Accuracy and Reliability of Grip Strength Measurements: A Comparative Device Analysis
Abstract
1. Introduction
2. Materials and Methods
2.1. Experimental Approach to the Problem
2.2. Subjects
2.2.1. Recruitment and Eligibility Criteria
2.2.2. Randomization
2.3. Procedures
2.4. Statistical Analyses
2.4.1. Reliability
2.4.2. Validity
3. Results
3.1. Participants
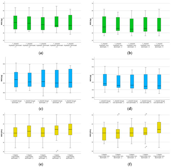
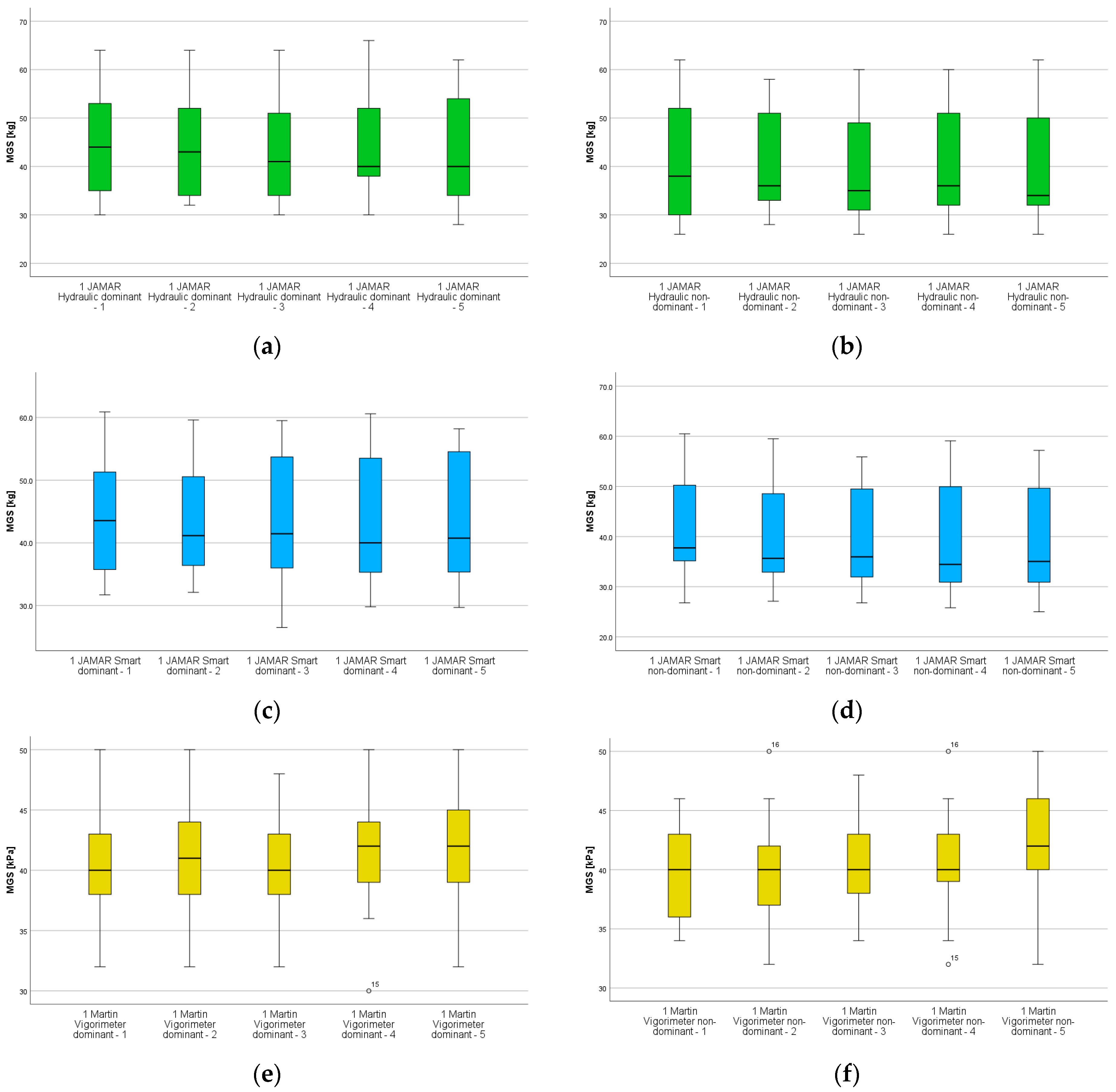
3.2. Intrasubject Reliability
3.3. Intersession Reliability
3.4. Validity
4. Discussion
4.1. Intrasubject Reliability
4.2. Intersession Reliability
4.3. Validity
4.4. Strengths and Limitations
4.4.1. Strengths
4.4.2. Limitations
5. Conclusions
Author Contributions
Funding
Institutional Review Board Statement
Informed Consent Statement
Data Availability Statement
Conflicts of Interest
Appendix A
| Device | Hand | N | Mean | SD | ICC3,1 (95% CI) | SEM | SDD |
|---|---|---|---|---|---|---|---|
| JAMAR® Hydraulic (kg) | dom. | 40 | 42.7 | 11.2 | 0.96 (0.94–0.98) | 2.3 | 6.3 |
| nondom. | 40 | 39.3 | 11.0 | 0.95 (0.93–0.97) | 2.4 | 6.8 | |
| JAMAR® Smart (kg) | dom. | 40 | 42.0 | 10.0 | 0.96 (0.94–0.98) | 2.0 | 5.5 |
| nondom. | 40 | 39.0 | 10.3 | 0.96 (0.94–0.98) | 2.0 | 5.6 | |
| Martin Vigorimeter (kPa) | dom. | 40 | 40.6 | 4.3 | 0.91 (0.85–0.94) | 1.4 | 3.8 |
| nondom. | 40 | 40.0 | 4.6 | 0.92 (0.88–0.95) | 1.3 | 3.7 |

References
- Gasior, J.S.; Pawlowski, M.; Jelen, P.J.; Rameckers, E.A.; Williams, C.A.; Makuch, R.; Werner, B. Test-Retest Reliability of Handgrip Strength Measurement in Children and Preadolescents. Int. J. Environ. Res. Public Health 2020, 17, 8026. [Google Scholar] [CrossRef] [PubMed]
- Mathiowetz, V.; Kashman, N.; Volland, G.; Weber, K.; Dowe, M.; Rogers, S. Grip and pinch strength: Normative data for adults. Arch. Phys. Med. Rehabil. 1985, 66, 69–74. [Google Scholar] [PubMed]
- Mathiowetz, V.; Wiemer, D.M.; Federman, S.M. Grip and pinch strength: Norms for 6- to 19-year-olds. Am. J. Occup. Ther. 1986, 40, 705–711. [Google Scholar] [CrossRef]
- Rijk, J.M.; Roos, P.R.; Deckx, L.; van den Akker, M.; Buntinx, F. Prognostic value of handgrip strength in people aged 60 years and older: A systematic review and meta-analysis. Geriatr. Gerontol. Int. 2016, 16, 5–20. [Google Scholar] [CrossRef]
- Bohannon, R.W.; Magasi, S.R.; Bubela, D.J.; Wang, Y.C.; Gershon, R.C. Grip and knee extension muscle strength reflect a common construct among adults. Muscle Nerve 2012, 46, 555–558. [Google Scholar] [CrossRef]
- Wind, A.E.; Takken, T.; Helders, P.J.; Engelbert, R.H. Is grip strength a predictor for total muscle strength in healthy children, adolescents, and young adults? Eur. J. Pediatr. 2010, 169, 281–287. [Google Scholar] [CrossRef]
