Influence of an Exercise-Specific Face Mask on Physiological and Perceptual Responses to Graded Exercise
Abstract
1. Introduction
2. Materials and Methods
2.1. Participants
2.2. Design Overview
2.3. Measures
2.4. Data Preparation
2.5. Statistical Analysis
3. Results
3.1. Descriptives
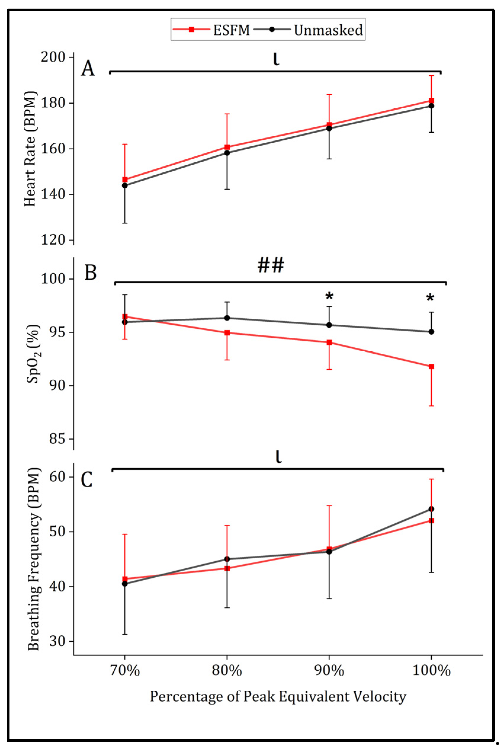
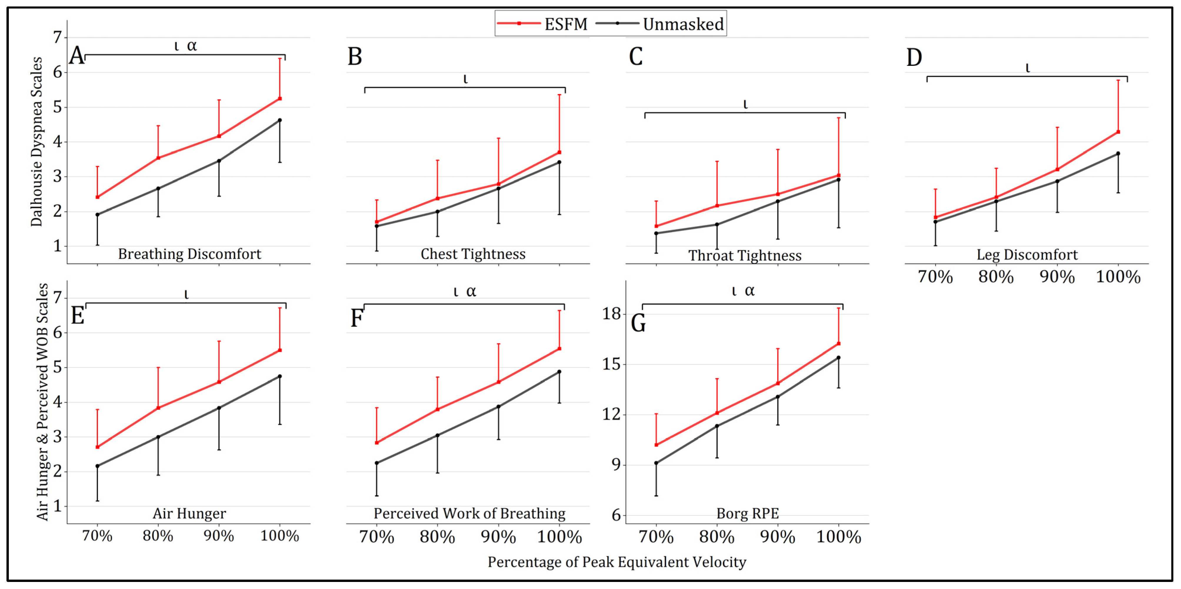
3.2. Submaximal Physiological and Perceptual Responses
3.3. Maximal Physiological and Perceptual Responses
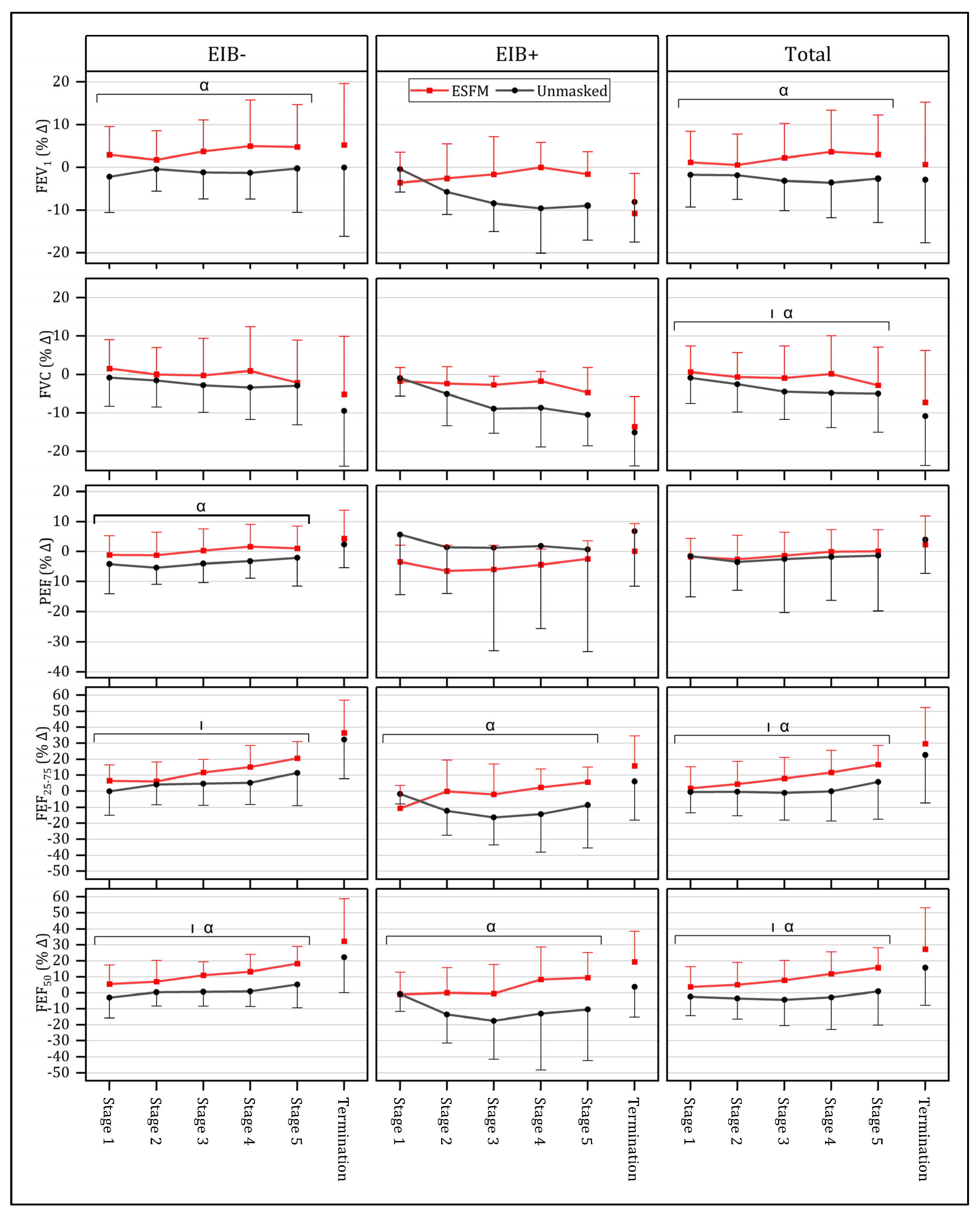
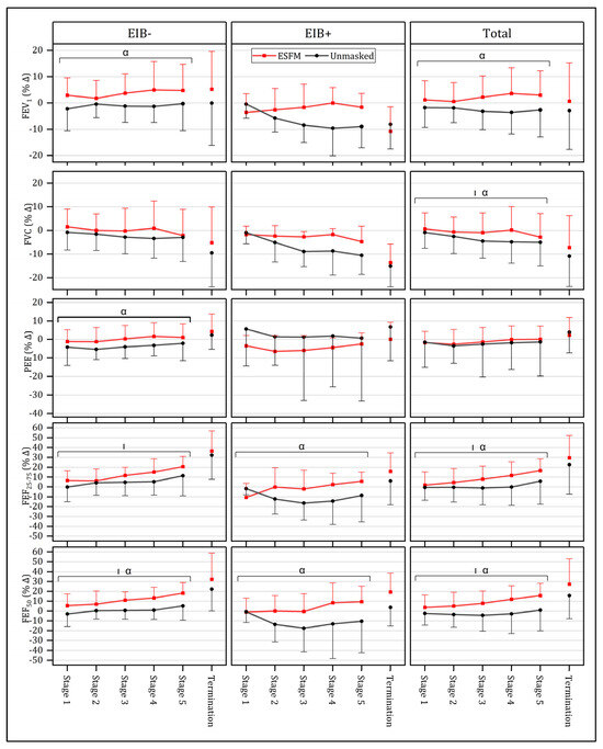
3.4. Respiratory Responses
3.5. Exercise Performance
4. Discussion
4.1. Physiological Impact
4.2. Perceptual Impact
4.3. Respiratory Impact
4.4. Performance Impact
4.5. Limitations
5. Conclusions
Author Contributions
Funding
Institutional Review Board Statement
Informed Consent Statement
Data Availability Statement
Acknowledgments
Conflicts of Interest
References
- Prado, D.M.L.D.; Silvino, V.O.; Motta-Santos, D.; dos Santos, M.A.P. The effect of the protective face mask on cardiorespiratory response during aerobic exercise. Clin. Exp. Pharmacol. Physiol. 2022, 49, 453–461. [Google Scholar] [CrossRef]
