Developing the Physical Performance in Youth Soccer: Short-Term Effect of Dynamic–Ecological versus Traditional Training Approach for Sub-Elite U13 Players—An Ecological Exploratory Cluster Randomised Trial
Abstract
1. Introduction
2. Materials and Methods
2.1. The Study Design
2.2. Participants
- (a)
- Had not suffered an injury in the previous 6 months;
- (b)
- In the 4 weeks before the study, had systematically performed the training sessions without interruptions or absences;
- (c)
- Upon medical evaluation, fell within stages 3 and 4 of Tanner’s classification [31].
2.3. Procedures
2.4. Training Protocols
2.5. Anthropometrics
2.6. Standing Long Jump Test
2.7. Hop Left and Right Test
2.8. 10 × 5 Shuttle Run
2.9. Leg Raise (Left and Right) Test
2.10. Statistical Analysis
3. Results
3.1. Baseline Characteristics
3.2. Changes in Outcome Measurements
4. Discussion
5. Conclusions
Author Contributions
Funding
Institutional Review Board Statement
Informed Consent Statement
Data Availability Statement
Acknowledgments
Conflicts of Interest
References
- De Miguel-Etayo, P.; Gracia-Marco, L.; Ortega, F.B.; Intemann, T.; Foraita, R.; Lissner, L.; Oja, L.; Barba, G.; Michels, N.; Tornaritis, M.; et al. Physical fitness reference standards in European children: The IDEFICS study. Int. J. Obes. 2014, 38, S57–S66. [Google Scholar] [CrossRef] [PubMed]
- Colley, R.C.; Clarke, J.; Doyon, C.Y.; Janssen, I.; Lang, J.J.; Timmons, B.W.; Tremblay, M.S. Trends in physical fitness among Canadian children and youth. Health Rep. 2019, 30, 3–13. [Google Scholar] [CrossRef] [PubMed]
- Dong, Y.; Lau, P.W.C.; Dong, B.; Zou, Z.; Yang, Y.; Wen, B.; Ma, Y.; Hu, P.; Song, Y.; Ma, J.; et al. Trends in physical fitness, growth, and nutritional status of Chinese children and adolescents: A retrospective analysis of 1·5 million students from six successive national surveys between 1985 and 2014. Lancet Child Adolesc. Health 2019, 3, 871–880. [Google Scholar] [CrossRef]
- Faigenbaum, A.D.; Rebullido, T.R.; MacDonald, J.P. Pediatric Inactivity Triad: A Risky PIT. Curr. Sports Med. Rep. 2018, 17, 45–47. [Google Scholar] [CrossRef] [PubMed]
- Buszard, T.; Farrow, D.; Reid, M. Designing Junior Sport to Maximize Potential: The Knowns, Unknowns, and Paradoxes of Scaling Sport. Front. Psychol. 2020, 10, 2878. [Google Scholar] [CrossRef] [PubMed]
- Evaristo, S.; Moreira, C.; Lopes, L.; Oliveira, A.; Abreu, S.; Agostinis-Sobrinho, C.; Oliveira-Santos, J.; Póvoas, S.; Santos, R.; Mota, J. Muscular fitness and cardiorespiratory fitness are associated with health-related quality of life: Results from labmed physical activity study. J. Exerc. Sci. Fit. 2019, 17, 55–61. [Google Scholar] [CrossRef] [PubMed]
- Rodríguez-Negro, J.; Huertas-Delgado, F.J.; Yanci, J. Motor skills differences by gender in early elementary education students. Early Child Dev. Care 2019, 191, 281–291. [Google Scholar] [CrossRef]