- Chopp-Hurley, J.N.; Wiebenga, E.G.; Gatti, A.A.; Maly, M.R. Investigating the Test-Retest Reliability and Validity of Hand-Held Dynamometry for Measuring Knee Strength in Older Women with Knee Osteoarthritis. Physiother. Can. 2019, 71, 231–238. [Google Scholar] [CrossRef]
- Hogrel, J.Y. Grip strength measured by high precision dynamometry in healthy subjects from 5 to 80 years. BMC Musculoskelet. Disord. 2015, 16, 139. [Google Scholar] [CrossRef]
- Winger, M.E.; Caserotti, P.; Ward, R.E.; Boudreau, R.M.; Hvid, L.G.; Cauley, J.A.; Piva, S.R.; Harris, T.B.; Glynn, N.W.; Strotmeyer, E.S. Jump power, leg press power, leg strength and grip strength differentially associated with physical performance: The Developmental Epidemiologic Cohort Study (DECOS). Exp. Gerontol. 2021, 145, 111172. [Google Scholar] [CrossRef]
- Cronin, J.; Lawton, T.; Harris, N.; Kilding, A.; McMaster, D.T. A Brief Review of Handgrip Strength and Sport Performance. J. Strength Cond. Res. 2017, 31, 3187–3217. [Google Scholar] [CrossRef]
- Sayer, A.A.; Syddall, H.E.; Martin, H.J.; Dennison, E.M.; Roberts, H.C.; Cooper, C. Is grip strength associated with health-related quality of life? Findings from the Hertfordshire Cohort Study. Age Ageing 2006, 35, 409–415. [Google Scholar] [CrossRef] [PubMed]
- Lee, S.H.; Gong, H.S. Measurement and Interpretation of Handgrip Strength for Research on Sarcopenia and Osteoporosis. J. Bone Metab. 2020, 27, 85–96. [Google Scholar] [CrossRef] [PubMed]
- Taylor, K.A.; Carroll, M.K.; Short, S.A.; Goode, A.P. Identifying characteristics and clinical conditions associated with hand grip strength in adults: The Project Baseline Health Study. Sci. Rep. 2024, 14, 8937. [Google Scholar] [CrossRef] [PubMed]
- Latorre-Román, P.Á.; Navarro-Martínez, A.V.; Mañas-Bastidas, A.; García-Pinillos, F. Handgrip strength test as a complementary tool in monitoring asthma in daily clinical practice in children. Iran. J. Allergy Asthma Immunol. 2014, 13, 396–403. [Google Scholar]
- Sultan, P.; Hamilton, M.A.; Ackland, G.L. Preoperative muscle weakness as defined by handgrip strength and postoperative outcomes: A systematic review. BMC Anesthesiol. 2012, 12, 1. [Google Scholar] [CrossRef]
- Conforto, I.; Samir, C.; Chausse, F.; Goldstein, A.; Pereira, B.; Coudeyre, E. Comparison of psychometric properties between the Labin, a new electronic dynamometer, and the Jamar: Preliminary results in healthy subjects. Hand Surg. Rehabil. 2019, 38, 293–297. [Google Scholar] [CrossRef]
- MacDermid, J.; Solomon, G.; Valdes, K. American Society of Hand Therapists. In Clinical Assessment Recommendations 3rd Edition: Impairment-Based Conditions, 3rd ed.; American Society of Hand Therapists: Mount Laurel, NJ, USA, 2015. [Google Scholar]
