Technology-Assisted Neuromotor Training for Improving Visuomotor Reaction Performance, Change-of-Direction Quickness, and Bilateral Task Execution in Junior Handball Players
Abstract
1. Introduction
2. Materials and Methods
2.1. Participants
2.2. Ethics and Data Protection
2.3. Equipment and Tests
- -
- Focus Reactions Test—reaction time, decision-making, cortical activity (neuronal firing).
- -
- Fast Feet Test—decision-making, reaction speed, neuronal activity.
- -
- Clap Challenge Test—hand–eye coordination and reaction speed.
- -
- Agility T Test (AgilTT)—multidirectional acceleration and deceleration, change-of-direction (COD) performance, and movement quickness.
- -
- Anthropometry: height (cm) and body mass (kg) were measured with a Momert 5968 digital scale with a stadiometer (Momert Ltd., Subotica, Serbia); participants wore shoes and removed bulky clothing.
2.3.1. Focus Reactions Test
2.3.2. Fast Feet Test
2.3.3. Clap Challenge Test
2.3.4. Agility T Test
2.4. Training Protocol
2.5. Statistical Analysis
3. Results
- ✓
- Focus_Reactions decreased from M1 (M = 709.50, SD = 51.00) to M2 (M = 638.31, SD = 66.23), p = 0.002, d = −1.20, indicating faster responses.
- ✓
- AgilTT_ShuffleLeft completion time decreased from M1 (M = 4.06, SD = 1.00) to M2 (M = 3.39, SD = 0.23), p = 0.014, d = −0.90, reflecting improved agility.
3.1. Focus_Reactions Variable
3.2. Fast_Feet Variable
3.3. Clap_Challenge Variable
3.4. AgilTT_Overall (s) Variable
3.5. AgilTT_SprintBack (s) Variable
3.6. AgilTT_ShuffleRight_A (s) Variable
3.7. AgilTT_ShuffleLeft (s) Variable
3.8. AgilTT_ShuffleRight_B (s) Variable
3.9. AgilTT_SprintOut (s) Variable
4. Discussion
4.1. Limitations
4.2. Practical Implications for Coaches
4.3. Future Directions
5. Conclusions
Author Contributions
Funding
Institutional Review Board Statement
Informed Consent Statement
Data Availability Statement
Acknowledgments
Conflicts of Interest
Abbreviations
References
- Gaamouri, N.; Hammami, M.; Cherni, Y.; Oranchuk, D.J.; Bragazzi, N.; Knechtle, B.; Chelly, M.S.; van den Tillaar, R. The effects of upper and lower limb elastic band training on the change of direction, jump, power, strength and repeated sprint ability performance in adolescent female handball players. Front. Sports Act. Living 2023, 5, 1021757. [Google Scholar] [CrossRef]
- Mancini, N.; Di Padova, M.; Polito, R.; Mancini, S.; Dipace, A.; Basta, A.; Colella, D.; Limone, P.; Messina, G.; Monda, M.; et al. The Impact of Perception–Action Training Devices on Quickness and Reaction Time in Female Volleyball Players. J. Funct. Morphol. Kinesiol. 2024, 9, 147. [Google Scholar] [CrossRef]
- Vlak, T.; Pivalica, D. Handball: The beauty or the beast. Croat. Med. J. 2004, 45, 526–530. [Google Scholar]
- Madou, K.H. Physical demands and physiological aspects in elite team handball in Germany and Switzerland: An analysis of the game. MOJ Sports Med. 2020, 4, 55–62. [Google Scholar] [CrossRef]
- Chepe, I.B. Development Models In Handball Players. Bull. Transilv. Univ. Brașov 2019, 12, 35–42. [Google Scholar] [CrossRef]
