Tactical Situations and Playing Styles as Key Performance Indicators in Soccer
Abstract
1. Introduction
2. Material and Methods
2.1. Sample
2.2. Procedure
2.3. Statistical Analysis
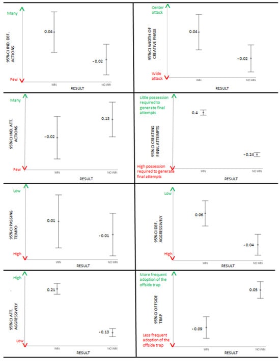
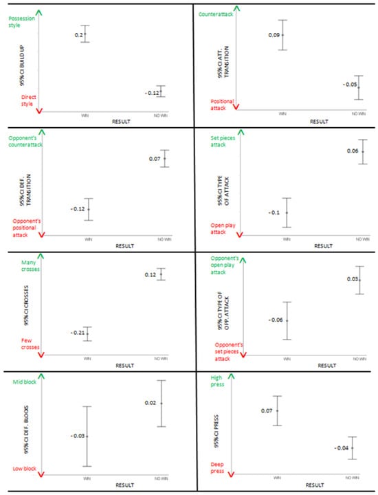
3. Results
4. Discussion
4.1. Ball Possession Phase
4.2. Opponent’s Ball Possession Phase
4.3. Transitions
4.4. The Paradox of Offsides
4.5. Limitations
5. Conclusions
Author Contributions
Funding
Institutional Review Board Statement
Informed Consent Statement
Data Availability Statement
Conflicts of Interest
Correction Statement
References
- Ferrarini, A. Order out of chaos: Emergent patterns in soccer matches. Selforganizology 2016, 3, 51–58. [Google Scholar]
- Kapsalis, M.; Plakias, S.; Kyranoudis, A.; Zarkadoula, A.; Lathoura, A.; Tsatalas, T. Exploring the impact of possession-based performance indicators on goal scoring in elite football leagues. J. Phys. Educ. Sport 2023, 23, 2004–2015. [Google Scholar] [CrossRef]
- Wright, C.; Carling, C.; Collins, D. The wider context of performance analysis and it application in the football coaching process. Int. J. Perform. Anal. Sport 2014, 14, 709–733. [Google Scholar] [CrossRef]
- Plakias, S.; Betsios, X.; Kalapotharakos, V. Bridging the gap: Leveraging Power BI to connect data science and soccer coaches. J. Phys. Educ. Sport 2023, 23, 2543–2550. [Google Scholar] [CrossRef]
- Plakias, S.; Moustakidis, S.; Kokkotis, C.; Papalexi, M.; Tsatalas, T.; Giakas, G.; Tsaopoulos, D. Identifying Soccer Players’ Playing Styles: A Systematic Review. J. Funct. Morphol. Kinesiol. 2023, 8, 104. [Google Scholar] [CrossRef]
- Butterworth, A.; O’Donoghue, P.; Cropley, B. Performance profiling in sports coaching: A review. Int. J. Perform. Anal. Sport 2013, 13, 572–593. [Google Scholar] [CrossRef]
- Russomanno, T.; Linke, D.; Geromiller, M.; Lames, M. Performance of Performance Indicators in Football. In Proceedings of the Proceedings of the 12th International Symposium on Computer Science in Sport (IACSS 2019), Moscow, Russia, 8–10 July 2019; pp. 36–44. [Google Scholar]
- Morgulev, E.; Lebed, F. Beyond key performance indicators: Theoretical-methodological discussion of performance analysis (sports analytics) research. Ger. J. Exerc. Sport Res. 2024, 1–6. [Google Scholar] [CrossRef]
- Herold, M.; Kempe, M.; Bauer, P.; Meyer, T. Attacking key performance indicators in soccer: Current practice and perceptions from the elite to youth academy level. J. Sports Sci. Med. 2021, 20, 158. [Google Scholar] [CrossRef]
- Folgado, H.; Duarte, R.; Marques, P.; Sampaio, J. The effects of congested fixtures period on tactical and physical performance in elite football. J. Sports Sci. 2015, 33, 1238–1247. [Google Scholar] [CrossRef]
- Lepschy, H. How to be successful in football: A systematic review. Open Sports Sci. J. 2018, 11, 3–23. [Google Scholar] [CrossRef]
- Sarmento, H.; Marcelino, R.; Anguera, M.T.; CampaniÇo, J.; Matos, N.; LeitÃo, J.C. Match analysis in football: A systematic review. J. Sports Sci. 2014, 32, 1831–1843. [Google Scholar] [CrossRef]
- Fernández-Cortés, J.; Gómez-Ruano, M.A.; Mancha-Triguero, D.; Ibáñez, S.J.; García-Rubio, J. Evolution of performance indicators in soccer during the last decade. Appl. Sci. 2022, 12, 12834. [Google Scholar] [CrossRef]
- Evangelos, B.; Aristotelis, G.; Ioannis, G.; Stergios, K.; Foteini, A. Winners and losers in top level soccer. How do they differ? J. Phys. Educ. Sport 2014, 14, 398. [Google Scholar]
