Impact of 6-Week Combined Gym and Climbing Training on Handgrip Strength and Arm Size—GRIP-6 Study
Abstract
1. Introduction
2. Materials and Methods
2.1. Study Design
2.2. Study Outcomes
2.3. Experimental Protocol
2.4. Gym and Climbing Training
2.5. Study Population
2.6. Statistical Analysis
3. Results
4. Discussion
Limitations
5. Conclusions
Supplementary Materials
Author Contributions
Funding
Institutional Review Board Statement
Informed Consent Statement
Data Availability Statement
Acknowledgments
Conflicts of Interest
References
- Giles, L.V.; Rhodes, E.C.; Taunton, J.E. The physiology of rock climbing. Sports Med. 2006, 36, 529–545. [Google Scholar] [CrossRef]
- Oelz, O.; Howald, H.A.; Di Prampero, P.E.; Hoppeler, H.; Claassen, H.E.; Jenni, R.O.; Buhlmann, A.L.; Ferretti, G.U.; Bruckner, J.C.; Veicsteinas, A.R. Physiological profile of world-class high-altitude climbers. J. Appl. Physiol. 1986, 60, 1734–1742. [Google Scholar] [CrossRef] [PubMed]
- Ferrer-Uris, B.; Arias, D.; Torrado, P.; Marina, M.; Busquets, A. Exploring forearm muscle coordination and training applications of various grip positions during maximal isometric finger dead-hangs in rock climbers. PeerJ 2023, 11, e15464. [Google Scholar] [CrossRef] [PubMed]
- MacKenzie, R.; Monaghan, L.; Masson, R.A.; Werner, A.K.; Caprez, T.S.; Johnston, L.; Kemi, O.J. Physical and Physiological Determinants of Rock Climbing. Int. J. Sports Physiol. Perform. 2020, 15, 168–179. [Google Scholar] [CrossRef]
- Langer, K.; Simon, C.; Wiemeyer, J. Strength Training in Climbing: A Systematic Review. J. Strength Cond. Res. 2023, 37, 751–767. [Google Scholar] [CrossRef] [PubMed]
- Sweeney, H.L.; Hammers, D.W. Muscle Contraction. Cold Spring Harb. Perspect. Biol. 2018, 10, a023200. [Google Scholar] [CrossRef]
- Langer, K.; Simon, C.; Wiemeyer, J. Physical performance testing in climbing-A systematic review. Front. Sports Act. Living 2023, 5, 1130812. [Google Scholar] [CrossRef]
- Dindorf, C.; Bartaguiz, E.; Dully, J.; Sprenger, M.; Merk, A.; Becker, S.; Fröhlich, M.; Ludwig, O. Evaluation of Influencing Factors on the Maximum Climbing Specific Holding Time: An Inferential Statistics and Machine Learning Approach. J. Funct. Morphol. Kinesiol. 2022, 7, 95. [Google Scholar] [CrossRef]
- Suchomel, T.J.; Nimphius, S.; Bellon, C.R.; Stone, M.H. The Importance of Muscular Strength: Training Considerations. Sports Med. 2018, 48, 765–785. [Google Scholar] [CrossRef]
- Clancy, R.B.; Herring, M.P.; Campbell, M.J. Motivation Measures in Sport: A Critical Review and Bibliometric Analysis. Front. Psychol. 2017, 8, 348. [Google Scholar] [CrossRef]
- Teixeira, P.J.; Carraça, E.V.; Markland, D.; Silva, M.N.; Ryan, R.M. Exercise, physical activity, and self-determination theory: A systematic review. Int. J. Behav. Nutr. Phys. Act. 2012, 9, 78. [Google Scholar] [CrossRef]
- Baláš, J.; Pecha, O.; Martin, A.J.; Cochrane, D. Hand–arm strength and endurance as predictors of climbing performance. Eur. J. Sport Sci. 2011, 12, 16–25. [Google Scholar] [CrossRef]
- American College of Sports Medicine. American College of Sports Medicine position stand. Progression models in resistance training for healthy adults. Med. Sci. Sports Exerc. 2009, 41, 687–708. [Google Scholar]
- Kraemer, W.J.; Ratamess, N.A. Fundamentals of resistance training: Progression and exercise prescription. Med. Sci. Sports Exerc. 2004, 36, 674–688. [Google Scholar] [CrossRef] [PubMed]
- Xiao, W.; Bai, X.; Geok, S.K.; Yu, D.; Zhang, Y. Effects of a 12-Week Functional Training Program on the Strength and Power of Chinese Adolescent Tennis Players. Children 2023, 10, 635. [Google Scholar] [CrossRef] [PubMed]
