Seasonal Comparison of Pre-Adolescent Soccer Players’ Physical Performance Using an Objective Physical Test Battery
Abstract
1. Introduction
2. Materials and Methods
2.1. Participants and Design
2.2. Materials
2.3. Data Collection
- Double-leg (DL-ST) and single-leg (SL-ST) stability tests performed both with the right (R-ST) and left (L-ST) foot;
 - Double-leg (DL-CMJ) and single-leg (SL-CMJ) countermovement jump tests performed both with the right (R-CMJ) and left (L-CMJ) foot;
 - Double-leg consecutive jump (CJ) test;
 - Single-leg agility test, named parkour (PK) test;
 - Quick feet (QF) test.
 
2.3.1. Stability Test
2.3.2. Countermovement Jump Test
2.3.3. Consecutive Jump Test
2.3.4. Agility Test
2.3.5. Quick Feet Test
2.4. Bias
2.5. Statistical Analysis
3. Results
4. Discussion
Limitations and Considerations
5. Conclusions
Author Contributions
Funding
Institutional Review Board Statement
Informed Consent Statement
Data Availability Statement
Acknowledgments
Conflicts of Interest
References
- Haugaasen, M.; Jordet, G. Developing Football Expertise: A Football-Specific Research Review. Int. Rev. Sport Exerc. Psychol. 2012, 5, 177–201. [Google Scholar] [CrossRef]
 - Sannicandro, I.; Agostino, S.; Abate Daga, M.; Veglio, F.; Abate Daga, F. Developing the Physical Performance in Youth Soccer: Short-Term Effect of Dynamic–Ecological versus Traditional Training Approach for Sub-Elite U13 Players—An Ecological Exploratory Cluster Randomised Trial. JFMK 2024, 9, 83. [Google Scholar] [CrossRef] [PubMed]
 - Toselli, S.; Mauro, M.; Grigoletto, A.; Cataldi, S.; Benedetti, L.; Gallamini, D.; Fischetti, F.; Greco, G. Assessment of Body Composition and Physical Performance of Young Soccer Players: Differences According to the Competitive Level. Biology 2022, 11, 823. [Google Scholar] [CrossRef] [PubMed]
 - Larkin, P.; O’Connor, D. Talent Identification and Recruitment in Youth Soccer: Recruiter’s Perceptions of the Key Attributes for Player Recruitment. PLoS ONE 2017, 12, e0175716. [Google Scholar] [CrossRef]
 - Paul, D.; Nassis, G. Physical Fitness Testing in Youth Soccer: Issues and Considerations Regarding Reliability, Validity and Sensitivity. Pediatr. Exerc. Sci. 2015, 27, 301–313. [Google Scholar] [CrossRef]
 - Halson, S.L. Monitoring Training Load to Understand Fatigue in Athletes. Sports Med. 2014, 44, 139–147. [Google Scholar] [CrossRef]
 - Temm, D.A.; Standing, R.J.; Best, R. Training, Wellbeing and Recovery Load Monitoring in Female Youth Athletes. Int. J. Environ. Res. Public Health 2022, 19, 11463. [Google Scholar] [CrossRef]