- Zheng, C.; Poon, E.T.-C.; Wan, K.; Dai, Z.; Wong, S.H.-S. Effects of Wearing a Mask During Exercise on Physiological and Psychological Outcomes in Healthy Individuals: A Systematic Review and Meta-Analysis. Sports Med. 2022, 53, 125–150. [Google Scholar] [CrossRef] [PubMed]
- Rojo-Tirado, M.A.; Benítez-Muñoz, J.A.; Alcocer-Ayuga, M.; Alfaro-Magallanes, V.M.; Romero-Parra, N.; Peinado, A.B.; Rael, B.; Castro, E.A.; Benito, P.J. Effect of Different Types of Face Masks on the Ventilatory and Cardiovascular Response to Maximal-Intensity Exercise. Biology 2021, 10, 969. [Google Scholar] [CrossRef] [PubMed]
- Egger, F.; Blumenauer, D.; Fischer, P.; Venhorst, A.; Kulenthiran, S.; Bewarder, Y.; Zimmer, A.; Böhm, M.; Meyer, T.; Mahfoud, F. Effects of face masks on performance and cardiorespiratory response in well-trained athletes. Clin. Res. Cardiol. 2021, 111, 264–271. [Google Scholar] [CrossRef] [PubMed]
- Fikenzer, S.; Uhe, T.; Lavall, D.; Rudolph, U.; Falz, R.; Busse, M.; Hepp, P.; Laufs, U. Effects of surgical and FFP2/N95 face masks on cardiopulmonary exercise capacity. Clin. Res. Cardiol. 2020, 109, 1522–1530. [Google Scholar] [CrossRef] [PubMed]
