −0.58 ± 0.10 | −0.34 ± 0.11 | −0.40 ± 0.11 |
| 2 | 3–6 s | −0.88 ± 0.10 | −0.83 ± 0.10 | −0.68 ± 0.09 | −0.58 ± 0.11 | −0.45 ± 0.10 | −0.47 ± 0.11 |
| 3 | 6–9 s | −0.89 ± 0.08 | −0.81 ± 0.08 | −0.70 ± 0.08 | −0.55 ± 0.12 | −0.47 ± 0.09 | −0.45 ± 0.09 |
| 4 | 9–12 s | −0.81 ± 0.09 | −0.76 ± 0.08 | −0.78 ± 0.07 | −0.61 ± 0.11 | −0.53 ± 0.09 | −0.57 ± 0.11 |
| 5 | 12–15 s | −0.96 ± 0.15 | −0.93 ± 0.10 | −0.81 ± 0.11 | −0.70 ± 0.11 | −0.62 ± 0.10 | −0.58 ± 0.08 |
© 2018 by the authors. Licensee MDPI, Basel, Switzerland. This article is an open access article distributed under the terms and conditions of the Creative Commons Attribution (CC BY) license (http://creativecommons.org/licenses/by/4.0/).
Share and Cite
Samet, S.; González, E.G.; Mandelcorn, M.S.; Brent, M.H.; Tarita-Nistor, L. Changes in Fixation Stability with Time during Binocular and Monocular Viewing in Maculopathy. Vision 2018, 2, 40. https://doi.org/10.3390/vision2040040
Samet S, González EG, Mandelcorn MS, Brent MH, Tarita-Nistor L. Changes in Fixation Stability with Time during Binocular and Monocular Viewing in Maculopathy. Vision. 2018; 2(4):40. https://doi.org/10.3390/vision2040040
Chicago/Turabian StyleSamet, Saba, Esther G. González, Mark S. Mandelcorn, Michael H. Brent, and Luminita Tarita-Nistor. 2018. "Changes in Fixation Stability with Time during Binocular and Monocular Viewing in Maculopathy" Vision 2, no. 4: 40. https://doi.org/10.3390/vision2040040
APA StyleSamet, S., González, E. G., Mandelcorn, M. S., Brent, M. H., & Tarita-Nistor, L. (2018). Changes in Fixation Stability with Time during Binocular and Monocular Viewing in Maculopathy. Vision, 2(4), 40. https://doi.org/10.3390/vision2040040