 - Stratton, G.; Reilly, T.; Williams, A.; Richardson, D. Youth Soccer: From Science to Performance; Routledge: Abington, UK, 2004; p. 216. ISBN 978-0-203-64413-3. [Google Scholar]
 - Hildebrandt, C.; Müller, L.; Zisch, B.; Huber, R.; Fink, C.; Raschner, C. Functional Assessments for Decision-Making Regarding Return to Sports Following ACL Reconstruction. Part I: Development of a New Test Battery. Knee Surg. Sports Traumatol. Arthrosc. 2015, 23, 1273–1281. [Google Scholar] [CrossRef]
 - Leyhr, D.; Kelava, A.; Raabe, J.; Höner, O. Longitudinal Motor Performance Development in Early Adolescence and Its Relationship to Adult Success: An 8-Year Prospective Study of Highly Talented Soccer Players. PLoS ONE 2018, 13, e0196324. [Google Scholar] [CrossRef] [PubMed]
 - Haugen, T.; Seiler, S. Physical and Physiological Testing of Soccer Players: Why, What and How Should We Measure? Sportscience 2015, 19, 10–26. [Google Scholar]
 - Bradley, P.; Carling, C.; Gómez-Díaz, A.; Hood, P.; Barnes, C.; Ade, J.; Boddy, M.; Krustrup, P.; Mohr, M. Match Performance and Physical Capacity of Players in the Top Three Competitive Standards of English Professional Soccer. Hum. Mov. Sci. 2013, 32, 808–821. [Google Scholar] [CrossRef]
 - Dellal, A.; Hill-Haas, S.; Peñas, C.; Wong, D.P.; Chamari, K. Small-Sided Games in Soccer: Amateur vs. Professional Players’ Physiological Responses, Physical and Technical Analysis. J. Strength Cond. Res. 2011, 25, 2371–2381. [Google Scholar] [CrossRef] [PubMed]
 - Figueiredo, D.H.; Figueiredo, D.H.; Dourado, A.C.; Claudio, L.; Stanganelli, R.; Gonçalves, H.R. Evaluation of Body Composition and Its Relationship with Physical Fitness in Professional Soccer Players at the Beginning of Pre-Season [Evaluación de La Composición Corporal y Su Relación Com La Aptitud Física Em Futebolistas Professionales al Inicio de La Pré-Temporada]. Retos 2021, 40, 117–125. [Google Scholar]
 - Stølen, T.; Chamari, K.; Castagna, C.; Wisløff, U. Physiology of Soccer: An Update. Sports Med. 2005, 35, 501–536. [Google Scholar] [CrossRef]
 - França, C.; Gouveia, É.R.; Martins, F.; Ihle, A.; Henriques, R.; Marques, A.; Sarmento, H.; Przednowek, K.; Lopes, H. Lower-Body Power, Body Composition, Speed, and Agility Performance among Youth Soccer Players. Sports 2024, 12, 135. [Google Scholar] [CrossRef] [PubMed]
 - Wormhoudt, R.; Savelsbergh, G.; Teunissen, J.W.; Davids, K. The Athletic Skills Model: Optimizing Talent Development Through Movement Education; Routledge: London, UK, 2017; ISBN 978-1-315-20147-4. [Google Scholar]