- Hopkins, S.R.; Dominelli, P.B.; Davis, C.K.; Guenette, J.A.; Luks, A.M.; Molgat-Seon, Y.; Sá, R.C.; Sheel, A.W.; Swenson, E.R.; Stickland, M.K. Face Masks and the Cardiorespiratory Response to Physical Activity in Health and Disease. Ann. Am. Thorac. Soc. 2021, 18, 399–407. [Google Scholar] [CrossRef]
- Scheid, J.L.; Edwards, C.; Seils, M.; West, S.L. Perceived Exertion during Moderate and Vigorous Physical Activity While Mask Wearing: A Quantitative and Qualitative Pilot Study. Int. J. Environ. Res. Public Health 2022, 19, 5698. [Google Scholar] [CrossRef]
- Fukushi, I.; Nakamura, M.; Kuwana, S.-I. Effects of wearing facemasks on the sensation of exertional dyspnea and exercise capacity in healthy subjects. PLoS ONE 2021, 16, e0258104. [Google Scholar] [CrossRef]
- Guenette, J.; Sheel, A. Physiological consequences of a high work of breathing during heavy exercise in humans. J. Sci. Med. Sport 2007, 10, 341–350. [Google Scholar] [CrossRef]
- Outdoor Research. Adrenaline Sports Face Mask Kit. 2021. Available online: https://www.outdoorresearch.com/ca/adrenaline-sports-face-mask-kit-285932 (accessed on 25 January 2024).