- Beaudart, C.; Rolland, Y.; Cruz-Jentoft, A.J.; Bauer, J.M.; Sieber, C.; Cooper, C.; Al-Daghri, N.; Araujo de Carvalho, I.; Bautmans, I.; Bernabei, R.; et al. Assessment of Muscle Function and Physical Performance in Daily Clinical Practice: A position paper endorsed by the European Society for Clinical and Economic Aspects of Osteoporosis, Osteoarthritis and Musculoskeletal Diseases (ESCEO). Calcif. Tissue Int. 2019, 105, 1–14. [Google Scholar] [CrossRef]
- Mutalib, S.; Mace, M.; Seager, C.; Burdet, E.; Mathiowetz, V.; Goldsmith, N. Modernising grip dynamometry: Inter-instrument reliability between GripAble and Jamar. BMC Musculoskelet. Disord. 2022, 23, 80. [Google Scholar] [CrossRef]
- Sipers, W.M.; Verdijk, L.B.; Sipers, S.J.; Schols, J.M.; van Loon, L.J. The Martin Vigorimeter Represents a Reliable and More Practical Tool Than the Jamar Dynamometer to Assess Handgrip Strength in the Geriatric Patient. J. Am. Med. Dir. Assoc. 2016, 17, 466.e461–466.e467. [Google Scholar] [CrossRef]
- Roberts, H.C.; Denison, H.J.; Martin, H.J.; Patel, H.P.; Syddall, H.; Cooper, C.; Sayer, A.A. A review of the measurement of grip strength in clinical and epidemiological studies: Towards a standardised approach. Age Ageing 2011, 40, 423–429. [Google Scholar] [CrossRef]
- Desrosiers, J.; Bravo G Fau—Hébert, R.; Hébert R Fau—Dutil, E.; Dutil, E. Normative data for grip strength of elderly men and women. Am. J. Occup. Ther. 1995, 49, 637–644. [Google Scholar] [CrossRef] [PubMed]
- Chkeir, A.; Voilmy, D.; Duchêne, J.; Hewson, D.J. Does the Use of a Serious Game and the Grip-Ball Decrease Discomfort in Older People When Assessing Maximal Grip-Strength? In Proceedings of the XIV Mediterranean Conference on Medical and Biological Engineering and Computing 2016, Paphos, Cyprus, 31 March–2 April 2016; IFMBE Proceedings. Springer International Publishing: Cham, Switzerlands, 2016; pp. 903–906. [Google Scholar]
- Chkeir, A.; Jaber, R.; Hewson, D.J.; Duchene, J. Reliability and validity of the Grip-Ball dynamometer for grip-strength measurement. Annu. Int. Conf. IEEE Eng. Med. Biol. Soc. 2012, 2012, 1996–1999. [Google Scholar] [CrossRef] [PubMed]
- Draak, T.H.; Pruppers, M.H.; van Nes, S.I.; Vanhoutte, E.K.; Bakkers, M.; Gorson, K.C.; Van der Pol, W.L.; Lewis, R.A.; Notermans, N.C.; Nobile-Orazio, E.; et al. Grip strength comparison in immune-mediated neuropathies: Vigorimeter vs. Jamar. J. Peripher. Nerv. Syst. 2015, 20, 269–276. [Google Scholar] [CrossRef] [PubMed]
- Massy-Westropp, N.; Rankin, W.; Ahern, M.; Krishnan, J.; Hearn, T.C. Measuring grip strength in normal adults: Reference ranges and a comparison of electronic and hydraulic instruments. J. Hand Surg. Am. 2004, 29, 514–519. [Google Scholar] [CrossRef]
