Accuracy of the Apple Watch Series 9 for Measures of Energy Expenditure and Heart Rate at Rest and During Exercise: Impact of Skin Pigmentation
Abstract
1. Introduction
2. Materials and Methods
2.1. Procedures
2.2. Statistical Analysis
3. Results
3.1. t-Test Comparisons of Devices
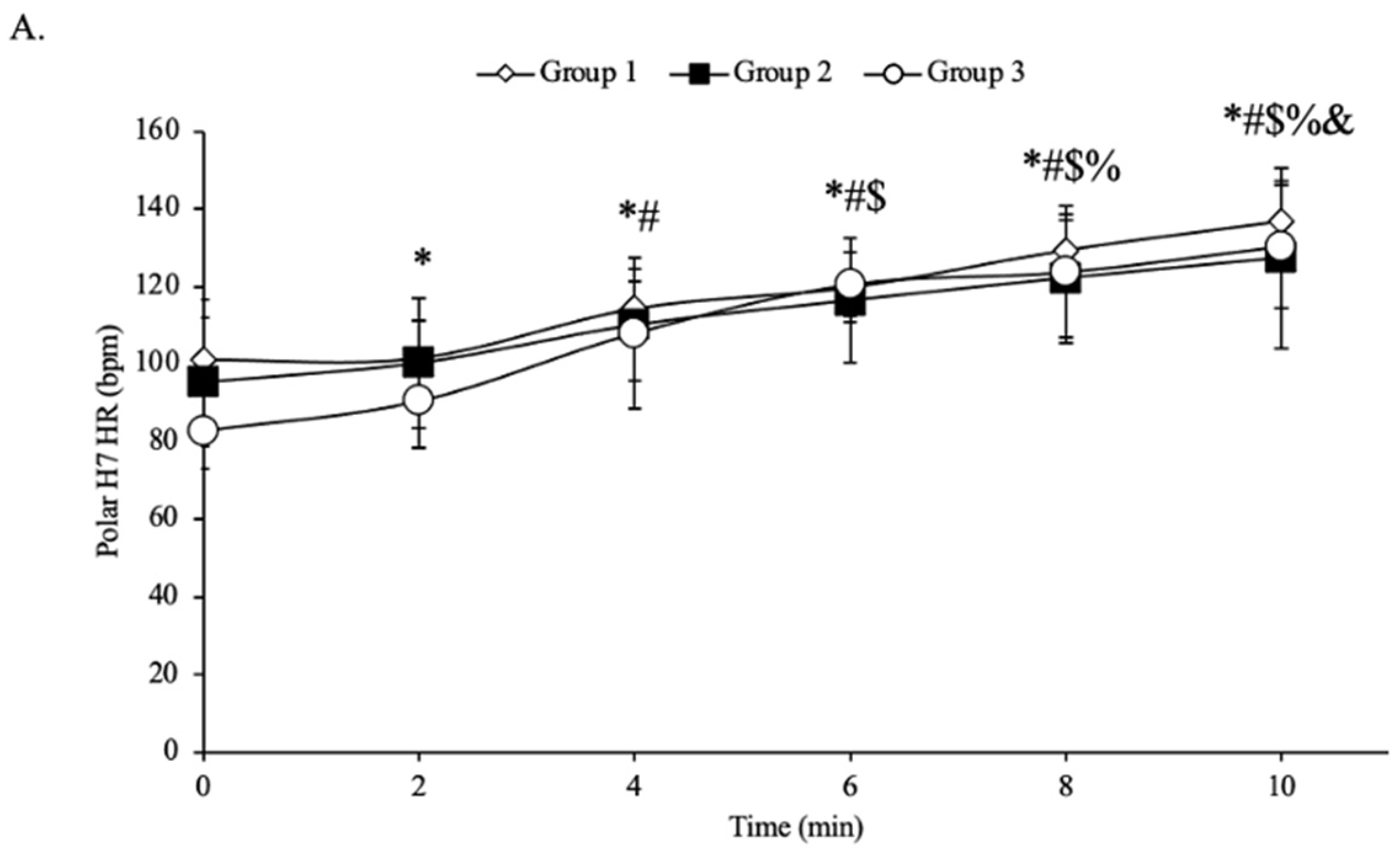
3.2. ANOVA Assessment of Groups over Time by Device
3.3. Bland–Altman—EE and HR
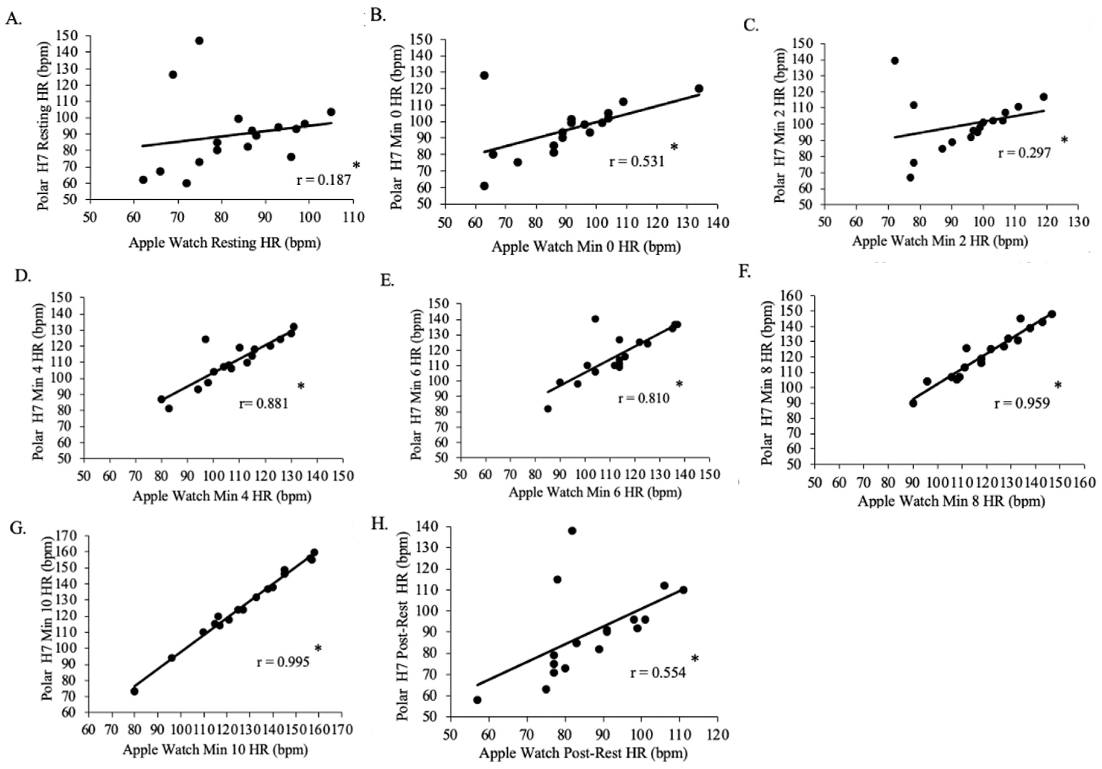
3.4. Correlations—EE and HR
3.4.1. Group 1 Correlations—HR
3.4.2. Group 2 Correlations—HR
3.4.3. Group 3 Correlations—HR
3.5. Linear Regressions—EE and HR
4. Discussion
4.1. The Accuracy of Apple Watch Series 9 in Estimating Energy Expenditure
4.2. The Accuracy of Apple Watch Series 9 in Estimating Heart Rate
4.3. Experimental Considerations
5. Conclusions
Author Contributions
Funding
Institutional Review Board Statement
Informed Consent Statement
Data Availability Statement
Acknowledgments
Conflicts of Interest
References
- Tipton, C.M. The history of “Exercise Is Medicine” in ancient civilizations. Adv. Physiol. Educ. 2014, 38, 109–117. [Google Scholar] [CrossRef] [PubMed]
- WHO. Obesity and Overweight. Available online: https://www.who.int/news-room/fact-sheets/detail/obesity-and-overweight#:~:text=In%202022%2C%201%20in%208,million%20were%20living%20with%20obesity (accessed on 10 November 2023).