- Yoshihara, A.; Dierickx, E.E.; Brewer, G.J.; Sekiguchi, Y.; Stearns, R.L.; Casa, D.J. Effects of Face Mask Use on Objective and Subjective Measures of Thermoregulation During Exercise in the Heat. Sports Heal. A Multidiscip. Approach 2021, 13, 463–470. [Google Scholar] [CrossRef] [PubMed]
- Jackson, A.R.; Hull, J.; Hopker, J.G.; Fletcher, H.; Gowers, W.; Birring, S.S.; Dickinson, J.W. The impact of a heat and moisture exchange mask on respiratory symptoms and airway response to exercise in asthma. ERJ Open Res. 2020, 6, 00271–02019. [Google Scholar] [CrossRef]
- Frischhut, C.; Kennedy, M.D.; Niedermeier, M.; Faulhaber, M. Effects of a heat and moisture exchanger on respiratory function and symptoms post–cold air exercise. Scand. J. Med. Sci. Sports 2020, 30, 591–601. [Google Scholar] [CrossRef] [PubMed]
- Anderson, S.D.; Daviskas, E. The mechanism of exercise-induced asthma is…. J. Allergy Clin. Immunol. 2000, 106, 453–459. [Google Scholar] [CrossRef] [PubMed]
- Brenner, A.M.; Weiser, P.C.; Krogh, L.A.; Loren, M.L. Effectiveness of a Portable Face Mask in Attenuating Exercise-Induced Asthma. JAMA 1980, 244, 2196–2198. [Google Scholar] [CrossRef] [PubMed]
- Millqvist, E.; Bake, B.; Bengtsson, U.; Löwhagen, O. Prevention of asthma induced by cold air by cellulose-fabric face mask. Allergy 1995, 50, 221–224. [Google Scholar] [CrossRef]
- Rundell, K.W.; Spiering, B.A.; Judelson, D.A.; Wilson, M.H. Bronchoconstriction during Cross-Country Skiing: Is There Really a Refractory Period? Med. Sci. Sport Exerc. 2003, 35, 18–26. [Google Scholar] [CrossRef]
- Van Leeuwen, J.C.; Driessen, J.M.; De Jongh, F.H.; Van Aalderen, W.M.; Thio, B.J. Monitoring pulmonary function during exercise in children with asthma. Arch. Dis. Child. 2011, 96, 664–668. [Google Scholar] [CrossRef]
- Shaw, K.A.; Zello, G.A.; Butcher, S.J.; Ko, J.B.; Bertrand, L.; Chilibeck, P.D. The impact of face masks on performance and physiological outcomes during exercise: A systematic review and meta-analysis. Appl. Physiol. Nutr. Metab. 2021, 46, 693–703. [Google Scholar] [CrossRef]
- Parsons, J.P.; Mastronarde, J.G. Exercise-Induced Bronchoconstriction in Athletes. Chest 2005, 128, 3966–3974. [Google Scholar] [CrossRef]
- Canadian Society for Exercise Physiology. Get Active Questionnaire; Canadian Society for Exercise Physiology: Ottawa, ON, Canada, 2017. [Google Scholar]
- ASTM F3502-23a; Standard Specification for Barrier Face Coverings. ASTM International: West Conshohocken, PA, USA, 2023.