- Ingebrigtsen, J.; Jeffreys, I.; Rodahl, S. Physical characteristics and abilities of junior elite male and female handball players. J. Strength Cond. Res. 2013, 27, 302–309. [Google Scholar] [CrossRef]
- Ortega-Becerra, M.; Pareja-Blanco, F.; Jiménez-Reyes, P.; Cuadrado-Peñafiel, V.; González-Badillo, J.J. Determinant Factors of Physical Performance and Specific Throwing in Handball Players of Different Ages. J. Strength. Cond. Res. 2018, 32, 1778–1786. [Google Scholar] [CrossRef]
- Muntianu, V.A.; Abalașei, B.A.; Nichifor, F.; Dumitru, I.M. The Correlation between Psychological Characteristics and Psychomotor Abilities of Junior Handball Players. Children 2022, 9, 767. [Google Scholar] [CrossRef] [PubMed]
- Lage, G.M.; Gallo, L.G.; Cassiano, G.J.M.; Lobo, I.L.B.; Vieira, M.V.; Salgado, J.V.; Fuentes, D.; Malloy-Diniz, L.F. Correlations between impulsivity and technical performance in handball female athletes. Psychology 2011, 2, 721–726. [Google Scholar] [CrossRef]
- Petrariu, I.; Leuciuc, F.V. Selection Process for Romanian Children in Handball Based on Coordinative Abilities: A Questionnaire Survey. Int. J. Environ. Res. Public Health 2022, 19, 3672. [Google Scholar] [CrossRef] [PubMed]
- Postelnicu, M.G.; Mihăilă, I. Study on the improvement of coordinating capabilities at the level of handball teams junior III with the optimization of the technical-tactical potential. J. Phys. Educ. Sport 2018, 18, 2106–2111. [Google Scholar] [CrossRef]
- Popescu, F.; Porfireanu, M.C. Coordination—Ambidextrous—In Sports Games. J. Sport Kinet. Mov. 2016, II, 109. Available online: https://jskm.ro/images/pdfs/28/ (accessed on 15 January 2025).
- Albeanu, S.; Munteanu, R.; Calinescu Brabiescu, L.; Ghetu, R.; Burcea, B.; Fortan, C. Lower limbs asymmetries in the agility and explosive strength in male football players. Balt. J. Health Phys. Act. 2021, 13, 123–129. [Google Scholar] [CrossRef]
- Buenaventura Castillo, C.; Lynch, A.G.; Paracchini, S. Different laterality indexes are poorly correlated with one another but consistently show the tendency of males and females to be more left- and right-lateralized, respectively. R. Soc. Open Sci. 2020, 7, 191700. [Google Scholar] [CrossRef]
- Hiraoka, K.; Igawa, K.; Kashiwagi, M.; Nakahara, C.; Oshima, Y.; Takakura, Y. The laterality of stop and go processes of the motor response in left-handed and right-handed individuals. Laterality 2017, 23, 51–66. [Google Scholar] [CrossRef]
- Alizadeh, J.; Zaferanian, H.; Forghani Ozrud, M.B. The Concepts, Theories and Measurement Tools Handedness in Sports. Res. Investig. Sports Med. 2020, 4, RISM.000597. [Google Scholar] [CrossRef]
- Kathiravan, K.; Vijay, S. Effect of isolated and combined dextrality and sinistrality physical training on muscular strength among school handball players. Int. J. Physiol. Nutr. Phys. Educ. 2018, 3, 2241–2243. Available online: https://www.journalofsports.com/pdf/2018/vol3issue2/PartZ/5-2-134-448.pdf (accessed on 15 January 2026).