- Colella, D.; Monacis, D. Assessing the Evolution of Physical Fitness in Children and Adolescents for Evidence-Based Teaching. Adv. Phys. Educ. 2021, 11, 183–194. [Google Scholar] [CrossRef]
- Agostino, S.; Calandretti, M.; Veglio, F.; Daga, F.A. Physical strength levels and short-term memory efficiency in primary school children: A possible match? J. Sports Med. Phys. Fit. 2023, 63, 1343–1349. [Google Scholar] [CrossRef]
- Côté, J.; Hancock, D.J. Evidence-based policies for youth sport programmes. Int. J. Sport Policy Politics 2016, 8, 51–65. [Google Scholar] [CrossRef]
- Lex, H.; Simon, M.; Schwab, S. Insights into the application of soccer-specific actions in established and new game forms of youth soccer. Ger. J. Exerc. Sport Res. 2022, 52, 168–172. [Google Scholar] [CrossRef]
- Myer, G.D.; Jayanthi, N.; DiFiori, J.P.; Faigenbaum, A.D.; Kiefer, A.W.; Logerstedt, D.; Micheli, L.J. Sports Specialization, Part II: Alternative Solutions to Early Sport Specialization in Youth Athletes. Sports Health 2016, 8, 65–73. [Google Scholar] [CrossRef] [PubMed]
- Woods, C.T.; McKeown, I.; O’sullivan, M.; Robertson, S.; Davids, K. Theory to Practice: Performance Preparation Models in Contemporary High-Level Sport Guided by an Ecological Dynamics Framework. Sports Med. Open 2020, 6, 36. [Google Scholar] [CrossRef] [PubMed]
- Davids, K.; Araújo, D.; Vilar, L.; Renshaw, I.; Pinder, R. An Ecological Dynamics Approach to Skill Acquisition: Implications for Development of Talent in Sport. Talent. Dev. Excell. 2013, 5, 21–34. [Google Scholar]
- Sannicandro, I. From Traditional Approach to Ecological Dynamics Approach with the Italian Young Soccer Players. Adv. Phys. Educ. 2022, 12, 201–216. [Google Scholar] [CrossRef]
- Sannicandro, I. Ecological Dynamic Approach and Young Soccer Player Training: The Aim Is the Flexible Behavior. Adv. Phys. Educ. 2023, 13, 142–150. [Google Scholar] [CrossRef]
- Ribeiro, J.; Davids, K.; Araújo, D.; Guilherme, J.; Silva, P.; Garganta, J. Exploiting Bi-Directional Self-Organizing Tendencies in Team Sports: The Role of the Game Model and Tactical Principles of Play. Front. Psychol. 2019, 10, 473845. [Google Scholar] [CrossRef]
- Daga, F.A.; Baseggio, L.; Gollin, M.; Beratto, L. Game-based versus multilateral approach: Effects of a 12-week program on motor skill acquisition and physical fitness development in soccer school children. J. Sports Med. Phys. Fit. 2020, 60, 1185–1193. [Google Scholar] [CrossRef]
- Button, C.; Seifert, L.; Chow, J.Y.; Arau, D.; Davids, K. Dynamics of Skill Acquisition: An Ecological Dynamics Approach. 277p. Available online: https://books.google.com/books/about/Dynamics_of_Skill_Acquisition.html?hl=it&id=2TPODwAAQBAJ (accessed on 4 January 2024).