- Peterson, J.A.; Tharrett, S.J. ACSM’s Health/Fitness Facility Standards and Guidelines, 4th ed.; Human Kinetics: Champaign, IL, USA, 2012. [Google Scholar]
- Rundell, K.; Sue-Chu, M. Field and laboratory exercise challenges for identifying exercise-induced bronchoconstriction. Breathe 2010, 7, 34–42. [Google Scholar] [CrossRef]
- Pianosi, P.; Smith, C.P.; Almudevar, A.; McGrath, P.J. Dalhousie dyspnea scales: Pictorial scales to measure dyspnea during induced bronchoconstriction. Pediatr. Pulmonol. 2006, 41, 1182–1187. [Google Scholar] [CrossRef]
- Lansing, R.W.; Im, B.S.-H.; Thwing, J.I.; Legedza, A.T.R.; Banzett, R.B. The Perception of Respiratory Work and Effort Can Be Independent of the Perception of Air Hunger. Am. J. Respir. Crit. Care Med. 2000, 162, 1690–1696. [Google Scholar] [CrossRef]
- Borg, G. Borg’s Perceived Exertion and Pain Scales; Human Kinetics: Champaign, IL, USA, 1998. [Google Scholar]
- Graham, B.L.; Steenbruggen, I.; Miller, M.R.; Barjaktarevic, I.Z.; Cooper, B.G.; Hall, G.L.; Hallstrand, T.S.; Kaminsky, D.A.; McCarthy, K.; McCormack, M.C.; et al. Standardization of Spirometry 2019 Update. An Official American Thoracic Society and European Respiratory Society Technical Statement. Am. J. Respir. Crit. Care Med. 2019, 200, e70–e88. [Google Scholar] [CrossRef]
- Parsons, J.P.; Hallstrand, T.S.; Mastronarde, J.G.; Kaminsky, D.A.; Rundell, K.W.; Hull, J.H.; Storms, W.W.; Weiler, J.M.; Cheek, F.M.; Wilson, K.C.; et al. An Official American Thoracic Society Clinical Practice Guideline: Exercise-induced Bronchoconstriction. Am. J. Respir. Crit. Care Med. 2013, 187, 1016–1027. [Google Scholar] [CrossRef]
- Quanjer, P.H.; Stanojevic, S.; Cole, T.J.; Baur, X.; Hall, G.L.; Culver, B.H.; Enright, P.L.; Hankinson, J.L.; Ip, M.S.M.; Zheng, J.; et al. Multi-ethnic reference values for spirometry for the 3–95-yr age range: The global lung function 2012 equations. Eur. Respir. J. 2012, 40, 1324–1343. [Google Scholar] [CrossRef]
- Ainegren, M.; Jensen, K.; Rosdahl, H. Breathing resistance in metabolic systems: Its effects on pulmonary ventilation and oxygen uptake in elite athletes with high aerobic power. Proc. Inst. Mech. Eng. Part P J. Sports Eng. Technol. 2020, 234, 217–226. [Google Scholar] [CrossRef]
- Marek, E.-M.; van Kampen, V.; Jettkant, B.; Kendzia, B.; Strauß, B.; Sucker, K.; Ulbrich, M.; Deckert, A.; Berresheim, H.; Eisenhawer, C.; et al. Effects of wearing different face masks on cardiopulmonary performance at rest and exercise in a partially double-blinded randomized cross-over study. Sci. Rep. 2023, 13, 6950. [Google Scholar] [CrossRef] [PubMed]
- Constantini, K.; Tanner, D.A.; Gavin, T.P.; Harms, C.A.; Stager, J.M.; Chapman, R.F. Prevalence of Exercise-Induced Arterial Hypoxemia in Distance Runners at Sea Level. Med. Sci. Sports Exerc. 2017, 49, 948–954. [Google Scholar] [CrossRef]
- Ade, C.J.; Turpin, V.R.G.; Parr, S.K.; Hammond, S.T.; White, Z.; Weber, R.E.; Schulze, K.M.; Colburn, T.D.; Poole, D.C. Does wearing a facemask decrease arterial blood oxygenation and impair exercise tolerance? Respir. Physiol. Neurobiol. 2021, 294, 103765. [Google Scholar] [CrossRef] [PubMed]