- American College of Sports Medicine. Trending Topic|Physical Activity Guidelines. Available online: https://www.acsm.org/education-resources/trending-topics-resources/physical-activity-guidelines (accessed on 16 March 2024).
- World Health Organization. Nearly 1.8 Billion Adults at Risk of Disease from Not Doing Enough Physical Activity. Available online: https://www.who.int/news/item/26-06-2024-nearly-1.8-billion-adults-at-risk-of-disease-from-not-doing-enough-physical-activity#:~:text=26%20June%202024,reduce%20physical%20inactivity%20by%202030 (accessed on 15 September 2024).
- Corliss, J. Do Fitness Trackers Really Help People Move More? Harvard Health Publishing: Boston, MA, USA, 2021; Available online: https://www.health.harvard.edu/heart-health/do-fitness-trackers-really-help-people-move-more (accessed on 16 March 2024).
- CDC. Health Disparities. Available online: https://www.cdc.gov/healthyyouth/disparities/index.htm#:~:text=Health%20disparities%20are%20preventable%20differencesexperienced%20by%20socially%20disadvantaged%20populations.&text=Despite%20significant%20progress%20in%20research,youth%20health%20risk%20behaviors%20persist (accessed on 10 March 2023).
- Epstein, H.M. Why the Color of Your Skin Can Affect the Quality of Your Diagnosis. Available online: https://www.hmepstein.com/single-post/why-the-color-of-your-skin-can-affect-the-quality-of-your-diagnosis (accessed on 11 November 2023).
- CDC. Racism and Health. Available online: https://www.cdc.gov/minority-health/racism-health/?CDC_AAref_Val=https://www.cdc.gov/minorityhealth/racism-disparities/index.html (accessed on 10 November 2023).
- Cabanas, A.M.; Fuentes-Guajardo, M.; Latorre, K.; León, D.; Martín-Escudero, P. Skin Pigmentation Influence on Pulse Oximetry Accuracy: A Systematic Review and Bibliometric Analysis. Sensors 2022, 22, 3402. [Google Scholar] [CrossRef]
- Vasold, K.; Parks, A.; Phelan, D.; Pontifex, M.; Pivarnik, J. Reliability and Validity of Commercially Available Low-Cost Bioelectrical Impedance Analysis. Hum. Kinet. J. 2019, 29, 406–410. [Google Scholar] [CrossRef] [PubMed]
- Wallen, M.P.; Gomersall, S.R.; Keating, S.E.; Wisløff, U.; Coombes, J.S. Accuracy of Heart Rate Watches: Implications for Weight Management. PLoS ONE 2016, 11, e0154420. [Google Scholar] [CrossRef] [PubMed]
- World Health Organization. Cardiovascular Diseases (CVDs). Available online: https://www.who.int/news-room/fact-sheets/detail/cardiovascular-diseases-(cvds) (accessed on 2 April 2024).
- Magin, P.; Pond, D.; Smith, W.; Goode, S.; Paterson, N. Reliability of skin-type self-assessment: Agreement of adolescents’ repeated Fitzpatrick skin phototype classification ratings during a cohort study. J. Eur. Acad. Dermatol. Venereol. 2011, 26, 1396–1399. [Google Scholar] [CrossRef]
- Crouter, S.E.; Antczak, A.; Hudak, J.R.; DellaValle, D.M.; Haas, J.D. Accuracy and reliability of the ParvoMedics TrueOne 2400 and MedGraphics VO2000 metabolic systems. Eur. J. Appl. Physiol. 2006, 98, 139–151. [Google Scholar] [CrossRef]