- Gaamouri, N.; Hammami, M.; Cherni, Y.; Oranchuk, D.J.; van den Tillaar, R.; Chelly, M.S. Rubber Band Training Improves Athletic Performance in Young Female Handball Players. J. Hum. Kinet. 2024, 92, 227–238. [Google Scholar] [CrossRef]
- Gaamouri, N.; Hammami, M.; Cherni, Y.; Rosemann, T.; Knechtle, B.; Chelly, M.S.; van den Tillaar, R. The effects of 10-week plyometric training program on athletic performance in youth female handball players. Front. Sports Act. Living 2023, 5, 1193026. [Google Scholar] [CrossRef]
- Hammami, M.; Bragazzi, N.L.; Hermassi, S.; Gaamouri, N.; Aouadi, R.; Shephard, R.J.; Chelly, M.S. The effect of a sand surface on physical performance responses of junior male handball players to plyometric training. BMC Sports Sci. Med. Rehabil. 2020, 12, 26. [Google Scholar] [CrossRef]
- Hammami, M.; Gaamouri, N.; Ramirez-Campillo, R.; Shephard, R.J.; Bragazzi, N.L.; Chelly, M.S.; Knechtle, B.; Gaied, S. Effects of high-intensity interval training and plyometric exercise on the physical fitness of junior male handball players. Eur. Rev. Med. Pharmacol. Sci. 2021, 25, 7380–7389. [Google Scholar] [CrossRef]
- de Villarreal, E.S.; Rascón, P.B.; Becerra, M.O.; Calleja-González, J.; Alcaraz, P.E.; Feito-Blanco, J.; Ramirez-Campillo, R. Effects of Sand Surface Plyometric and Sprint Training on Physical and Technical Skill Performance in Beach Handball Players. J. Hum. Kinet. 2023, 90, 227–237. [Google Scholar] [CrossRef]
- Anwer, U.; Nuhmani, S.; Sharma, S.; Bari, M.A.; Kachanathu, S.J.; Abualait, T.S. Efficacy of Speed, Agility and Quickness Training with and without Equipment on Athletic Performance Parameters—A Randomized Control Trial. Int. J. Hum. Mov. Sports Sci. 2021, 9, 194–202. [Google Scholar] [CrossRef]
- Horníková, H.; Jeleň, M.; Zemková, E. Determinants of Reactive Agility in Tests with Different Demands on Sensory and Motor Components in Handball Players. Appl. Sci. 2022, 11, 6531. [Google Scholar] [CrossRef]
- Adleman, N.E.; Chen, G.; Reynolds, R.C.; Frackman, A.; Razdan, V.; Weissman, D.H.; Pine, D.S.; Leibenluft, E. Age-related differences in the neural correlates of trial-to-trial variations of reaction time. Dev. Cogn. Neurosci. 2016, 19, 248–257. [Google Scholar] [CrossRef]
- Jami, S.; Irandoust, K. Improving Agility Performance Among Athletes by Jami Agility Table (JAT). Int. J. Sport Stud. Health 2022, 5, 128414. [Google Scholar] [CrossRef]
- Moroșanu Ștefan Grosu, V.T.; Răbîncă, S.M.; Grosu, E.F.; Hervás-Gómez, C.; Mancini, N.; Cristea, D.I.; Sabău, A.M.; Moreno-Alcaraz, V.J. Enhancing psychomotor skills in high school students using virtual reality. J. Phys. Educ. Sport 2024, 24, 1434–1440. [Google Scholar] [CrossRef]
- Georgescu, A.; Varzaru, C.; Rizescu, C. Improving Speed to Handball Players. Rev. Rom. Pentru Educ. Multidimens. 2019, 11, 73–87. [Google Scholar] [CrossRef]
- Zhang, H.; Cheng, J.; Wang, Z. Relationship among motor behavior, motor development, and motor performance in children aged 7–8 years in China. Front. Public Health 2022, 10, 898266. [Google Scholar] [CrossRef]
- Gray, C.; Gibbons, R.; Larouche, R.; Sandseter, E.; Bienenstock, A.; Brussoni, M.; Chabot, G.; Herrington, S.; Janssen, I.; Pickett, W.; et al. What Is the Relationship between Outdoor Time and Physical Activity, Sedentary Behaviour, and Physical Fitness in Children? A Systematic Review. Int. J. Environ. Res. Public Health 2015, 12, 6455–6474. [Google Scholar] [CrossRef]