- Timmerman, E.A.; Savelsbergh, G.J.P.; Farrow, D. Creating Appropriate Training Environments to Improve Technical, Decision-Making, and Physical Skills in Field Hockey. Res. Q. Exerc. Sport 2019, 90, 180–189. [Google Scholar] [CrossRef]
- Manzi, V.; Impellizzeri, F.; Castagna, C. Aerobic fitness ecological validity in elite soccer players: A metabolic power approach. J. Strength Cond. Res. 2014, 28, 914–919. [Google Scholar] [CrossRef]
- Bergmann, F.; Gray, R.; Wachsmuth, S.; Höner, O. Perceptual-Motor and Perceptual-Cognitive Skill Acquisition in Soccer: A Systematic Review on the Influence of Practice Design and Coaching Behavior. Front. Psychol. 2021, 12, 772201. [Google Scholar] [CrossRef] [PubMed]
- Pizarro, D.; Práxedes, A.; Travassos, B.; Moreno, A. Development of Defensive Actions in Small-Sided and Conditioned Games with Offensive Purposes in Futsal. Front. Psychol. 2020, 11, 591572. [Google Scholar] [CrossRef] [PubMed]
- Woods, C.T.; McKeown, I.; Shuttleworth, R.J.; Davids, K.; Robertson, S. Training programme designs in professional team sport: An ecological dynamics exemplar. Hum. Mov. Sci. 2019, 66, 318–326. [Google Scholar] [CrossRef] [PubMed]
- Daga, F.A.; Veglio, F.; Cherasco, G.M.; Agostino, S. The Influence of Subjective Perceptions and the Efficacy of Objective Evaluation in Soccer School Players’ Classification: A Cross-Sectional Study. Children 2023, 10, 767. [Google Scholar] [CrossRef] [PubMed]
- Roberts, S.J.; Rudd, J.R.; Reeves, M.J. Efficacy of using non-linear pedagogy to support attacking players’ individual learning objectives in elite-youth football: A randomised cross-over trial. J. Sports Sci. 2020, 38, 1454–1464. [Google Scholar] [CrossRef] [PubMed]
- Roberts, A.H.; Greenwood, D.; Stanley, M.; Humberstone, C.; Iredale, F.; Raynor, A. Understanding the “gut instinct” of expert coaches during talent identification. J. Sports Sci. 2021, 39, 359–367. [Google Scholar] [CrossRef] [PubMed]
- Stølen, T.; Chamari, K.; Castagna, C.; Wisløff, U. Physiology of soccer: An update. Sports Med. 2005, 35, 501–536. [Google Scholar] [CrossRef] [PubMed]
- Daga, F.A.; Panzolini, M.; Allois, R.; Baseggio, L.; Agostino, S. Age-Related Differences in Hamstring Flexibility in Pre-pubertal Soccer Players: An Exploratory Cross-Sectional Study. Front. Psychol. 2021, 12, 741756. [Google Scholar] [CrossRef] [PubMed]
- DeCleene, K.E.; Fogo, J. Publication Manual of the American Psychological Association. Occup. Ther. Health Care 2012, 26, 90–92. [Google Scholar] [CrossRef] [PubMed]
- Moreira, A.; Massa, M.; Thiengo, C.R.; Lopes, R.A.R.; Lima, M.R.; Vaeyens, R.; Barbosa, W.P.; Aoki, M.S. Is the technical performance of young soccer players influenced by hormonal status, sexual maturity, anthropometric profile, and physical performance? Biol. Sport 2017, 34, 305–311. [Google Scholar] [CrossRef]