 - Huijgen, B.C.H. Technical Skills the Key to Success? Gildeprint Drukkerijen: Enschede, The Netherlands, 2013. [Google Scholar]
 - Pueo, B.; Jimenez-Olmedo, J.M. Application of Motion Capture Technology for Sport Performance Analysis [El Uso de La Tecnología de Captura de Movimiento Para El Análisis Del Rendimiento Deportivo]. Retos 2017, 32, 241–247. [Google Scholar] [CrossRef]
 - Li, R.T.; Kling, S.R.; Salata, M.J.; Cupp, S.A.; Sheehan, J.; Voos, J.E. Wearable Performance Devices in Sports Medicine. Sports Health 2016, 8, 74–78. [Google Scholar] [CrossRef]
 - Arlotti, J.S.; Carroll, W.O.; Afifi, Y.; Talegaonkar, P.; Albuquerque, L.; Burch, R.F.V.; Ball, J.E.; Chander, H.; Petway, A. Benefits of IMU-Based Wearables in Sports Medicine: Narrative Review. IJKSS 2022, 10, 36–43. [Google Scholar] [CrossRef]
 - Campa, F.; Semprini, G.; Júdice, P.B.; Messina, G.; Toselli, S. Anthropometry, Physical and Movement Features, and Repeated-Sprint Ability in Soccer Players. Int. J. Sports Med. 2018, 40, 100–109. [Google Scholar] [CrossRef]
 - Canhadas, I.L.; Silva, R.L.P.; Chaves, C.R.; Portes, L.A. Anthropometric and Physical Fitness Characteristics of Young Male Soccer Players. Rev. Bras. Cineantropometria Desempenho Hum. 2010, 12, 239–245. [Google Scholar]
 - Almulla, J.; Takiddin, A.; Househ, M. The Use of Technology in Tracking Soccer Players’ Health Performance: A Scoping Review. BMC Med. Inf. Decis Mak 2020, 20, 184. [Google Scholar] [CrossRef] [PubMed]
 - Camomilla, V.; Bergamini, E.; Fantozzi, S.; Vannozzi, G. Trends Supporting the In-Field Use of Wearable Inertial Sensors for Sport Performance Evaluation: A Systematic Review. Sensors 2018, 18, 873. [Google Scholar] [CrossRef] [PubMed]
 - Borges, T.O.; Moreira, A.; Bacchi, R.; Finotti, R.L.; Ramos, M.; Lopes, C.R.; Aoki, M.S. Validation of the VERT Wearable Jump Monitor Device in Elite Youth Volleyball Players. Biol. Sport 2017, 34, 239–242. [Google Scholar] [CrossRef]
 - MacDonald, K.; Bahr, R.; Baltich, J.; Whittaker, J.L.; Meeuwisse, W.H. Validation of an Inertial Measurement Unit for the Measurement of Jump Count and Height. Phys. Ther. Sport 2017, 25, 15–19. [Google Scholar] [CrossRef]
 - Carey, L.; Stanwell, P.; Terry, D.P.; McIntosh, A.S.; Caswell, S.V.; Iverson, G.L.; Gardner, A.J. Verifying Head Impacts Recorded by a Wearable Sensor Using Video Footage in Rugby League: A Preliminary Study. Sports Med. Open 2019, 5, 9. [Google Scholar] [CrossRef] [PubMed]