- Cabrera, E.A.; Romero-Naranjo, F.J. Neuromotricidad, Psicomotricidad y Motricidad. Nuevas aproximaciones metodológicas (Neuromotricity, Psychomotricity and Motor skills. New methodological approaches). Retos 2021, 42, 924–938. [Google Scholar] [CrossRef]
- Badau, D.; Badau, A.; Ene-Voiculescu, C.; Larion, A.; Ene-Voiculescu, V.; Mihaila, I.; Fleancu, J.L.; Tudor, V.; Tifrea, C.; Cotovanu, A.S.; et al. The Impact of Implementing an Exergame Program on the Level of Reaction Time Optimization in Handball, Volleyball, and Basketball Players. Int. J. Environ. Res. Public Health 2022, 19, 5598. [Google Scholar] [CrossRef]
- Hassan, A.K.; Alibrahim, M.S.; Sayed Ahmed, Y.A.R. The effect of small-sided games using the FIT LIGHT training system on some harmonic abilities and some basic skills of basketball players. Front. Sports Act. Living 2023, 5, 1080526. [Google Scholar] [CrossRef]
- Katanić, B.; Ilić, P.; Stojmenović, A.; Vitasović, M. The application of Fitlight trainer system in sports. Fiz. Kult. 2020, 74, 115–126. [Google Scholar] [CrossRef]
- Badau, D.; Stoica, A.M.; Litoi, M.F.; Badau, A.; Duta, D.; Hantau, C.G.; Sabau, A.M.; Oancea, B.M.; Ciocan, C.V.; Fleancu, J.L.; et al. The Impact of Peripheral Vision on Manual Reaction Time Using Fitlight Technology for Handball, Basketball and Volleyball Players. Bioengineering 2023, 10, 697. [Google Scholar] [CrossRef]
- Appelbaum, L.G.; Erickson, G. Sports vision training: A review of the state-of-the-art in digital training techniques. Int. Rev. Sport. Exerc. Psychol. 2018, 11, 160–189. [Google Scholar] [CrossRef]
- Florkiewicz, B.; Lesiakowski, P.; Zwierko, T. The Effect Of Visual Perception Training On Sensorimotor Function In Handball Players. J. Kinesiol. Exerc. Sci. 2015, 69, 25–32. [Google Scholar] [CrossRef]
- Formenti, D.; Duca, M.; Trecroci, A.; Ansaldi, L.; Bonfanti, L.; Alberti, G.; Iodice, P. Perceptual vision training in non-sport-specific context: Effect on performance skills and cognition in young females. Sci. Rep. 2019, 9, 18671. [Google Scholar] [CrossRef]
- Walton, C.C.; Keegan, R.J.; Martin, M.; Hallock, H. The Potential Role for Cognitive Training in Sport: More Research Needed. Front. Psychol. 2018, 9, 1121. [Google Scholar] [CrossRef]
- Amini Vishteh, R.; Mirzajani, A.; Jafarzadehpour, E.; Darvishpour, S. Evaluation of Simple Visual Reaction Time of Different Colored Light Stimuli in Visually Normal Students. Clin. Optom. 2019, 11, 167–171. [Google Scholar] [CrossRef]
- Balasubramaniam, M.; Sivapalan, K.; Nishanthi, V.; Kinthusa, S.; Dilani, M. Effect of Dual—Tasking on Visual and Auditory Simple Reaction Times. Indian J. Physiol. Pharmacol. 2015, 59, 194–198. [Google Scholar] [PubMed]
- Le Mansec, Y.; Dorel, S.; Nordez, A.; Jubeau, M. Is reaction time altered by mental or physical exertion? Eur. J. Appl. Physiol. 2019, 119, 1323–1335. [Google Scholar] [CrossRef]
- Mnif, M.; Chikh, S.; Jarraya, M. Effect of Social Context on Cognitive and Motor Behavior: A Systematic Review. J. Mot. Behav. 2022, 54, 631–647. [Google Scholar] [CrossRef]