- Tomkinson, G.R.; Carver, K.D.; Atkinson, F.; Daniell, N.D.; Lewis, L.K.; Fitzgerald, J.S.; Lang, J.J.; Ortega, F.B. European normative values for physical fitness in children and adolescents aged 9–17 years: Results from 2,779,165 Eurofit performances representing 30 countries. Br. J. Sports Med. 2018, 52, 1445–1456. [Google Scholar] [CrossRef]
- Lloyd, R.S.; Oliver, J.L.; Myer, G.D.; Croix, M.D.S.; Read, P.J. Seasonal variation in neuromuscular control in young male soccer players. Phys. Ther. Sport 2020, 42, 33–39. [Google Scholar] [CrossRef] [PubMed]
- Nybakken, T.; Falco, C. Activity Level and Nature of Practice and Play in Children’s Football. Int. J. Environ. Res. Public Health 2022, 19, 4598. [Google Scholar] [CrossRef] [PubMed]
- Emirzeoǧlu, M.; Ülger, Ö. The Acute Effects of Cognitive-Based Neuromuscular Training and Game-Based Training on the Dynamic Balance and Speed Performance of Healthy Young Soccer Players: A Randomized Controlled Trial. Games Health J. 2021, 10, 121–129. [Google Scholar] [CrossRef]
- Kunz, P.; Engel, F.A.; Holmberg, H.-C.; Sperlich, B. A Meta-Comparison of the Effects of High-Intensity Interval Training to Those of Small-Sided Games and Other Training Protocols on Parameters Related to the Physiology and Performance of Youth Soccer Players. Sports Med. Open 2019, 5, 7. [Google Scholar] [CrossRef]
- Richard, V.; Cairney, J.; Woods, C.T. Holding open spaces to explore beyond: Toward a different conceptualization of specialization in high-performance sport. Front. Psychol. 2023, 14, 1089264. [Google Scholar] [CrossRef]
- Birrento Aguiar, R.A.; Giménez Egido, J.M.; Palao Andrés, J.M.; Ortega-Toro, E. Influence of Rule Manipulation on Technical–Tactical Actions in Young Basketball Players: A Scoping Review. Children 2023, 10, 323. [Google Scholar] [CrossRef] [PubMed]
- Rudd, J.R.; Pesce, C.; Strafford, B.W.; Davids, K. Physical Literacy—A Journey of Individual Enrichment: An Ecological Dynamics Rationale for Enhancing Performance and Physical Activity in All. Front. Psychol. 2020, 11, 1904. [Google Scholar] [CrossRef]
- Mandroukas, A.; Metaxas, T.I.; Michailidis, Y.; Christoulas, K.; Heller, J. Effects of soccer training in muscular strength: A comparative study in trained youth soccer players and untrained boys of the same biological age. J. Sports Med. Phys. Fit. 2022, 61, 1469–1477. [Google Scholar] [CrossRef]
- McKinlay, B.J.; Wallace, P.; Dotan, R.; Long, D.; Tokuno, C.; Gabriel, D.A.; Falk, B. Effects of plyometric and resistance training on muscle strength, explosiveness, and neuromuscular function in young adolescent soccer players. J. Strength Cond. Res. 2018, 32, 3039–3050. [Google Scholar] [CrossRef]