 - Ghasemzadeh, H.; Jafari, R. Coordination Analysis of Human Movements with Body Sensor Networks: A Signal Processing Model to Evaluate Baseball Swings. IEEE Sens. J. 2011, 11, 603–610. [Google Scholar] [CrossRef]
 - Rojas-Valverde, D.; Sánchez-Ureña, B.; Pino-Ortega, J.; Gómez-Carmona, C.; Gutiérrez-Vargas, R.; Timón, R.; Olcina, G. External Workload Indicators of Muscle and Kidney Mechanical Injury in Endurance Trail Running. Int. J. Environ. Res. Public Health 2019, 16, 3909. [Google Scholar] [CrossRef]
 - Lee, S.; Kim, K.; Kim, Y.H.; Lee, S. Motion Anlaysis in Lower Extremity Joints during Ski Carving Turns Using Wearble Inertial Sensors and Plantar Pressure Sensors. In Proceedings of the 2017 IEEE International Conference on Systems, Man, and Cybernetics (SMC), Banff, AB, Canada, 5–8 October 2017; IEEE: Banff, AB, Canada, 2017; pp. 695–698. [Google Scholar]
 - Wang, Y.; Chen, M.; Wang, X.; Chan, R.; Li, W. IoT for Next-Generation Racket Sports Training. IEEE Internet Things J. 2018, 5, 4558–4566. [Google Scholar] [CrossRef]
 - Whiteside, D.; Cant, O.; Connolly, M.; Reid, M. Monitoring Hitting Load in Tennis Using Inertial Sensors and Machine Learning. Int. J. Sports Physiol. Perform. 2017, 12, 1212–1217. [Google Scholar] [CrossRef]
 - Rojas-Valverde, D.; Pino-Ortega, J.; Gómez-Carmona, C.D.; Rico-González, M. A Systematic Review of Methods and Criteria Standard Proposal for the Use of Principal Component Analysis in Team’s Sports Science. Int. J. Environ. Res. Public Health 2020, 17, 8712. [Google Scholar] [CrossRef]
 - O’Donoghue, P. Principal Components Analysis in the Selection of Key Performance Indicators in Sport. Int. J. Perform. Anal. Sport 2008, 8, 145–155. [Google Scholar] [CrossRef]
 - Parmar, N.; James, N.; Hearne, G.; Jones, B. Using Principal Component Analysis to Develop Performance Indicators in Professional Rugby League. Int. J. Perform. Anal. Sport 2018, 18, 938–949. [Google Scholar] [CrossRef]
 - Weaving, D.; Marshall, P.; Earle, K.; Nevill, A.; Abt, G. Combining Internal- and External-Training-Load Measures in Professional Rugby League. Int. J. Sports Physiol. Perform. 2014, 9, 905–912. [Google Scholar] [CrossRef]
 - Casamichana, D.; Castellano, J.; Gómez Díaz, A.; Martín-García, A. Looking for Complementary Intensity Variables in Different Training Games in Football. J. Strength Cond. Res. 2022, 1–8. [Google Scholar] [CrossRef]
 - Svilar, L.; Castellano, J.; Jukic, I.; Casamichana, D. Positional Differences in Elite Basketball: Selecting Appropriate Training-Load Measures. Int. J. Sports Physiol. Perform. 2018, 13, 947–952. [Google Scholar] [CrossRef] [PubMed]