- Forni, F.; Farinini, E.; Leardi, R.; Rinaldo, A. Effects of visual training on motor performance in young tennis players using FitLight trainer. J. Sports Med. Phys. Fit. 2022, 62, 585–592. [Google Scholar] [CrossRef]
- Zhong, S.; Wei, L.; Zhao, C.; Yang, L.; Di, Z.; Francks, C.; Gong, G. Interhemispheric Relationship of Genetic Influence on Human Brain Connectivity. Cereb. Cortex 2021, 31, 77–88. [Google Scholar] [CrossRef]
- Silvestri, F.; Campanella, M.; Bertollo, M.; Albuquerque, M.R.; Bonavolontà, V.; Perroni, F.; Baldari, C.; Guidetti, L.; Curzi, D. Acute effects of Fitlight training on Cognitive-Motor processes in young basketball players. Int. J. Environ. Res. Public Health 2023, 20, 817. [Google Scholar] [CrossRef] [PubMed]
- Brachman, A.; Kamieniarz, A.; Michalska, J.; Pawłowski, M.; Słomka, K.J.; Juras, G. Balance Training Programs in Athletes—A Systematic Review. J. Hum. Kinet. 2017, 58, 45–64. [Google Scholar] [CrossRef]
- Harry-Leite, P.; Paquete, M.; Teixeira, J.; Santos, M.; Sousa, J.; Fraiz-Brea, J.A.; Ribeiro, F. Acute Impact of Proprioceptive Exercise on Proprioception and Balance in Athletes. Appl. Sci. 2022, 12, 830. [Google Scholar] [CrossRef]
- Mackala, K.; Vodičar, J.; Žvan, M.; Križaj, J.; Stodolka, J.; Rauter, S.; Šimenko, J.; Čoh, M. Evaluation of the Pre-Planned and Non-Planed Agility Performance: Comparison between Individual and Team Sports. Int. J. Environ. Res. Public Health 2020, 17, 975, Erratum in Int. J. Environ. Res. Public Health 2023, 20, 6174. [Google Scholar] [CrossRef]
- Alley, S.J.; Schoeppe, S.; Rebar, A.L.; Hayman, M.; Vandelanotte, C. Age differences in physical activity intentions and implementation intention preferences. J. Behav. Med. 2018, 41, 406–415. [Google Scholar] [CrossRef] [PubMed]
- MedCalc. Available online: https://www.medcalc.org (accessed on 21 July 2025).
- Gunnell, K.E.; Poitras, V.J.; LeBlanc, A.; Schibli, K.; Barbeau, K.; Hedayati, N.; Ponitfex, M.B.; Goldfield, G.S.; Dunlap, C.; Lehan, E.; et al. Physical activity and brain structure, brain function, and cognition in children and youth: A systematic review of randomized controlled trials. Ment. Health Phys. Act. 2018, 16, 105–127, Erratum in Ment. Health Phys. Act. 2021, 20, 100377. [Google Scholar] [CrossRef]
- Mancini, N.; Moscatelli, F.; Di Padova, M.; Mancini, S.; Basta, A.; Guerriero, M.A.; Di Pace, A.; Limone, P.; Colella, D.; Grosu, V.T.; et al. The relationship between reaction time and agility performance in young athletes: A study using perception–action technological devices. J. Phys. Educ. Sport. 2024, 24, 2205–2215. [Google Scholar] [CrossRef]
- Talboom, J.S.; De Both, M.D.; Naymik, M.A.; Schmidt, A.M.; Lewis, C.R.; Jepsen, W.M.; Håberg, A.K.; Rundek, T.; Levin, B.E.; Hoscheidt, S.; et al. Two separate, large cohorts reveal potential modifiers of age-associated variation in visual reaction time performance. Npj Aging Mech. Dis. 2021, 7, 14. [Google Scholar] [CrossRef] [PubMed]
- Shankaregowda, S.K.; Shenoy, P.; Bhise, S.K.; Rajak, N.; Goothy, S.S.K.; Choudhary, A.; Chouhan, R.S. A pilot study to compare auditory and visual reaction time in male and female young adults. Asian J. Med. Sci. 2022, 13, 296–299. [Google Scholar] [CrossRef]
- BlazePod. Shop Page. Available online: https://blazepod.eu/collections/shop-page (accessed on 15 August 2025).