- Nunez-Cortes, R.; Cruz, B.D.P.; Gallardo-Gomez, D.; Calatayud, J.; Cruz-Montecinos, C.; Lopez-Gil, J.F.; Lopez-Bueno, R. Handgrip strength measurement protocols for all-cause and cause-specific mortality outcomes in more than 3 million participants: A systematic review and meta-regression analysis. Clin. Nutr. 2022, 41, 2473–2489. [Google Scholar] [CrossRef]
- von Elm, E.; Altman, D.G.; Egger, M.; Pocock, S.J.; Gøtzsche, P.C.; Vandenbroucke, J.P. The Strengthening the Reporting of Observational Studies in Epidemiology (STROBE) statement: Guidelines for reporting observational studies. Lancet 2007, 370, 1453–1457. [Google Scholar] [CrossRef]
- Mathiowetz, V.; Vizenor, L.; Melander, D. Comparison of Baseline Instruments to the Jamar Dynamometer and the B&L Engineering Pinch Gauge. Occup. Ther. J. Res. 2000, 20, 147–162. [Google Scholar] [CrossRef]
- Amaral, J.; Mancini, M.; Novo Júnior, J.M. Comparison of three hand dynamometers in relation to the accuracy and precision of the measurements. Rev. Bras. Fisioter. 2012, 16, 216–224. [Google Scholar] [CrossRef]
- Koo, T.K.; Li, M.Y. A Guideline of Selecting and Reporting Intraclass Correlation Coefficients for Reliability Research. J. Chiropr. Med. 2016, 15, 155–163. [Google Scholar] [CrossRef]
- Mathiowetz, V. Comparison of Rolyan and Jamar dynamometers for measuring grip strength. Occup. Ther. Int. 2002, 9, 201–219. [Google Scholar] [CrossRef]
- Desrosiers, J.; Hebert, R.; Bravo, G.; Dutil, E. Comparison of the Jamar dynamometer and the Martin vigorimeter for grip strength measurements in a healthy elderly population. Scand. J. Rehabil. Med. 1995, 27, 137–143. [Google Scholar] [CrossRef] [PubMed]
- Gasior, J.S.; Pawlowski, M.; Williams, C.A.; Dabrowski, M.J.; Rameckers, E.A. Assessment of Maximal Isometric Hand Grip Strength in School-aged Children. Open Med. 2018, 13, 22–28. [Google Scholar] [CrossRef] [PubMed]
- Hopkins, W. Measures of Reliability in Sports Medicine and Science. Sports Med. 2000, 30, 1–15. [Google Scholar] [CrossRef]
- Hopkins, W.G. Understanding Statistics by Using Spreadsheets to Generate and Analyze Samples. Sportscience 2007, 11, 23–36. [Google Scholar]
- Hopkins, W. Spreadsheets for Analysis of Validity and Reliability. Sportscience 2015, 19, 36–44. [Google Scholar]
- Weir, J. Quantifying test-retest reliability using the intraclass correlation coefficient and the SEM. J. Strength Cond. Res. 2005, 19, 231–240. [Google Scholar] [CrossRef]
- Lexell, J.E.; Downham, D.Y. How to assess the reliability of measurements in rehabilitation. Am. J. Phys. Med. Rehabil. 2005, 84, 719–723. [Google Scholar] [CrossRef]
- de Vet, H.C.; Terwee, C.B.; Ostelo, R.W.; Beckerman, H.; Knol, D.L.; Bouter, L.M. Minimal changes in health status questionnaires: Distinction between minimally detectable change and minimally important change. Health Qual. Life Outcomes 2006, 4, 54. [Google Scholar] [CrossRef]