 - van Melick, N.; Meddeler, B.M.; Hoogeboom, T.J.; Nijhuis-van der Sanden, M.W.G.; van Cingel, R.E.H. How to Determine Leg Dominance: The Agreement between Self-Reported and Observed Performance in Healthy Adults. PLoS ONE 2017, 12, e0189876. [Google Scholar] [CrossRef]
 - Valenzuela, R.; Corral, J.; Diez, M.; Campa, F.J.; Herrero, S.; Macho, E.; Pinto, C. On-Screen Visual Feedback Effect on Static Balance Assessment with Perturbations. Sensors 2024, 24, 1588. [Google Scholar] [CrossRef]
 - Bosco, C.; Luhtanen, P.; Komi, P.V. A Simple Method for Measurement of Mechanical Power in Jumping. Eur. J. Appl. Physiol. 1983, 50, 273–282. [Google Scholar] [CrossRef]
 - Toft Nielsen, E.; Jørgensen, P.B.; Mechlenburg, I.; Sørensen, H. Validation of an Inertial Measurement Unit to Determine Countermovement Jump Height. Asia-Pac. J. Sports Med. Arthrosc. Rehabil. Technol. 2019, 16, 8–13. [Google Scholar] [CrossRef]
 - Merino-Muñoz, P.; Perez-Contreras, J.; Aedo-Muñoz, E. The Percentage Change and Differences in Sport: A Practical Easy Tool to Calculate. Sport Perform. Sci. Rep. 2020, 118, 446–450. [Google Scholar] [CrossRef]
 - Weaving, D.; Dalton, N.E.; Black, C.; Darrall-Jones, J.; Phibbs, P.J.; Gray, M.; Jones, B.; Roe, G.A.B. The Same Story or a Unique Novel? Within-Participant Principal-Component Analysis of Measures of Training Load in Professional Rugby Union Skills Training. Int. J. Sports Physiol. Perform. 2018, 13, 1175–1181. [Google Scholar] [CrossRef] [PubMed]
 - Kaiser, H.F. An Index of Factorial Simplicity. Psychometrika 1974, 39, 31–36. [Google Scholar] [CrossRef]
 - Hair, J.; Black, W.; Babin, B.; Anderson, R. Multivariate Data Analysis: A Global Perspective; Pearson Education: Upper Saddle River, NJ, USA, 2010; ISBN 978-0-13-515309-3. [Google Scholar]
 - Hrysomallis, C.; McLaughlin, P.; Goodman, C. Balance and Injury in Elite Australian Footballers. Int. J. Sports Med. 2007, 28, 844–847. [Google Scholar] [CrossRef]
 - Caraffa, A.; Cerulli, G.; Projetti, M.; Aisa, G.; Rizzo, A. Prevention of Anterior Cruciate Ligament Injuries in Soccer. A Prospective Controlled Study of Proprioceptive Training. Knee Surg. Sports Traumatol. Arthrosc. 1996, 4, 19–21. [Google Scholar] [CrossRef] [PubMed]
 - Plisky, P.J.; Rauh, M.J.; Kaminski, T.W.; Underwood, F.B. Star Excursion Balance Test as a Predictor of Lower Extremity Injury in High School Basketball Players. J. Orthop. Sports Phys. Ther. 2006, 36, 911–919. [Google Scholar] [CrossRef]