| Group | Variable | Measurement | Average |
|---|---|---|---|
| CG | MS (kg) | M1 | 61.59 |
| M2 | 62.22 | ||
| H (cm) | M1 | 166.13 | |
| M2 | 166.81 | ||
| V (years) | - | 13.06 | |
| EG | MS (kg) | M1 | 62.99 |
| M2 | 63.41 | ||
| H (cm) | M1 | 176.25 | |
| M2 | 177.19 | ||
| V (years) | - | 13.38 |
| Variable | Group | Average | Standard Deviation | p | Cohen’s d |
|---|---|---|---|---|---|
| Focus_Reactions | CG_M1 | 680.06 | 75.70 | 0.016 | 0.2 |
| CG_M2 | 689.94 | 84.41 | |||
| Fast_Feet | CG_M1 | 746.25 | 85.25 | 0.164 | −0.1 |
| CG_M2 | 731.06 | 86.61 | |||
| Clap_Challenge | CG_M1 | 493.88 | 85.34 | 0.597 | 0.2 |
| CG_M2 | 515.75 | 93.51 | |||
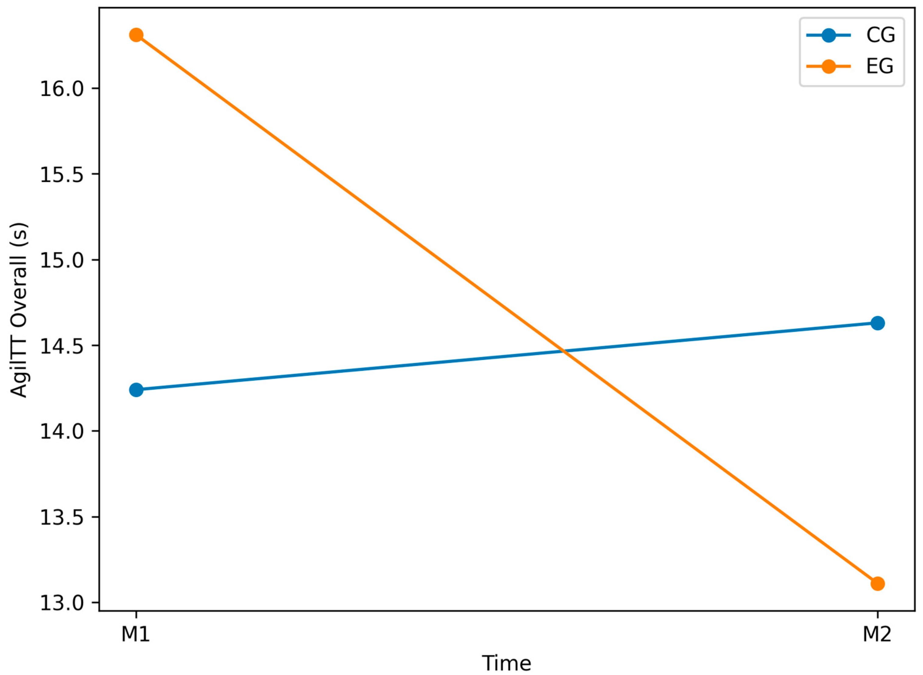
| AgilTT_Overall (s) | CG_M1 | 14.24 | 1.43 | 0.177 | 0.3 |
| CG_M2 | 14.63 | 1.12 | |||
| AgilTT_SprintBack (s) | CG_M1 | 3.47 | 0.48 | 0.332 | 0.4 |
| CG_M2 | 3.58 | 0.52 | |||
| AgilTT_ShuffleRight_A (s) | CG_M1 | 2.19 | 0.58 | 0.170 | −0.2 |
| CG_M2 | 2.10 | 0.19 | |||
| AgilTT_ShuffleLeft (s) | CG_M1 | 3.68 | 0.46 | 0.107 | 0.4 |
| CG_M2 | 3.84 | 0.60 | |||
| AgilTT_ShuffleRight_B (s) | CG_M1 | 2.19 | 0.43 | 0.276 | −0.1 |
| CG_M2 | 2.16 | 0.44 | |||
| AgilTT_SprintOut (s) | CG_M1 | 2.68 | 0.47 | 0.920 | 0.6 |
| CG_M2 | 2.95 | 0.49 |
| Variable | Group | Average | Standard Deviation | p | Cohen’s d |
|---|---|---|---|---|---|
| Focus_Reactions | EG_M1 | 709.50 | 51.00 | 0.002 | −1.2 |
| EG_M2 | 638.31 | 66.23 | |||
| Fast_Feet | EG_M1 | 695.81 | 70.16 | 0.620 | −0.5 |
| EG_M2 | 664.19 | 68.72 | |||
| Clap_Challenge | EG_M1 | 478.69 | 94.11 | 0.400 | −0.5 |
| EG_M2 | 442.31 | 44.17 | |||
| AgilTT_Overall (s) | EG_M1 | 16.31 | 7.98 | 0.089 | −0.6 |
| EG_M2 | 13.11 | 0.82 | |||
| AgilTT_SprintBack (s) | EG_M1 | 3.51 | 0.90 | 0.090 | −0.6 |
| EG_M2 | 3.12 | 0.23 | |||
| AgilTT_ShuffleRight_A (s) | EG_M1 | 2.49 | 1.85 | 0.320 | −0.4 |
| EG_M2 | 1.92 | 0.14 | |||
| AgilTT_ShuffleLeft (s) | EG_M1 | 4.06 | 1.00 | 0.014 | −0.9 |
| EG_M2 | 3.39 | 0.23 | |||