- Dempsey, J.A.; Wagner, P.D.; Buchan, T.A.; Wright, S.P.; Esfandiari, S.; Fuchs, F.C.; Gray, T.; Currie, K.D.; Sasson, S.; Sasson, Z.; et al. Exercise-induced arterial hypoxemia. J. Appl. Physiol. 1999, 87, 1997–2006. [Google Scholar] [CrossRef] [PubMed]
- Boldrini, L.; Danelon, F.; Fusetti, D.; Lucenteforte, G.; Roi, G.S. Wearing surgical masks does not affect heart rate and blood lactate accumulation during cycle ergometer exercise. J. Sports Med. Phys. Fit. 2020, 60, 1510–1511. [Google Scholar] [CrossRef] [PubMed]
- Banzett, R.B.; Lansing, R.W.; Binks, A.P. Air Hunger: A Primal Sensation and a Primary Element of Dyspnea. Compr. Physiol. 2021, 11, 1449–1483. [Google Scholar] [PubMed]
- Dominelli, P.B.; Archiza, B.; Ramsook, A.H.; Mitchell, R.A.; Peters, C.M.; Molgat-Seon, Y.; Henderson, W.R.; Koehle, M.S.; Boushel, R.; Sheel, A.W. Effects of respiratory muscle work on respiratory and locomotor blood flow during exercise. Exp. Physiol. 2017, 102, 1535–1547. [Google Scholar] [CrossRef] [PubMed]
- Moy, M.L.; Weiss, J.W.; Sparrow, D.; Israel, E.; Schwartzstein, R.M. Quality of Dyspnea in Bronchoconstriction Differs from External Resistive Loads. Am. J. Respir. Crit. Care Med. 2000, 162, 451–455. [Google Scholar] [CrossRef]
- Gotshall, R.W. Airway Response during Exercise and Hyperpnoea in Non-Asthmatic and Asthmatic Individuals. Sports Med. 2006, 36, 513–527. [Google Scholar] [CrossRef]
- Knox-Brown, B.; Mulhern, O.; Feary, J.; Amaral, A.F.S. Spirometry parameters used to define small airways obstruction in population-based studies: Systematic review. Respir. Res. 2022, 23, 67. [Google Scholar] [CrossRef]
- McFadden, E.R., Jr.; Pichurko, B.M.; Bowman, H.F.; Ingenito, E.; Burns, S.; Dowling, N.; Solway, J. Thermal mapping of the airways in humans. J. Appl. Physiol. 1985, 58, 564–570. [Google Scholar] [CrossRef]
- Anderson, S.; Kippelen, P. Stimulus and mechanisms of exercise-induced bronchoconstriction. Breathe 2010, 7, 25–33. [Google Scholar] [CrossRef]
- Dickinson, J.; Amirav, I.; Hostrup, M. Nonpharmacologic Strategies to Manage Exercise-Induced Bronchoconstriction. Immunol. Allergy Clin. N. Am. 2018, 38, 245–258. [Google Scholar] [CrossRef]
- Eschenbacher, W.L.; Moore, T.B.; Lorenzen, T.J.; Weg, J.G.; Gross, K.B. Pulmonary responses of asthmatic and normal subjects to different temperature and humidity conditions in an environmental chamber. Lung 1992, 170, 51–62. [Google Scholar] [CrossRef]
- Karjalainen, E.-M.; Laitinen, A.; Sue-Chu, M.; Altraja, A.; Bjermer, L.; Laitinen, L.A. Evidence of Airway Inflammation and Remodeling in Ski Athletes with and without Bronchial Hyperresponsiveness to Methacholine. Am. J. Respir. Crit. Care Med. 2000, 161, 2086–2091. [Google Scholar] [CrossRef] [PubMed]
- Marcora, S.M. Do we really need a central governor to explain brain regulation of exercise performance? Eur. J. Appl. Physiol. 2008, 104, 929–931. [Google Scholar] [CrossRef] [PubMed]