 - Mitrousis, I.; Bourdas, D.I.; Kounalakis, S.; Bekris, E.; Mitrotasios, M.; Kostopoulos, Ν.; Ktistakis, I.E.; Zacharakis, E. The Effect of a Balance Training Program on the Balance and Technical Skills of Adolescent Soccer Players. J. Sports Sci. Med. 2023, 22, 645–657. [Google Scholar] [CrossRef]
 - Menzel, H.-J.; Chagas, M.H.; Szmuchrowski, L.A.; Araujo, S.R.S.; de Andrade, A.G.P.; de Jesus-Moraleida, F.R. Analysis of Lower Limb Asymmetries by Isokinetic and Vertical Jump Tests in Soccer Players. J. Strength Cond. Res. 2013, 27, 1370. [Google Scholar] [CrossRef]
 - Wisløff, U.; Castagna, C.; Helgerud, J.; Jones, R.; Hoff, J. Strong Correlation of Maximal Squat Strength with Sprint Performance and Vertical Jump Height in Elite Soccer Players. Br. J. Sports Med. 2004, 38, 285–288. [Google Scholar] [CrossRef]
 - Bishop, C.; Abbott, W.; Brashill, C.; Loturco, I.; Beato, M.; Turner, A. Seasonal Variation of Physical Performance, Bilateral Deficit, and Interlimb Asymmetry in Elite Academy Soccer Players: Which Metrics Are Sensitive to Change? J. Strength Cond. Res. 2023, 37, 358–365. [Google Scholar] [CrossRef]
 - Parpa, K.; Katanic, B.; Michaelides, M. Seasonal Variation and the Effect of the Transition Period on Physical Fitness Parameters in Youth Female Soccer Players. Sports 2024, 12, 84. [Google Scholar] [CrossRef]
 - Fessi, M.S.; Zarrouk, N.; Filetti, C.; Rebai, H.; Elloumi, M.; Moalla, W. Physical and Anthropometric Changes during Pre- and in-Season in Professional Soccer Players. J. Sports Med. Phys. Fit. 2016, 56, 1163–1170. [Google Scholar]
 - Dragijsky, M.; Maly, T.; Zahalka, F.; Kunzmann, E.; Hank, M. Seasonal Variation of Agility, Speed and Endurance Performance in Young Elite Soccer Players. Sports 2017, 5, 12. [Google Scholar] [CrossRef] [PubMed]
 - Ricotti, L.; Rigosa, J.; Niosi, A.; Menciassi, A. Analysis of Balance, Rapidity, Force and Reaction Times of Soccer Players at Different Levels of Competition. PLoS ONE 2013, 8, e77264. [Google Scholar] [CrossRef]
 - Abarghoueinejad, M.; Baxter-Jones, A.D.G.; Gomes, T.N.; Barreira, D.; Maia, J. Motor Performance in Male Youth Soccer Players: A Systematic Review of Longitudinal Studies. Sports 2021, 9, 53. [Google Scholar] [CrossRef]
 - Le Gall, F.; Carling, C.; Reilly, T. Biological Maturity and Injury in Elite Youth Football. Scand. J. Med. Sci. Sports 2007, 17, 564–572. [Google Scholar] [CrossRef]
 - Moore, S.A.; Mckay, H.A.; Macdonald, H.; Nettlefold, L.; Baxter-Jones, A.D.G.; Cameron, N.; Brasher, P.M.A. Enhancing a Somatic Maturity Prediction Model. Med. Sci. Sports Exerc. 2015, 47, 1755. [Google Scholar] [CrossRef] [PubMed]