- Harrop, K.; Nevill, A. Performance indicators that predict success in an English professional League One soccer team. Int. J. Perform. Anal. Sport 2014, 14, 907–920. [Google Scholar] [CrossRef]
- Liu, H.; Hopkins, W.G.; Gómez, M.-A. Modelling relationships between match events and match outcome in elite football. Eur. J. Sport Sci. 2016, 16, 516–525. [Google Scholar] [CrossRef]
- Liu, H.; Gomez, M.-Á.; Lago-Peñas, C.; Sampaio, J. Match statistics related to winning in the group stage of 2014 Brazil FIFA World Cup. J. Sports Sci. 2015, 33, 1205–1213. [Google Scholar] [CrossRef]
- Sgrò, F.; Barresi, M.; Lipoma, M. The analysis of discriminant factors related to team match performances in the 2012 European Football Championship. J. Phys. Educ. Sport 2015, 15, 460. [Google Scholar] [CrossRef]
- Zhou, C.; Zhang, S.; Lorenzo Calvo, A.; Cui, Y. Chinese soccer association super league, 2012–2017: Key performance indicators in balance games. Int. J. Perform. Anal. Sport 2018, 18, 645–656. [Google Scholar] [CrossRef]
- Yang, G.; Leicht, A.S.; Lago, C.; Gómez, M.-Á. Key team physical and technical performance indicators indicative of team quality in the soccer Chinese super league. Res. Sports Med. 2018, 26, 158–167. [Google Scholar] [CrossRef]
- Alves, D.L.; Osiecki, R.; Palumbo, D.P.; Moiano-Junior, J.V.; Oneda, G.; Cruz, R. What variables can differentiate winning and losing teams in the group and final stages of the 2018 FIFA World Cup? Int. J. Perform. Anal. Sport 2019, 19, 248–257. [Google Scholar] [CrossRef]
- Fernandez-Navarro, J.; Fradua, L.; Zubillaga, A.; McRobert, A.P. Influence of contextual variables on styles of play in soccer. Int. J. Perform. Anal. Sport 2018, 18, 423–436. [Google Scholar] [CrossRef]
- Bilek, G.; Ulas, E. Predicting match outcome according to the quality of opponent in the English premier league using situational variables and team performance indicators. Int. J. Perform. Anal. Sport 2019, 19, 930–941. [Google Scholar] [CrossRef]
- Bunker, R.; Susnjak, T. The application of machine learning techniques for predicting match results in team sport: A review. J. Artif. Intell. Res. 2022, 73, 1285–1322. [Google Scholar] [CrossRef]
- Moustakidis, S.; Plakias, S.; Kokkotis, C.; Tsatalas, T.; Tsaopoulos, D. Predicting Football Team Performance with Explainable AI: Leveraging SHAP to Identify Key Team-Level Performance Metrics. Future Internet 2023, 15, 174. [Google Scholar] [CrossRef]
- Plakias, S. An integrative review of the game model in soccer: Definition, misconceptions, and practical significance. Trends Sport Sci. 2023, 30, 85–92. [Google Scholar] [CrossRef]
- Plakias, S.; Moustakidis, S.; Kokkotis, C.; Tsatalas, T.; Papalexi, M.; Plakias, D.; Giakas, G.; Tsaopoulos, D. Identifying soccer teams’ styles of play: A scoping and critical review. J. Funct. Morphol. Kinesiol. 2023, 8, 39. [Google Scholar] [CrossRef] [PubMed]
- Castellano, J.; Pic, M. Identification and preference of game styles in LaLiga associated with match outcomes. Int. J. Environ. Res. Public Health 2019, 16, 5090. [Google Scholar] [CrossRef] [PubMed]
- Sarmento, H.; Clemente, F.M.; Araújo, D.; Davids, K.; McRobert, A.; Figueiredo, A. What performance analysts need to know about research trends in association football (2012–2016): A systematic review. Sports Med. 2018, 48, 799–836. [Google Scholar] [CrossRef] [PubMed]
- Plakias, S.; Kokkotis, C.; Moustakidis, S.; Tsatalas, T.; Papalexi, M.; Kasioura, C.; Giakas, G.; Tsaopoulos, D. Identifying playing styles of european soccer teams during the key moments of the game. J. Phys. Educ. Sport 2023, 23, 878–890. [Google Scholar] [CrossRef]