- Dempsey, J.A.; La Gerche, A.; Hull, J.H. Is the healthy respiratory system built just right, overbuilt, or underbuilt to meet the demands imposed by exercise? J. Appl. Physiol. 2020, 129, 1235–1256. [Google Scholar] [CrossRef] [PubMed]




| Sex | EIB Status | |||||
|---|---|---|---|---|---|---|
| Female (n = 11) | Male (n = 13) * | EIB+ (n = 6) | EIB- (n = 17) | Total (n = 24) ** | ||
| Mean (SD) | Mean (SD) | Mean (SD) | Mean (SD) | Mean (SD) | ||
| Age (Years) | 26 (7) | 29 (8) | 27 (7) | 28 (8) | 28 (8) | |
| Height (cm) | 167 (7) | 188 (7) | 186 (12) | 175 (12) | 178 (13) | |
| Weight (kg) | 62.4 (6.0) | 81.5 (8.2) | 73.6 (10.9) | 69.9 (11.4) | 71.9 (12.1) | |
| BMI (AU) | 22.5 (2.8) | 23.0 (1.9) | 21.3 (0.9) | 23.0 (2.4) | 22.8 (2.4) | |
| Years of Competitive Endurance Sport | 9 (6) | 15 (7) | 15 (5) | 10 (8) | 12 (7) | |
| Unmasked | FeNO (PPB) | 14 (5) | 63 (54) | 74 (72) | 27 (25) | 40 (46) |
| Post-exercise FEV1 Nadir (% Δ) | −1.2 (7.3) | −5.8 (7.7) | −11.6 (9.8) | −0.8 (4.4) | −3.6 (7.7) | |
| FEV1 (L) % pred | 3.42 (0.58) 99 (13) | 5.11 (0.94) 100 (14) | 4.78 (1.43) 97 (13) | 4.14 (1.05) 101 (14) | 4.30 (1.16) 100 (13) | |
| FVC (L) % pred | 4.32 (0.66) 108 (14) | 6.99 (1.68) 112 (25) | 6.38 (1.94) 107 (19) | 5.48 (1.84) 111 (21) | 5.71 (1.86) 110 (20) | |
| PEF (L/s) | 7.16 (0.74) | 9.92 (1.6) | 9.23 (2.23) | 8.38 (1.75) | 8.60 (1.87) | |
| FEF25–75 (L/s) % pred | 3.41 (0.86) 87 (18) | 4.35 (1.18) 86 (18) | 4.70 (1.41) 94 (19) | 3.62 (0.89) 83 (17) | 3.90 (1.12) 86 (18) | |
| FEF50 (L/s) | 4.22 (1.20) | 4.95 (1.19) | 5.35 (1.37) | 4.34 (1.09) | 4.60 (1.23) | |
| FEV1/FVC (%) % pred | 79.6 (9.8) 92 (10) | 74.3 (7.7) 90 (9) | 76.3 (12.9) 91 (14) | 77.0 (7.7) 91 (8) | 76.8 (9.0) 91 (10) | |
| ESFM | FeNO (PPB) | 15 (7) | 52 (41) | 58 (55) | 26 (20) | 34 (35) |
| Post-exercise FEV1 Nadir (% Δ) | −0.6 (9.4) | −4.6 (9.4) | −14.5 (5.9) | +1.5 (6.3) | −2.7 (9.4) | |
| FEV1 (L) % pred | 3.46 (0.60) 100 (13) | 5.06 (1.08) 99 (16) | 5.11 (1.62) 104 (19) | 4.00 (0.88) 98 (13) | 4.29 (1.19) 100 (14) | |
| FVC (L) % pred | 4.32 (0.70) 108 (16) | 6.86 (1.49) 110 (20) | 6.47 (2.23) 108 (23) | 5.35 (1.50) 109 (16) | 5.64 (1.73) 109 (18) | |
| PEF (L/s) | 7.23 (0.98) | 9.92 (1.63) | 9.90 (2.34) | 8.19 (1.58) | 8.63 (1.91) | |
| FEF25–75 (L/s) % pred | 3.27 (0.90) 84 (20) | 4.32 (1.57) 85 (25) | 5.04 (1.97) 100 (28) | 3.39 (0.80) 79 (18) | 3.82 (1.38) 84 (22) | |
| FEF50 (L/s) | 3.80 (1.17) | 4.86 (1.54) | 5.36 (1.99) | 4.00 (1.06) | 4.36 (1.45) | |
| FEV1/FVC (%) % pred | 80.0 (7.5) 93 (8) | 74.5 (8.0) 90 (9) | 80.4 (9.3) 96 (9) | 76.0 (7.6) 90 (8) | 77.1 (8.1) 92 (9) | |
| Cohen’s d Effect Sizes for Unmasked vs. ESFM | d | d | d | d | d | |
| FeNO (PPB) | 0.164 | 0.229 | 0.2497 | 0.044 | 0.146 | |
| Post-exercise FEV1 Nadir (% Δ) | 0.071 | 0.139 | 0.358 | 0.423 | 0.104 | |
| FEV1 (L) | 0.067 | 0.049 | 0.215 | 0.144 | 0.008 | |
| FVC (L) | 0.029 | 0.081 | 0.043 | 0.077 | 0.038 | |
| PEF (L/s) | 0.080 | 0.000 | 0.293 | 0.113 | 0.015 | |