 - Monasterio, X.; Gil, S.M.; Bidaurrazaga-Letona, I.; Cumming, S.P.; Malina, R.M.; Williams, S.; Lekue, J.A.; Santisteban, J.M.; Diaz-Beitia, G.; Larruskain, J. Estimating Maturity Status in Elite Youth Soccer Players: Evaluation of Methods. Med. Sci. Sports Exerc. 2024, 56, 1124. [Google Scholar] [CrossRef]
 - Malina, R.M.; Rogol, A.D.; Cumming, S.P.; e Silva, M.J.C.; Figueiredo, A.J. Biological Maturation of Youth Athletes: Assessment and Implications. Br. J. Sports Med. 2015, 49, 852–859. [Google Scholar] [CrossRef]
 - Salter, J.; Cumming, S.; Hughes, J.D.; De Ste Croix, M. Estimating Somatic Maturity in Adolescent Soccer Players: Methodological Comparisons. Int. J. Sports Sci. Coach. 2022, 17, 11–17. [Google Scholar] [CrossRef]
 - Miranda-Oliveira, P.; Branco, M.; Fernandes, O. Accuracy of Inertial Measurement Units When Applied to the Countermovement Jump of Track and Field Athletes. Sensors 2022, 22, 7186. [Google Scholar] [CrossRef]
 - Villa, G.; Cerfoglio, S.; Galli, M.; Cimolin, V. Impact of IMU Placement on Vertical Jump Height Estimation: A Comparative Analysis in Countermovement Jumps. In Proceedings of the 2024 IEEE International Workshop on Sport, Technology and Research (STAR), Lecco, Italy, 8–10 July 2024; pp. 279–284. [Google Scholar]
 





| Variables | T0 | T1 | %C | SWC | 
|---|---|---|---|---|
| DL-LoS (a.u.) | 3.1 ± 0.7 | 2.8 ± 0.7 | −9.7% | 4.4% | 
| R-LoS (a.u.) | 3.0 ± 0.6 | 2.7 ± 0.6 | −10.0% | 3.9% | 
| L-LoS (a.u.) | 3.1 ± 0.6 | 2.8 ± 0.6 | −9.7% | 3.8% | 
| DL-CMJVJH (cm) | 33.0 ± 6.1 | 35.0 ± 5.6 | 6.1% | 3.6% | 
| R-CMJVJH (cm) | 19.0 ± 3.9 | 20.8 ± 4.3 | 9.5% | 4.1% | 
| L-CMJVJH (cm) | 18.9 ± 4.3 | 21.3 ± 4.9 | 12.7% | 4.5% | 
| DL-CMJPOW (W/kg) | 43.1 ± 7.7 | 45.7 ± 6.5 | 6.0% | 3.6% | 
| R-CMJPOW (W/kg) | 26.8 ± 8.6 | 30.0 ± 7.8 | 11.9% | 6.4% | 
| L-CMJPOW (W/kg) | 26.7 ± 8.9 | 30.5 ± 8.0 | 14.2% | 6.7% | 
| CJVJH (cm) | 28.0 ± 8.1 | 31.0 ± 8.2 | 10.7% | 5.8% | 
| CJCT (ms) | 184.2 ± 50.9 | 179.7 ± 44.6 | −2.4% | 5.5% | 
| CJST (a.u.) | 1.6 ± 0.5 | 1.8 ± 0.4 | 12.5% | 5.8% | 
| R-PK (s) | 6.1 ± 1.3 | 5.7 ± 0.7 | −6.6% | 4.1% | 
| L-PK (s) | 6.2 ± 1.4 | 5.8 ± 0.8 | −6.5% | 4.5% | 
| QF (s) | 9.0 ± 2.0 | 7.4 ± 1.2 | −17.8% | 4.3% | 
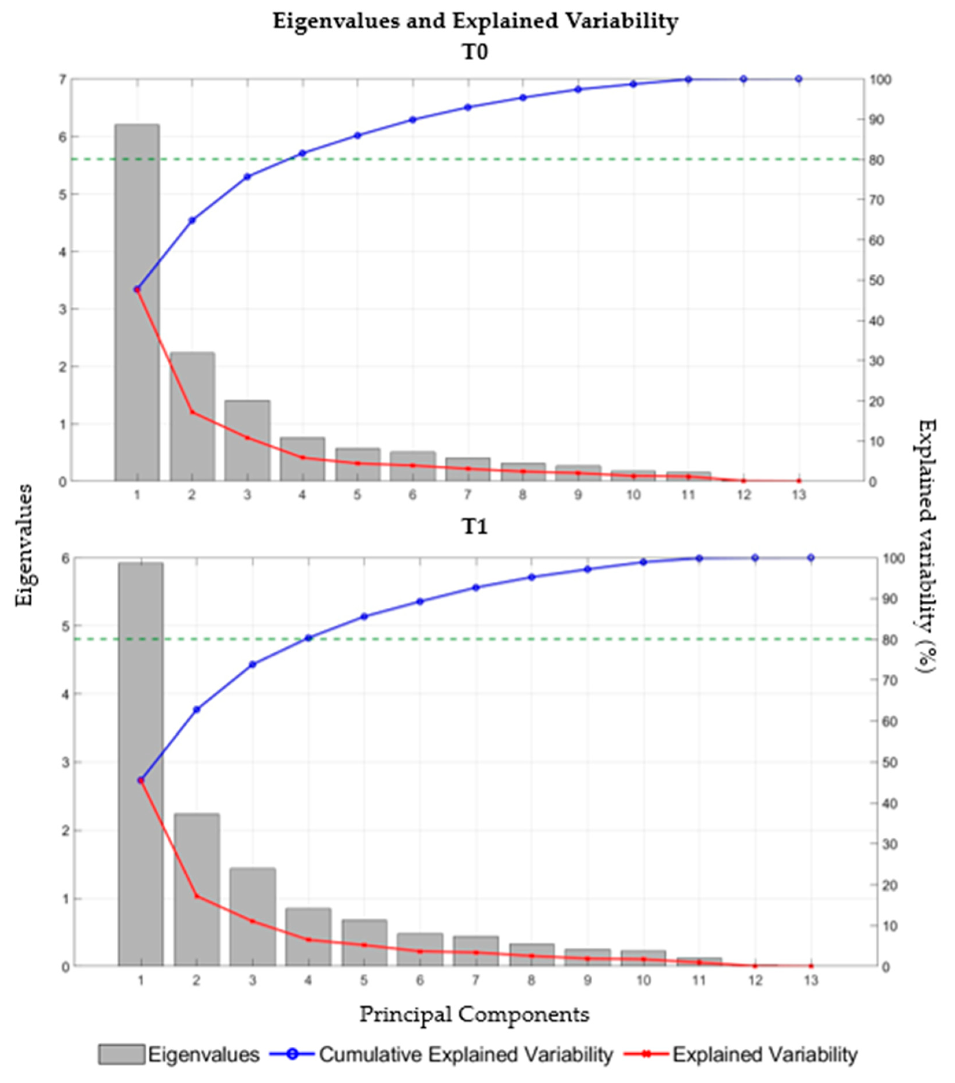
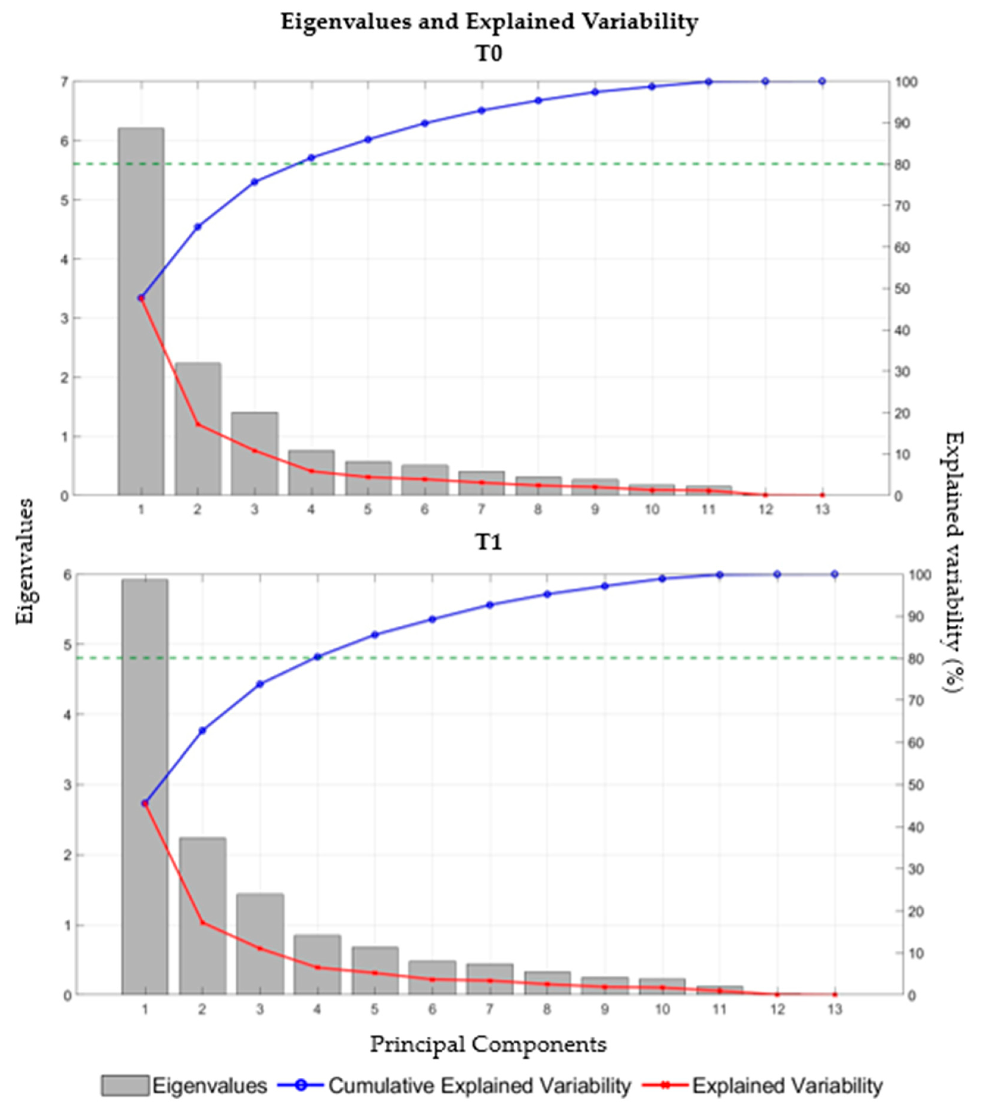
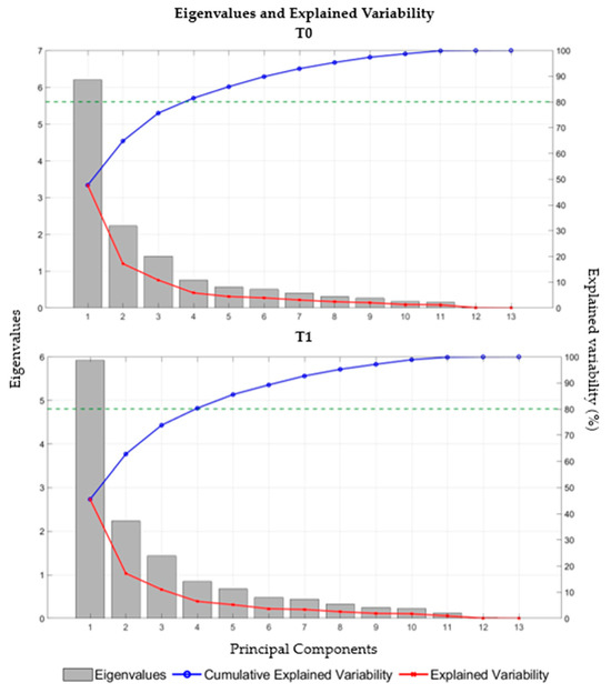
| PC | T0 | T1 | ||||
|---|---|---|---|---|---|---|
| Eigenvalue | Explained Var. | Cumulative Var. | Eigenvalue | Explained Var. | Cumulative Var. | |
| PC1 | 6.197 | 0.477 | 47.7% | 5.919 | 0.455 | 45.5% | 
| PC2 | 2.232 | 0.172 | 64.8% | 2.238 | 0.172 | 62.7% | 