- Hanley, J.A.; Negassa, A.; Edwardes, M.D.d.; Forrester, J.E. Statistical analysis of correlated data using generalized estimating equations: An orientation. Am. J. Epidemiol. 2003, 157, 364–375. [Google Scholar] [CrossRef]
- Zorn, C.J. Generalized estimating equation models for correlated data: A review with applications. Am. J. Political Sci. 2001, 45, 470–490. [Google Scholar] [CrossRef]
- Fu, L.; Hao, Y.; Wang, Y.-G. Working correlation structure selection in generalized estimating equations. Comput. Stat. 2018, 33, 983–996. [Google Scholar] [CrossRef]
- Plakias, S.; Mandroukas, A.; Kokkotis, C.; Michailidis, Y.; Mavromatis, G.; Metaxas, T. The correlation of the penetrative pass on offensive third with the possession of the ball in high level soccer. Gazz. Medica Ital.-Arch. Per Le Sci. Mediche 2022, 181, 633–638. [Google Scholar] [CrossRef]
- Pratas, J.M.; Volossovitch, A.; Carita, A.I. Goal scoring in elite male football: A systematic review. J. Hum. Sport Exerc. 2018, 13, 218–230. [Google Scholar] [CrossRef]
- Van Roy, M.; Robberechts, P.; Davis, J. Optimally Disrupting Opponent Build-ups. In Proceedings of the 2021 StatsBomb Conference, London, UK, 8 October 2021; pp. 1–16. [Google Scholar]
- Isikdemir, E.; Özkurkcu, S.; Özer, S.C. Technical Analysis of Goals Scored in 3 Different European Leagues in The 2020-2021 Football Season. Spor Bilim. Araştırmaları Derg. 2023, 8, 458–472. [Google Scholar] [CrossRef]
- Vecer, J. Crossing in soccer has a strong negative impact on scoring: Evidence from the English Premier League the German Bundesliga and the World Cup 2014. Available SSRN 2225728 2014. [Google Scholar] [CrossRef]
- Fernández Navarro, F.J. Analysis of Styles of Play in Soccer and Their Effectiveness. Ph.D. Thesis, Universidad de Granada, Granada, Spain, 2019. [Google Scholar]
- González-Rodenas, J.; Malavés, R.A.; Desantes, A.T.; Ramírez, E.S.; Hervás, J.C.; Malavés, R.A. Past, present and future of goal scoring analysis in professional soccer. Retos Nuevas Tend. En Educ. Física Deporte Y Recreación 2020, 37, 774–785. [Google Scholar]
- Castañer, M.; Barreira, D.; Camerino, O.; Anguera, M.T.; Canton, A.; Hileno, R. Goal scoring in soccer: A polar coordinate analysis of motor skills used by Lionel Messi. Front. Psychol. 2016, 7, 197486. [Google Scholar] [CrossRef]
- Fernandez-Navarro, J.; Fradua, L.; Zubillaga, A.; McRobert, A.P. Evaluating the effectiveness of styles of play in elite soccer. Int. J. Sports Sci. Coach. 2019, 14, 514–527. [Google Scholar] [CrossRef]
- Low, B.; Rein, R.; Raabe, D.; Schwab, S.; Memmert, D. The porous high-press? An experimental approach investigating tactical behaviours from two pressing strategies in football. J. Sports Sci. 2021, 39, 2199–2210. [Google Scholar] [CrossRef]
- Bauer, P.; Anzer, G.; Shaw, L. Putting team formations in association football into context. J. Sports Anal. 2023, 9, 39–59. [Google Scholar] [CrossRef]
- Badiella, L.; Puig, P.; Lago-Peñas, C.; Casals, M. Influence of Red and Yellow cards on team performance in elite soccer. Ann. Oper. Res. 2023, 325, 149–165. [Google Scholar] [CrossRef]
- Eusebio, P.; Prieto-González, P.; Marcelino, R. Decoding the complexities of transitions in football: A comprehensive narrative review. Ger. J. Exerc. Sport Res. 2024, 1–11. [Google Scholar] [CrossRef]