- Bland, J.; Altman, D.G. Statistical methods for assessing agreement between two methods of clinical measurement. Lancet 1986, 1, 307–310. [Google Scholar] [CrossRef]
- Giavarina, D. Understanding Bland Altman analysis. Biochem. Med. 2015, 25, 141–151. [Google Scholar] [CrossRef]
- Mukaka, M. Statistics corner: A guide to appropriate use of correlation coefficient in medical research. Malawi Med. J. 2012, 24, 69–71. [Google Scholar] [PubMed]
- Bland, J.; Altman, D.G. Measuring agreement in method comparison studies. Stat. Methods Med. Res. 1999, 8, 135–160. [Google Scholar] [CrossRef] [PubMed]
- Coldham, F.; Lewis, J.; Lee, H. The reliability of one vs. three grip trials in symptomatic and asymptomatic subjects. J. Hand Ther. 2006, 19, 318–326, quiz 327. [Google Scholar] [CrossRef]
- Mathiowetz, V. Effects of three trials on grip and pinch strength measurements. J. Hand Ther. 1990, 3, 195–198. [Google Scholar] [CrossRef]
- Reijnierse, E.M.; de Jong, N.; Trappenburg, M.C.; Blauw, G.J.; Butler-Browne, G.; Gapeyeva, H.; Hogrel, J.Y.; McPhee, J.S.; Narici, M.V.; Sipila, S.; et al. Assessment of maximal handgrip strength: How many attempts are needed? J. Cachexia Sarcopenia Muscle 2017, 8, 466–474. [Google Scholar] [CrossRef]
- Hamilton, A.; Balnave, R.; Adams, R. Grip strength testing reliability. J. Hand Ther. 1994, 7, 163–170. [Google Scholar] [CrossRef]
- Cooper, R.; Kuh, D.; Hardy, R.; Mortality Review, G.; Falcon; Teams, H.A.S. Objectively measured physical capability levels and mortality: Systematic review and meta-analysis. BMJ 2010, 341, c4467. [Google Scholar] [CrossRef]
- Stamate, A.; Bertolaccini, J.; Deriaz, M.; Gunjan, S.; Marzan, M.D.; Spiru, L. Interinstrument Reliability Between the Squegg(R) Smart Dynamometer and Hand Grip Trainer and the Jamar(R) Hydraulic Hand Dynamometer: A Pilot Study. Am. J. Occup. Ther. 2023, 77, 7705205150. [Google Scholar] [CrossRef]
- Neumann, S.; Kwisda, S.; Krettek, C.; Gaulke, R. Comparison of the Grip Strength Using the Martin-Vigorimeter and the JAMAR-Dynamometer: Establishment of Normal Values. In Vivo 2017, 31, 917–924. [Google Scholar] [CrossRef][Green Version]
- Bujang, M.A.; Baharum, N. A simplified guide to determination of sample size requirements for estimating the value of intraclass correlation coefficient: A review. Arch. Orofac. Sci. 2017, 12, 1–11. [Google Scholar]




| Total (n = 40) | Group A (n = 20) | Group B (n = 20) | p Value (Group) | ||||
|---|---|---|---|---|---|---|---|
| Mean | (SD) | Mean | (SD) | Mean | (SD) | ||
| Sex (f:m) | 20:20 | 10:10 | 10:10 | 1.00 | |||