| PC3 | 1.407 | 0.108 | 75.7% | 1.436 | 0.110 | 73.8% | 
| PC4 | 0.759 | 0.058 | 81.5% | 0.847 | 0.065 | 80.3% | 
| Var | PC1 | PC2 | PC3 | PC4 | 
|---|---|---|---|---|
| DL-LoS | 0.833 | |||
| R-LoS | 0.860 | |||
| L-LoS | 0.890 | |||
| DL-CMJVJH | 0.883 | |||
| R-CMJVJH | 0.839 | |||
| L-CMJVJH | 0.871 | |||
| DL-CMJPOW | 0.901 | |||
| R-CMJPOW | 0.847 | |||
| L-CMJPOW | 0.877 | |||
| CJVJH | 0.931 | |||
| R-PK | 0.880 | |||
| L-PK | 0.925 | |||
| QF | 0.640 | 
| Var | PC1 | PC2 | PC3 | PC4 | 
|---|---|---|---|---|
| DL-LoS | 0.729 | |||
| R-LoS | 0.894 | |||
| L-LoS | 0.904 | |||
| DL-CMJVJH | 0.842 | |||
| R-CMJVJH | 0.881 | |||
| L-CMJVJH | 0.870 | |||
| DL-CMJPOW | 0.837 | |||
| R-CMJPOW | 0.872 | |||
| L-CMJPOW | 0.893 | |||
| CJVJH | 0.865 | |||
| R-PK | 0.870 | |||
| L-PK | 0.851 | |||
| QF | 0.635 | 
Disclaimer/Publisher’s Note: The statements, opinions and data contained in all publications are solely those of the individual author(s) and contributor(s) and not of MDPI and/or the editor(s). MDPI and/or the editor(s) disclaim responsibility for any injury to people or property resulting from any ideas, methods, instructions or products referred to in the content.  | 
© 2024 by the authors. Licensee MDPI, Basel, Switzerland. This article is an open access article distributed under the terms and conditions of the Creative Commons Attribution (CC BY) license (https://creativecommons.org/licenses/by/4.0/).
Share and Cite
Villa, G.; Papaioannou, F.; Galli, M.; Cimolin, V. Seasonal Comparison of Pre-Adolescent Soccer Players’ Physical Performance Using an Objective Physical Test Battery. J. Funct. Morphol. Kinesiol. 2024, 9, 166. https://doi.org/10.3390/jfmk9030166
Villa G, Papaioannou F, Galli M, Cimolin V. Seasonal Comparison of Pre-Adolescent Soccer Players’ Physical Performance Using an Objective Physical Test Battery. Journal of Functional Morphology and Kinesiology. 2024; 9(3):166. https://doi.org/10.3390/jfmk9030166
Chicago/Turabian StyleVilla, Giacomo, Foivos Papaioannou, Manuela Galli, and Veronica Cimolin. 2024. "Seasonal Comparison of Pre-Adolescent Soccer Players’ Physical Performance Using an Objective Physical Test Battery" Journal of Functional Morphology and Kinesiology 9, no. 3: 166. https://doi.org/10.3390/jfmk9030166
APA StyleVilla, G., Papaioannou, F., Galli, M., & Cimolin, V. (2024). Seasonal Comparison of Pre-Adolescent Soccer Players’ Physical Performance Using an Objective Physical Test Battery. Journal of Functional Morphology and Kinesiology, 9(3), 166. https://doi.org/10.3390/jfmk9030166
        