| AgilTT_ShuffleRight_B (s) | EG_M1 | 3.33 | 1.86 | 0.299 | −0.4 |
| EG_M2 | 2.00 | 0.17 | |||
| AgilTT_SprintOut (s) | EG_M1 | 2.90 | 1.29 | 0.251 | −0.2 |
| EG_M2 | 2.67 | 0.59 |
| Variable | Group | t | df | p | Cohen’s d |
|---|---|---|---|---|---|
| Focus_Reactions | CG_M1 | −1.290 | 30 | 0.207 | −0.46 |
| EG_M1 | |||||
| Fast_Feet | CG_M1 | 1.827 | 30 | 0.078 | 0.65 |
| EG_M1 | |||||
| Clap_Challenge | CG_M1 | 0.478 | 30 | 0.636 | −0.17 |
| EG_M1 | |||||
| AgilTT_Overall (s) | CG_M1 | −1.017 | 30 | 0.317 | 0.36 |
| EG_M1 | |||||
| AgilTT_SprintBack (s) | CG_M1 | −0.194 | 30 | 0.847 | 0.07 |
| EG_M1 | |||||
| AgilTT_ShuffleRight_A (s) | CG_M1 | −0.630 | 30 | 0.533 | 0.22 |
| EG_M1 | |||||
| AgilTT_ShuffleLeft (s) | CG_M1 | −1.362 | 30 | 0.183 | −0.48 |
| EG_M1 | |||||
| AgilTT_ShuffleRight_B (s) | CG_M1 | −0.932 | 30 | 0.359 | 0.33 |
| EG_M1 | |||||
| AgilTT_SprintOut (s) | CG_M1 | −0.640 | 30 | 0.527 | 0.23 |
| EG_M1 |
| Variable | Group | t | df | p | Cohen’s d |
|---|---|---|---|---|---|
| Focus_Reactions | CG_M2 | 1.925 | 30 | 0.064 | −0.68 |
| EG_M2 | |||||
| Fast_Feet | CG_M2 | 2.189 | 30 | 0.036 | −0.77 |
| EG_M2 | |||||
| Clap_Challenge | CG_M2 | 2.840 | 30 | 0.008 | −1.0 |
| EG_M2 | |||||
| AgilTT_Overall (s) | CG_M2 | 4.378 | 30 | <0.001 | −1.55 |
| EG_M2 | |||||
| AgilTT_SprintBack (s) | CG_M2 | 3.214 | 30 | 0.003 | −1.14 |
| EG_M2 | |||||
| AgilTT_ShuffleRight_A (s) | CG_M2 | 2.990 | 30 | 0.006 | −1.06 |
| EG_M2 | |||||
| AgilTT_ShuffleLeft (s) | CG_M2 | 2.798 | 30 | 0.009 | −0.99 |
| EG_M2 | |||||
| AgilTT_ShuffleRight_B (s) | CG_M2 | 1.354 | 30 | 0.186 | −0.48 |
| EG_M2 | |||||
| AgilTT_SprintOut (s) | CG_M2 | 1.453 | 30 | 0.157 | −0.51 |
| EG_M2 |
Disclaimer/Publisher’s Note: The statements, opinions and data contained in all publications are solely those of the individual author(s) and contributor(s) and not of MDPI and/or the editor(s). MDPI and/or the editor(s) disclaim responsibility for any injury to people or property resulting from any ideas, methods, instructions or products referred to in the content. |