- Hernández-Vicente, A.; Hernando, D.; Marín-Puyalto, J.; Vicente-Rodríguez, G.; Garatachea, N.; Pueyo, E.; Bailón, R. Validity of the Polar H7 Heart Rate Sensor for Heart Rate Variability Analysis during Exercise in Different Age, Body Composition and Fitness Level Groups. Sensors 2021, 21, 902. [Google Scholar] [CrossRef] [PubMed]
- Lakens, D. Calculating and reporting effect sizes to facilitate cumulative science: A practical primer for t-tests and ANOVAs. Front. Psychol. 2013, 4, 863. [Google Scholar] [CrossRef]
- Schober, P.; Boer, C.; Schwarte, L.A. Correlation Coefficients: Appropriate Use and Interpretation. Anesth. Analg. 2018, 126, 1763–1768. [Google Scholar] [CrossRef] [PubMed]
- Düking, P.; Giessing, L.; Frenkel, M.O.; Koehler, K.; Holmberg, H.; Sperlich, B. Wrist-Worn Wearables for Monitoring Heart Rate and Energy Expenditure While Sitting or Performing Light-to-Vigorous Physical Activity: Validation Study. JMIR mHealth uHealth 2020, 8, e16716. [Google Scholar] [CrossRef] [PubMed]
- Giggins, O.M.; Doyle, J.; Sojan, N.; Moran, O.; Crabtree, D.R.; Fraser, M.; Muggeridge, D.J. Accuracy of Wrist-Worn Photoplethysmography Devices at Measuring Heart Rate in the Laboratory and During Free-Living Activities. In Proceedings of the 2021 43rd Annual International Conference of the IEEE Engineering in Medicine & Biology Society (EMBC), Virtual Conference, 1–5 November 2021; pp. 6970–6973. [Google Scholar] [CrossRef]
- Colvonen, P.J.; DeYoung, P.N.; Bosompra, N.A.; Owens, R.L. Limiting racial disparities and bias for wearable devices in health science research. Sleep 2020, 43, zsaa159. [Google Scholar] [CrossRef]
- Sañudo, B.; De Hoyo, M.; Muñoz-López, A.; Perry, J.; Abt, G. Pilot Study Assessing the Influence of Skin Type on the Heart Rate Measurements Obtained by Photoplethysmography with the Apple Watch. J. Med. Syst. 2019, 43, 195. [Google Scholar] [CrossRef] [PubMed]
- Skidmore College. Enrollment Demographics and Student Diversity. Available online: https://www.skidmore.edu/ir/facts/enrollmentdemo/index.php (accessed on 18 April 2024).















| Group 1 (n = 7) | Group 2 (n = 17) | Group 3 (n = 6) | All Participants (n = 30) | p-Value | Significant (Y or N) | |
|---|---|---|---|---|---|---|
| Age, yrs | 20.7 ± 1.4 | 20.9 ± 1.5 | 20.2 ± 1.0 | 20.7 ± 1.4 | 0.517 | N |
| Height, cm | 170.7 ± 3.7 | 168.1 ± 9.3 | 170.0 ± 6.4 | 169.1 ± 7.7 | 0.644 | N |
| Weight, kg | 68.1 ± 8.0 | 70.7 ± 13.8 | 72.0 ± 2.6 | 70.4 ± 11.0 | 0.485 | N |
| Body Fat, % | 24.1 ± 7.8 | 23.4 ± 7.2 | 22.4 ± 7.4 | 23.4 ± 7.1 | 0.915 | N |
| Sex (M/F) | 1/6 | 6/11 | 4/2 | 11/19 | 0.175 | N |
| ParvoMedics (kcal/min) (N = 30) | Apple EE (kcal/min) (N = 30) | t-Test (p-Value) | Significant (Y or N) | |
|---|---|---|---|---|
| Rest | 7.1 ± 1.5 | 1.2 ± 0.9 | <0.001 | Y |
| 0 min | 2.6 ± 0.9 | 1.1 ± 0.9 | <0.001 | Y |
| 2 min | 5.3 ± 1.0 | 6.7 ± 2.9 | <0.001 | Y |
| 4 min | 8.2 ± 1.4 | 8.9 ± 2.7 | 0.136 | N |
| 6 min | 9.7 ± 1.7 | 10.0 ± 3.5 | 0.554 | N |
| 8 min | 11.1 ± 1.9 | 11.8 ± 3.8 | 0.293 | N |
| 10 min | 12.5 ± 2.2 | 13.3 ± 4.1 | 0.258 | N |