| Age (years) | 37.0 | (11.3) | 36.4 | (11.6) | 37.6 | (11.2) | 0.74 |
| Height (cm) | 173.9 | (10.0) | 175.3 | (11.1) | 172.6 | (8.8) | 0.40 |
| Weight (kg) | 72.4 | (14.0) | 73.4 | (15.2) | 71.4 | (13.1) | 0.65 |
| BMI (kg/m2) | 23.7 | (2.7) | 23.7 | (2.8) | 23.8 | (2.8) | 0.89 |
| Handedness (r:l) | 35:5 | 18:2 | 17:3 | 0.64 | |||
| First vs. Best of 5 | Best of 2 vs. Best of 5 | Best of 3 vs. Best of 5 | ||||||||
|---|---|---|---|---|---|---|---|---|---|---|
| Device | Hand | ICC3,1 | (95% CI) | SDD | ICC3,1 | (95% CI) | SDD | ICC3,1 | (95% CI) | SDD |
| JAMAR® Hydraulic (kg) | dom. | 0.98 | (0.97–0.99) | 4.2 | 0.99 | (0.98–0.996) | 3.0 | 0.996 | (0.99–0.998) | 2.2 |
| nondom. | 0.96 | (0.92–0.98) | 7.0 | 0.98 | (0.97–0.99) | 4.2 | 0.995 | (0.99–0.997) | 2.3 | |
| JAMAR® Smart (kg) | dom. | 0.94 | (0.88–0.97) | 7.1 | 0.95 | (0.90–0.97) | 6.5 | 0.99 | (0.99–0.996) | 2.4 |
| nondom. | 0.99 | (0.98–0.995) | 2.8 | 0.996 | (0.99–0.998) | 1.7 | 0.99 | (0.996–0.999) | 1.4 | |
| Martin Vigorimeter (kPa) | dom. | 0.90 | (0.82–0.95) | 3.9 | 0.95 | (0.91–0.97) | 2.8 | 0.96 | (0.93–0.98) | 2.5 |
| nondom. | 0.91 | (0.84–0.95) | 3.7 | 0.94 | (0.88–0.97) | 3.2 | 0.96 | (0.93–0.98) | 2.5 | |
| Device | N | Mean | SD | p | ICC3,1 | 95% CI | SEM | SDD | |
|---|---|---|---|---|---|---|---|---|---|
| JAMAR® Hydraulic (kg) | dom. | 40 | 44.9 | 11.3 | 0.25 | 0.95 | (0.92–0.98) | 2.5 | 7.0 |
| nondom. | 40 | 45.3 | 11.5 | ||||||
| JAMAR® Smart (kg) | dom. | 40 | 44.1 | 9.9 | 0.23 | 0.93 | (0.86–0.96) | 2.9 | 8.0 |
| nondom. | 40 | 44.6 | 10.4 | ||||||
| Martin Vigorimeter (kPa) | dom. | 40 | 41.2 | 4.3 | 0.5 | 0.83 | (0.71–0.91) | 1.9 | 5.3 |
| nondom. | 40 | 42.2 | 4.5 |
| JAMAR® Hydraulic (kg) | JAMAR® Smart (kg) | Martin Vigorimeter (kPa) | ||||||||||||||
|---|---|---|---|---|---|---|---|---|---|---|---|---|---|---|---|---|
| Hand | Attempt | Mean | SD | Min | Max | Main Effect p | Mean | SD | Min | Max | Main Effect p | Mean | SD | Min | Max | Main Effect p |
| dom. | 1 | 44.0 | 11.8 | 20.0 | 66.0 | <0.001 * | 42.6 | 9.5 | 24.9 | 60.9 | 0.51 | 39.9 | 4.3 | 32.0 | 50.0 | <0.001 * |
| 2 | 43.1 | 11.0 | 24.0 | 64.0 | 41.8 | 9.6 | 25.0 | 59.6 | 40.5 | 4.4 | 32.0 | 50.0 | ||||
| 3 | 42.0 | 10.6 | 24.0 | 64.0 | 42.0 | 10.3 | 24.5 | 59.5 | 40.4 | 4.0 | 32.0 | 50.0 | ||||
| 4 | 42.2 | 11.2 | 20.0 | 66.0 | 41.8 | 10.5 | 23.8 | 60.6 | 41.0 | 4.5 | 30.0 | 50.0 | ||||
| 5 | 42.0 | 11.2 | 16.0 | 62.0 | 41.9 | 10.2 | 21.4 | 62.5 | 41.3 | 4.4 | 32.0 | 50.0 | ||||
| nondom. | 1 | 40.0 | 11.7 | 22.0 | 64.0 | 0.23 | 40.7 | 10.0 | 24.8 | 61.3 | <0.001 * | 39.4 | 4.1 | 32.0 | 50.0 | <0.001 * |
| 2 | 39.9 | 10.7 | 22.0 | 62.0 | 39.2 | 10.7 | 22.2 | 59.8 | 39.4 | 4.7 | 30.0 | 50.0 | ||||
| 3 | 39.0 | 11.3 | 20.0 | 60.0 | 38.8 | 10.2 | 19.9 | 57.1 | 40.0 | 4.5 | 30.0 | 50.0 | ||||