- Lopez-Valenciano, A.; Garcia-Gómez, J.A.; López-Del Campo, R.; Resta, R.; Moreno-Perez, V.; Blanco-Pita, H.; Valés-Vázquez, Á.; Del Coso, J. Association between offensive and defensive playing style variables and ranking position in a national football league. J. Sports Sci. 2022, 40, 50–58. [Google Scholar] [CrossRef] [PubMed]
- Tenga, A.; Holme, I.; Ronglan, L.T.; Bahr, R. Effect of playing tactics on goal scoring in Norwegian professional soccer. J. Sports Sci. 2010, 28, 237–244. [Google Scholar] [CrossRef] [PubMed]
- Sarmento, H.; Figueiredo, A.; Lago-Peñas, C.; Milanovic, Z.; Barbosa, A.; Tadeu, P.; Bradley, P.S. Influence of tactical and situational variables on offensive sequences during elite football matches. J. Strength Cond. Res. 2018, 32, 2331–2339. [Google Scholar] [CrossRef] [PubMed]
- Gonzalez-Rodenas, J.; Lopez-Bondia, I.; Calabuig, F.; Pérez-Turpin, J.A.; Aranda, R. Association between playing tactics and creating scoring opportunities in counterattacks from United States Major League Soccer games. Int. J. Perform. Anal. Sport 2016, 16, 737–752. [Google Scholar] [CrossRef]
- Gollan, S.; Ferrar, K.; Norton, K. Characterising game styles in the English Premier League using the “moments of play” framework. Int. J. Perform. Anal. Sport 2018, 18, 998–1009. [Google Scholar] [CrossRef]
- Stone, J.A.; Smith, A.; Barry, A. The undervalued set piece: Analysis of soccer throw-ins during the English Premier League 2018–2019 season. Int. J. Sports Sci. Coach. 2021, 16, 830–839. [Google Scholar] [CrossRef]
- Prieto, J.; Gómez, M.-Á.; Sampaio, J. From a static to a dynamic perspective in handball match analysis: A systematic review. Open Sports Sci. J. 2015, 8, 25–34. [Google Scholar] [CrossRef]
- Castellano, J.; Blanco-Villaseñor, A.; Alvarez, D. Contextual variables and time-motion analysis in soccer. Int. J. Sports Med. 2011, 32, 415–421. [Google Scholar] [CrossRef] [PubMed]
- Castellano, J.; Echeazarra, I. Network-based centrality measures and physical demands in football regarding player position: Is there a connection? A preliminary study. J. Sports Sci. 2019, 37, 2631–2638. [Google Scholar] [CrossRef] [PubMed]
- Michailidis, Y. Small sided games in soccer training. J. Phys. Educ. Sport 2013, 13, 392. [Google Scholar]
- Clemente, F.; Sarmento, H. The effects of small-sided soccer games on technical actions and skills: A systematic review. Hum. Mov. 2020, 21, 100–119. [Google Scholar] [CrossRef]
- Nunes, N.A.; Goncalves, B.; Coutinho, D.; Nakamura, F.Y.; Travassos, B. How playing area dimension and number of players constrain football performance during unbalanced ball possession games. Int. J. Sports Sci. Coach. 2021, 16, 334–343. [Google Scholar] [CrossRef]
- Wein, H. Developing Game Intelligence in Soccer; Reedswain Inc.: Spring City, PA, USA, 2004. [Google Scholar]
- Rochael, M.; Praça, G.M. Designing small-sided games for counter-attack training in youth soccer. Int. J. Sports Sci. Coach. 2024, 19, 687–697. [Google Scholar] [CrossRef]
- Sarmento, H.; Anguera, M.T.; Pereira, A.; Marques, A.; Campaniço, J.; Leitão, J. Patterns of play in the counterattack of elite football teams-A mixed method approach. Int. J. Perform. Anal. Sport 2014, 14, 411–427. [Google Scholar] [CrossRef]



| Tactical Situation (Latent Variables) | Playing Styles | |
|---|---|---|
| High Values of the Factor Scores | Low Values of the Factor Scores | |
| Build up | Possession style | Direct style |
| Attacking transition | Counterattack | Positional attack |
| Defensive transition | Opponent’s counterattack | Opponent’s positional attack |
| Type of attack | Set pieces attack | Open play attack |
| Crosses | Many crosses | Few crosses |