| Post | 9.1 ± 1.6 | 2.4 ± 1.2 | 0.001 | Y |
| Polar H7 (bpm) (N = 30) | Apple HR (bpm) (N = 30) | t-Test (p-Value) | Significant (Y or N) | |
|---|---|---|---|---|
| Rest | 86.9 ± 18.3 | 83.7 ± 12.0 | 0.736 | N |
| 0 min | 94.3 ± 15.9 | 91.7 ± 16.4 | 0.523 | N |
| 2 min | 98.7 ± 14.7 | 96.1 ± 12.8 | 0.212 | N |
| 4 min | 110.7 ± 14.0 | 106.9 ± 13.0 | 0.007 | Y |
| 6 min | 118.1 ± 13.1 | 112.7 ± 13.3 | 0.020 | Y |
| 8 min | 124.2 ± 14.9 | 119.8 ± 15.7 | 0.054 | N |
| 10 min | 130.2 ± 19.4 | 127.0 ± 19.3 | 0.271 | N |
| Post | 89.8 ± 18.6 | 85.6 ± 12.2 | 0.819 | N |
| ParvoMedics (kcal/min) | Apple EE (kcal/min) | t-Test (p-Value) | Significant (Y or N) | |
|---|---|---|---|---|
| Group 1 (n = 7) | 8.1 ± 3.2 | 7.2 ± 5.4 | 0.168 | N |
| Group 2 (n = 17) | 8.2 ± 3.2 | 7.2 ± 5.0 | 0.011 | Y |
| Group 3 (n = 6) | 8.4 ± 3.3 | 5.9 ± 3.8 | <0.001 | Y |
| Polar H7 (bpm) | Apple HR (bpm) | t-Test (p-Value) | Significant (Y or N) | |
|---|---|---|---|---|
| Group 1 (n = 7) | 111.9 ± 18.3 | 111.5 ± 17.7 | 0.088 | N |
| Group 2 (n = 17) | 106.4 ± 14.7 | 103.3 ± 16.5 | 0.739 | N |
| Group 3 (n = 6) | 103.4 ± 20.1 | 95.1 ± 13.1 | 0.014 | Y |
Disclaimer/Publisher’s Note: The statements, opinions and data contained in all publications are solely those of the individual author(s) and contributor(s) and not of MDPI and/or the editor(s). MDPI and/or the editor(s) disclaim responsibility for any injury to people or property resulting from any ideas, methods, instructions or products referred to in the content. |
© 2024 by the authors. Licensee MDPI, Basel, Switzerland. This article is an open access article distributed under the terms and conditions of the Creative Commons Attribution (CC BY) license (https://creativecommons.org/licenses/by/4.0/).
Share and Cite
Chase, S.E.; Liddell, R.G.; McGonagle, C.L.; Ives, S.J. Accuracy of the Apple Watch Series 9 for Measures of Energy Expenditure and Heart Rate at Rest and During Exercise: Impact of Skin Pigmentation. J. Funct. Morphol. Kinesiol. 2024, 9, 275. https://doi.org/10.3390/jfmk9040275
Chase SE, Liddell RG, McGonagle CL, Ives SJ. Accuracy of the Apple Watch Series 9 for Measures of Energy Expenditure and Heart Rate at Rest and During Exercise: Impact of Skin Pigmentation. Journal of Functional Morphology and Kinesiology. 2024; 9(4):275. https://doi.org/10.3390/jfmk9040275
Chicago/Turabian StyleChase, Sydney E., Rebecca G. Liddell, Chloe L. McGonagle, and Stephen J. Ives. 2024. "Accuracy of the Apple Watch Series 9 for Measures of Energy Expenditure and Heart Rate at Rest and During Exercise: Impact of Skin Pigmentation" Journal of Functional Morphology and Kinesiology 9, no. 4: 275. https://doi.org/10.3390/jfmk9040275
APA StyleChase, S. E., Liddell, R. G., McGonagle, C. L., & Ives, S. J. (2024). Accuracy of the Apple Watch Series 9 for Measures of Energy Expenditure and Heart Rate at Rest and During Exercise: Impact of Skin Pigmentation. Journal of Functional Morphology and Kinesiology, 9(4), 275. https://doi.org/10.3390/jfmk9040275