- Clemente, F.; Praça, G.M.; Aquino, R.; Castillo, D.; Raya-González, J.; Rico-González, M.; Afonso, J.; Sarmento, H.; Silva, A.F.; Silva, R.; et al. Effects of pitch size on soccer players’ physiological, physical, technical, and tactical responses during small-sided games: A meta-analytical comparison. Biol. Sport 2023, 40, 111–147. [Google Scholar] [CrossRef] [PubMed]
- Raiola, G.; D’isanto, T.; Di Domenico, F.; D’elia, F. Effect of Teaching Methods on Motor Efficiency, Perceptions and Awareness in Children. Int. J. Environ. Res. Public Health 2022, 19, 10287. [Google Scholar] [CrossRef] [PubMed]
- Altavilla, G.; Di Tore, P.A.; Raiola, G.; D’Isanto, T. Physical activity and evolutionary change of motor skills in scholar age. Acta Kinesiol. 2017, 11, 7–11. [Google Scholar]



| Group | Warm-Up (15 min) | Technical Drills Training (20 min) | Motor Performance Abilities Training (20 min) | Tactical and Situational Abilities (25 min) |
|---|---|---|---|---|
| DEA Tasks | Movement exploration and technical skills development in autonomy; guided discovery of movements | Functional technical skills development alternating with small-sided games (2 vs. 2, 3 vs. 3, 4 vs. 4, 5 vs. 5) | Traditional games adapted to soccer or pre-sport games, high-intensity point games, invasion or territorial-like games, and decision-making games | Small-sided games and games planned for the age category, 9 vs. 9 (2 × 12 min) |
| DEA load | Proposed exploration tasks with a 1:0.5 ratio (W:R) | Ratio 1:0.5 (W:R) | Ratio 1:0.5 (W:R) | 2 × 12 min, R: 3 min |
| TTG tasks | Analytical and technical skills development and activation with motor pathways | Analytical and technical skills were developed in individuals, pairs, and stations, such as squares, rhombuses, and pentagons. | Speed drills, quickness of feet with or without tools, balance tasks, joint stability tasks in pairs or play/fun form, multi-jump, etc. | Small-sided games and games planned for the age category, 9 vs. 9 (2 × 12 min) |
| TTG load | 3 × 15 reps for every exercise: 6 analytical exercises | 3 × 15 reps for every exercise: 6–8 analytical exercises, ratio 1:0.5 (W:R) | 3 × 8 reps for every exercise: 8–10 analytical exercises, ratio 1:0.5 (W:R) | 2 × 12 min, R: 3 min |
| Variables, Mean (SD), Total (n = 27) | Total (n = 27) | Traditional Training (n = 14) | Dynamic-Ecological Approach (n = 13) | p a |
|---|---|---|---|---|
| Age in years | 12.3 (0.5) | 12.3 (0.5) | 12.3 (0.5) | 0.927 |
| Weight (kg) | 45.8 (6.7) | 46.8 (7.5) | 44.7 (5.9) | 0.685 |
| Height (cm) | 145.2 (3.8) | 144.9 (5.2) | 145.5 (1.6) | 0.611 |
| Training experience | 6.2 (0.9) | 6.2 (1.1) | 6.3 (0.7) | 0.544 |
| BMI (kg·m−2) | 15.8 (2.1) | 16.1 (2.2) | 15.3 (2.0) | 0.65 |
| Variable | Traditional Training (n = 14) | Dynamic–Ecological Approach (n = 13) | |||
|---|---|---|---|---|---|
| Pre-Test (Mean ± SD) | Post-Test (Mean ± SD) | Pre-Test (Mean ± SD) | Post-Test (Mean ± SD) | Effect Size r | |
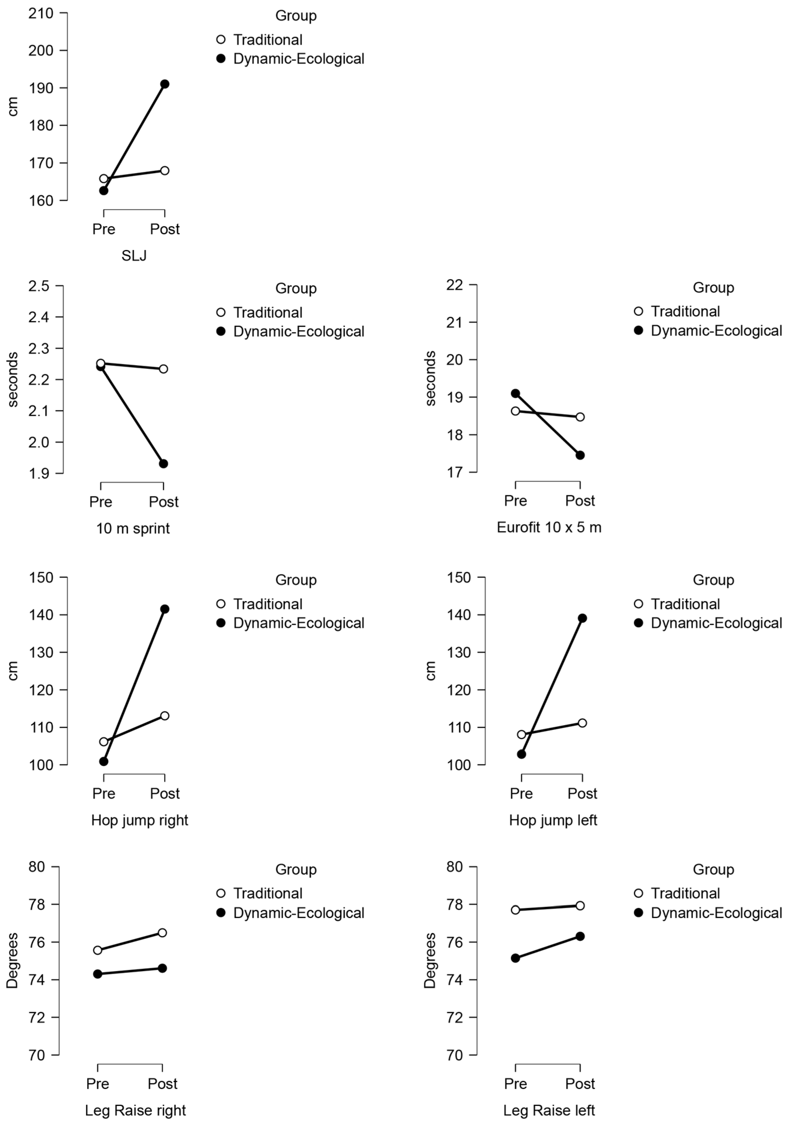