© 2026 by the authors. Licensee MDPI, Basel, Switzerland. This article is an open access article distributed under the terms and conditions of the Creative Commons Attribution (CC BY) license.
Share and Cite
Boncuț, M.; Mancini, N.; Hăisan, A.-A.; Boncuț, D.; Grosu, E.F.; Popovici, C.; Hervás-Gómez, C.; Man, C.M.; Mancini, S.; Guerriero, M.A.; et al. Technology-Assisted Neuromotor Training for Improving Visuomotor Reaction Performance, Change-of-Direction Quickness, and Bilateral Task Execution in Junior Handball Players. J. Funct. Morphol. Kinesiol. 2026, 11, 42. https://doi.org/10.3390/jfmk11010042
Boncuț M, Mancini N, Hăisan A-A, Boncuț D, Grosu EF, Popovici C, Hervás-Gómez C, Man CM, Mancini S, Guerriero MA, et al. Technology-Assisted Neuromotor Training for Improving Visuomotor Reaction Performance, Change-of-Direction Quickness, and Bilateral Task Execution in Junior Handball Players. Journal of Functional Morphology and Kinesiology. 2026; 11(1):42. https://doi.org/10.3390/jfmk11010042
Chicago/Turabian StyleBoncuț, Mircea, Nicola Mancini, Angel-Alex Hăisan, Delia Boncuț, Emilia Florina Grosu, Cornelia Popovici, Carlos Hervás-Gómez, Cristina Maria Man, Siria Mancini, Mariasole Antonietta Guerriero, and et al. 2026. "Technology-Assisted Neuromotor Training for Improving Visuomotor Reaction Performance, Change-of-Direction Quickness, and Bilateral Task Execution in Junior Handball Players" Journal of Functional Morphology and Kinesiology 11, no. 1: 42. https://doi.org/10.3390/jfmk11010042
APA StyleBoncuț, M., Mancini, N., Hăisan, A.-A., Boncuț, D., Grosu, E. F., Popovici, C., Hervás-Gómez, C., Man, C. M., Mancini, S., Guerriero, M. A., De Maria, A., & Grosu, V. T. (2026). Technology-Assisted Neuromotor Training for Improving Visuomotor Reaction Performance, Change-of-Direction Quickness, and Bilateral Task Execution in Junior Handball Players. Journal of Functional Morphology and Kinesiology, 11(1), 42. https://doi.org/10.3390/jfmk11010042