| Type of opponent attack | Opponent’s open play attack | Opponent’s set pieces attack |
| Defensive blocks | Mid-block | Low-block |
| Press | High press | Deep press |
| Individual defensive actions | Many individual defending actions | Few individual defending actions |
| Width of creative phase | Center attack | Wide attack |
| Individual attacking actions | Many individual attacking actions | Few individual attacking actions |
| Creating final attempts | Little possession required to generate final attempts (strong tendency) | High possession required to generate final attempts (low tedency) |
| Passing tempo | Low passing tempo | High passing tempo |
| Defending aggressively | Low defensive aggressiveness | High defensive aggressiveness |
| Attacking aggressively | High attacking aggressiveness | Low attacking aggressiveness |
| Offside trap | More frequent adoption of the offside trap | Less frequent adoption of the offside trap |
| Parameter | B | Wald Chi-Square | Sig. | Exp (B) |
|---|---|---|---|---|
| (Intercept) | −0.65 | 207.71 | 0.00 | 0.52 |
| Build up | 0.38 | 83.21 | 0.00 | 1.46 |
| Att. transition | 0.18 | 31.61 | 0.00 | 1.19 |
| Def. transition | −0.25 | 60.86 | 0.00 | 0.78 |
| Type of attack | −0.21 | 39.93 | 0.00 | 0.81 |
| Crosses | −0.43 | 150.53 | 0.00 | 0.65 |
| Type of opp. attack | −0.12 | 13.74 | 0.00 | 0.89 |
| Def. blocks | −0.05 | 2.68 | 0.10 | 0.95 |
| Press | 0.13 | 17.30 | 0.00 | 1.14 |
| Ind. def. actions | 0.07 | 5.44 | 0.02 | 1.08 |
| Width of creative phase | 0.08 | 5.06 | 0.02 | 1.08 |
| Ind. att. actions | −0.04 | 1.52 | 0.22 | 0.96 |
| Creating final attempts | 0.80 | 430.49 | 0.00 | 2.22 |
| Passing tempo | 0.02 | 0.58 | 0.45 | 1.02 |
| Def. aggressively | 0.12 | 11.02 | 0.00 | 1.12 |
| Att. aggressively | 0.42 | 154.74 | 0.00 | 1.52 |
| Offside trap | −0.19 | 37.16 | 0.00 | 0.83 |
Disclaimer/Publisher’s Note: The statements, opinions and data contained in all publications are solely those of the individual author(s) and contributor(s) and not of MDPI and/or the editor(s). MDPI and/or the editor(s) disclaim responsibility for any injury to people or property resulting from any ideas, methods, instructions or products referred to in the content. |
© 2024 by the authors. Licensee MDPI, Basel, Switzerland. This article is an open access article distributed under the terms and conditions of the Creative Commons Attribution (CC BY) license (https://creativecommons.org/licenses/by/4.0/).
Share and Cite
Plakias, S.; Tsatalas, T.; Armatas, V.; Tsaopoulos, D.; Giakas, G. Tactical Situations and Playing Styles as Key Performance Indicators in Soccer. J. Funct. Morphol. Kinesiol. 2024, 9, 88. https://doi.org/10.3390/jfmk9020088
Plakias S, Tsatalas T, Armatas V, Tsaopoulos D, Giakas G. Tactical Situations and Playing Styles as Key Performance Indicators in Soccer. Journal of Functional Morphology and Kinesiology. 2024; 9(2):88. https://doi.org/10.3390/jfmk9020088
Chicago/Turabian StylePlakias, Spyridon, Themistoklis Tsatalas, Vasileios Armatas, Dimitris Tsaopoulos, and Giannis Giakas. 2024. "Tactical Situations and Playing Styles as Key Performance Indicators in Soccer" Journal of Functional Morphology and Kinesiology 9, no. 2: 88. https://doi.org/10.3390/jfmk9020088
APA StylePlakias, S., Tsatalas, T., Armatas, V., Tsaopoulos, D., & Giakas, G. (2024). Tactical Situations and Playing Styles as Key Performance Indicators in Soccer. Journal of Functional Morphology and Kinesiology, 9(2), 88. https://doi.org/10.3390/jfmk9020088