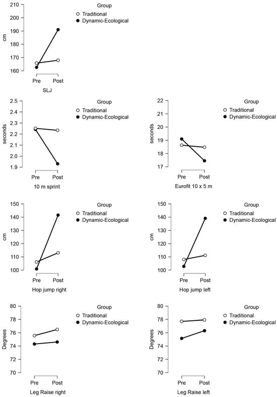
| SLJ (cm) | 165.8 ± 5.19 | 166.5 ± 5.9 | 162.6 ± 4.7 | 191.0 ± 6.6 * | 0.85 |
| 10 m sprint (s) | 2.25 ± 0.9 | 2.2 ± 0.1 | 2.2 ± 0.6 | 1.9 ± 0.1 * | 0.85 |
| 10 × 5 shuttle run (s) | 18.63 ± 0.6 | 18.4 ± 01.7 | 19.1 ± 0.2 | 17.5 ± 0.4 * | 0.71 |
| Hop left leg (cm) | 108.0 ± 8.6 | 111.7 ± 9.8 | 102.8 ± 4.6 | 139.1 ± 15.0 * | 0.76 |
| Hop right leg (cm) | 106.1 ± 9.5 | 109.6 ± 6.1 | 100.9 ± 4.6 | 141.5 ± 9.2 * | 0.83 |
| Leg raise left (deg) | 77.7 ± 3.4 | 77.7 ± 2.8 | 75.2 ± 3.5 | 76.3 ± 2.8 | 0.32 |
| Leg raise right (deg) | 75.5 ± 3.8 | 76.1 ± 3.1 | 74.3 ± 3.3 | 74.6 ± 2.7 | 0.34 |
Disclaimer/Publisher’s Note: The statements, opinions and data contained in all publications are solely those of the individual author(s) and contributor(s) and not of MDPI and/or the editor(s). MDPI and/or the editor(s) disclaim responsibility for any injury to people or property resulting from any ideas, methods, instructions or products referred to in the content. |
© 2024 by the authors. Licensee MDPI, Basel, Switzerland. This article is an open access article distributed under the terms and conditions of the Creative Commons Attribution (CC BY) license (https://creativecommons.org/licenses/by/4.0/).
Share and Cite
Sannicandro, I.; Agostino, S.; Abate Daga, M.; Veglio, F.; Abate Daga, F. Developing the Physical Performance in Youth Soccer: Short-Term Effect of Dynamic–Ecological versus Traditional Training Approach for Sub-Elite U13 Players—An Ecological Exploratory Cluster Randomised Trial. J. Funct. Morphol. Kinesiol. 2024, 9, 83. https://doi.org/10.3390/jfmk9020083
Sannicandro I, Agostino S, Abate Daga M, Veglio F, Abate Daga F. Developing the Physical Performance in Youth Soccer: Short-Term Effect of Dynamic–Ecological versus Traditional Training Approach for Sub-Elite U13 Players—An Ecological Exploratory Cluster Randomised Trial. Journal of Functional Morphology and Kinesiology. 2024; 9(2):83. https://doi.org/10.3390/jfmk9020083
Chicago/Turabian StyleSannicandro, Italo, Samuel Agostino, Massimiliano Abate Daga, Franco Veglio, and Federico Abate Daga. 2024. "Developing the Physical Performance in Youth Soccer: Short-Term Effect of Dynamic–Ecological versus Traditional Training Approach for Sub-Elite U13 Players—An Ecological Exploratory Cluster Randomised Trial" Journal of Functional Morphology and Kinesiology 9, no. 2: 83. https://doi.org/10.3390/jfmk9020083
APA StyleSannicandro, I., Agostino, S., Abate Daga, M., Veglio, F., & Abate Daga, F. (2024). Developing the Physical Performance in Youth Soccer: Short-Term Effect of Dynamic–Ecological versus Traditional Training Approach for Sub-Elite U13 Players—An Ecological Exploratory Cluster Randomised Trial. Journal of Functional Morphology and Kinesiology, 9(2), 83. https://doi.org/10.3390/jfmk9020083