| 4 | 39.1 | 10.4 | 24.0 | 60.0 | 38.3 | 10.5 | 21.1 | 60.6 | 40.1 | 4.7 | 32.0 | 52.0 | ||||
| 5 | 38.8 | 10.7 | 20.0 | 62.0 | 38.3 | 10.2 | 23.3 | 57.2 | 41.0 | 5.1 | 32.0 | 52.0 | ||||
| Device | Hand | No. | Mean | SD | ICC3,1 (95% CI) | SEM | SDD |
|---|---|---|---|---|---|---|---|
| JAMAR® Hydraulic (kg) | dom. | 1 | 46.4 | 11.0 | 0.95 (0.89–0.98) | 2.5 | 7.1 |
| 2 | 45.9 | 11.6 | |||||
| nondom. | 1 | 42.9 | 11.6 | 0.96 (0.91–0.99) | 2.3 | 6.3 | |
| 2 | 42.9 | 11.3 | |||||
| JAMAR® Smart (kg) | dom. | 1 | 45.9 | 9.7 | 0.97 (0.92–0.99) | 1.8 | 5.1 |
| 2 | 45.3 | 10.1 | |||||
| nondom. | 1 | 42.3 | 10.3 | 0.95 (0.89–0.98) | 2.3 | 6.3 | |
| 2 | 41.7 | 9.7 | |||||
| Martin Vigorimeter (kPa) | dom. | 1 | 42.8 | 4.5 | 0.85 (0.67–0.94) | 1.9 | 5.3 |
| 2 | 39.9 | 5.0 | |||||
| nondom. | 1 | 42.1 | 4.0 | 0.85 (0.66–0.94) | 1.8 | 5.0 | |
| 2 | 39.4 | 4.8 |
Disclaimer/Publisher’s Note: The statements, opinions and data contained in all publications are solely those of the individual author(s) and contributor(s) and not of MDPI and/or the editor(s). MDPI and/or the editor(s) disclaim responsibility for any injury to people or property resulting from any ideas, methods, instructions or products referred to in the content. |
© 2024 by the authors. Licensee MDPI, Basel, Switzerland. This article is an open access article distributed under the terms and conditions of the Creative Commons Attribution (CC BY) license (https://creativecommons.org/licenses/by/4.0/).
Share and Cite
Gränicher, P.; Maurer, Y.; Spörri, J.; Haller, B.; Swanenburg, J.; de Bie, R.A.; Lenssen, T.A.F.; Scherr, J. Accuracy and Reliability of Grip Strength Measurements: A Comparative Device Analysis. J. Funct. Morphol. Kinesiol. 2024, 9, 274. https://doi.org/10.3390/jfmk9040274
Gränicher P, Maurer Y, Spörri J, Haller B, Swanenburg J, de Bie RA, Lenssen TAF, Scherr J. Accuracy and Reliability of Grip Strength Measurements: A Comparative Device Analysis. Journal of Functional Morphology and Kinesiology. 2024; 9(4):274. https://doi.org/10.3390/jfmk9040274
Chicago/Turabian StyleGränicher, Pascale, Yael Maurer, Jörg Spörri, Bernhard Haller, Jaap Swanenburg, Rob A. de Bie, Ton A. F. Lenssen, and Johannes Scherr. 2024. "Accuracy and Reliability of Grip Strength Measurements: A Comparative Device Analysis" Journal of Functional Morphology and Kinesiology 9, no. 4: 274. https://doi.org/10.3390/jfmk9040274
APA StyleGränicher, P., Maurer, Y., Spörri, J., Haller, B., Swanenburg, J., de Bie, R. A., Lenssen, T. A. F., & Scherr, J. (2024). Accuracy and Reliability of Grip Strength Measurements: A Comparative Device Analysis. Journal of Functional Morphology and Kinesiology, 9(4), 274. https://doi.org/10.3390/jfmk9040274