| FEF25–75 (L/s) | 0.159 | 0.022 | 0.198 | 0.271 | 0.063 | |
| FEF50 (L/s) | 0.354 | 0.065 | 0.005 | 0.316 | 0.178 | |
| FEV1/FVC (%) | 0.045 | 0.025 | 0.364 | 0.131 | 0.035 | |
| ESFM | Unmasked | Mean Difference | |||||
|---|---|---|---|---|---|---|---|
| n | Mean (SD) | Median | Mean (SD) | Median | (ESFM-CON) | Test p | |
| Air Hunger (1–7) | 24 | 6.5 (0.8) | 7.0 | 6.0 (1.0) | 6.0 | +0.5 | Sign 0.006 * |
| Perceived Work of Breathing (1–7) | 24 | 6.5 (0.7) | 7.0 | 6.0 (0.93) | 6.0 | +0.5 | Sign 0.003 * |
| Breathing Discomfort (1–7) | 24 | 6.2 (1.0) | 6.0 | 6.1 (1.0) | 6.0 | +0.1 | Wilcoxon 0.527 |
| Chest Tightness (1–7) | 24 | 4.3 (1.6) | 4.5 | 4.4 (1.7) | 4.5 | −0.1 | Wilcoxon 0.572 |
| Throat Tightness (1–7) | 24 | 3.8 (2.2) | 3.0 | 4.0 (1.7) | 4.0 | −0.1 | Wilcoxon 0.730 |
| Leg Discomfort (1–7) | 24 | 5.0 (1.5) | 5.5 | 5.1 (1.6) | 5.0 | 0.0 | Sign 1.000 |
| Borg RPE (6–20) | 24 | 18.8 (1.2) | 19.0 | 18.4 (1.7) | 19.0 | +0.3 | Wilcoxon 0.393 |
| Session RPE (0–10) | 24 | 6.5 (2.0) | 7.0 | 6.6 (1.7) | 7.0 | −0.1 | Wilcoxon 0.799 |
| Heart Rate (BPM) | 24 | 184.9 (10.0) | 185 | 185.7 (12.2) | 183 | −0.8 | t-Test 0.510 |
| Breathing Frequency (Breaths/min) | 22 | 61.1 (9.5) | 61 | 63.1 (9.8) | 63 | −1.9 | t-Test 0.333 |
| SpO2 (%) | 19 | 89.7 (5.1) | 91 | 93.4 (3.9) | 94 | −3.7 | t-Test 0.003 * |
Disclaimer/Publisher’s Note: The statements, opinions and data contained in all publications are solely those of the individual author(s) and contributor(s) and not of MDPI and/or the editor(s). MDPI and/or the editor(s) disclaim responsibility for any injury to people or property resulting from any ideas, methods, instructions or products referred to in the content. |
© 2024 by the authors. Licensee MDPI, Basel, Switzerland. This article is an open access article distributed under the terms and conditions of the Creative Commons Attribution (CC BY) license (https://creativecommons.org/licenses/by/4.0/).
Share and Cite
Comeau, A.K.; Jones, K.E.; Parent, E.C.; Kennedy, M.D. Influence of an Exercise-Specific Face Mask on Physiological and Perceptual Responses to Graded Exercise. J. Funct. Morphol. Kinesiol. 2024, 9, 48. https://doi.org/10.3390/jfmk9010048
Comeau AK, Jones KE, Parent EC, Kennedy MD. Influence of an Exercise-Specific Face Mask on Physiological and Perceptual Responses to Graded Exercise. Journal of Functional Morphology and Kinesiology. 2024; 9(1):48. https://doi.org/10.3390/jfmk9010048
Chicago/Turabian StyleComeau, Aidan K., Kelvin E. Jones, Eric C. Parent, and Michael D. Kennedy. 2024. "Influence of an Exercise-Specific Face Mask on Physiological and Perceptual Responses to Graded Exercise" Journal of Functional Morphology and Kinesiology 9, no. 1: 48. https://doi.org/10.3390/jfmk9010048
APA StyleComeau, A. K., Jones, K. E., Parent, E. C., & Kennedy, M. D. (2024). Influence of an Exercise-Specific Face Mask on Physiological and Perceptual Responses to Graded Exercise. Journal of Functional Morphology and Kinesiology, 9(1), 48. https://doi.org/10.3390/jfmk9010048