- Grant, S.; Hynes, V.; Whittaker, A.; Aitchison, T. Anthropometric, strength, endurance and flexibility characteristics of elite and recreational climbers. J. Sports Sci. 1996, 14, 301–309. [Google Scholar] [CrossRef]
- Assmann, M.; Steinmetz, G.; Schilling, A.F.; Saul, D. Comparison of Grip Strength in Recreational Climbers and Non-Climbing Athletes—A Cross-Sectional Study. Int. J. Environ. Res. Public Health 2020, 18, 129. [Google Scholar] [CrossRef]
- Erik von Elm, M.; Altman, D.G.; Egger, M.; Pocock, S.J.; Gøtzsche, P.C.; Vandenbroucke, J.P. The Strengthening the Reporting of Observational Studies in Epidemiology (STROBE) statement: Guidelines for reporting observational studies. Ann. Intern. Med. 2007, 147, 573–577. [Google Scholar] [CrossRef]
- Lakens, D. Calculating and reporting effect sizes to facilitate cumulative science: A practical primer for t-tests and ANOVAs. Front. Psychol. 2013, 4, 863. [Google Scholar] [CrossRef]
- Faul, F.; Erdfelder, E.; Buchner, A.; Lang, A.G. Statistical power analyses using G*Power 3.1: Tests for correlation and regression analyses. Behav. Res. Methods 2009, 41, 1149–1160. [Google Scholar] [CrossRef] [PubMed]
- Manzano-Sanchez, D.; Postigo-Perez, L.; Gomez-Lopez, M.; Valero-Valenzuela, A. Study of the Motivation of Spanish Amateur Runners Based on Training Patterns and Gender. Int. J. Environ. Res. Public Health 2020, 17, 8185. [Google Scholar] [CrossRef] [PubMed]
- Eather, N.; Wade, L.; Pankowiak, A.; Eime, R. The impact of sports participation on mental health and social outcomes in adults: A systematic review and the ‘Mental Health through Sport’ conceptual model. Syst. Rev. 2023, 12, 102. [Google Scholar] [CrossRef] [PubMed]
- Gjestvang, C.; Abrahamsen, F.; Stensrud, T.; Haakstad, L.A.H. What Makes Individuals Stick to Their Exercise Regime? A One-Year Follow-Up Study Among Novice Exercisers in a Fitness Club Setting. Front. Psychol. 2021, 12, 638928. [Google Scholar] [CrossRef] [PubMed]
- Kruger, J.; Carlson, S. Trends in strength training—United States, 1998–2004. MMWR Morb. Mortal. Wkly. Rep. 2006, 55, 769–772. [Google Scholar]
- Kraemer, W.J.; Ratamess, N.A.; French, D.N. Resistance Training for Health and Performance. Curr. Sports Med. Rep. 2002, 1, 165–171. [Google Scholar] [CrossRef]
- Westcott, W.L. Resistance training is medicine: Effects of strength training on health. Curr. Sports Med. Rep. 2012, 11, 209–216. [Google Scholar] [CrossRef]
- Janssen, I.; Heymsfield, S.B.; Wang, Z.M.; Ross, R. Skeletal muscle mass and distribution in 468 men and women aged 18–88 yr. J. Appl. Physiol. 2000, 89, 81–88. [Google Scholar]
- Miller, A.E.; MacDougall, J.D.; Tarnopolsky, M.A.; Sale, D.G. Gender differences in strength and muscle fiber characteristics. Eur. J. Appl. Physiol. Occup. Physiol. 1993, 66, 254–262. [Google Scholar] [CrossRef]
- Morton, R.W.; Murphy, K.T.; McKellar, S.R.; Schoenfeld, B.J.; Henselmans, M.; Helms, E.; Aragon, A.A.; Devries, M.C.; Banfield, L.; Krieger, J.W.; et al. A systematic review, meta-analysis and meta-regression of the effect of protein supplementation on resistance training-induced gains in muscle mass and strength in healthy adults. Br. J. Sports Med. 2018, 52, 376–384. [Google Scholar] [CrossRef]
- Konig, L.M.; Attig, C.; Franke, T.; Renner, B. Barriers to and Facilitators for Using Nutrition Apps: Systematic Review and Conceptual Framework. JMIR Mhealth Uhealth 2021, 9, e20037. [Google Scholar] [CrossRef]
- Iversen, V.M.; Norum, M.; Schoenfeld, B.J.; Fimland, M.S. No Time to Lift? Designing Time-Efficient Training Programs for Strength and Hypertrophy: A Narrative Review. Sports Med. 2021, 51, 2079–2095. [Google Scholar] [CrossRef] [PubMed]
- Ralston, G.W.; Kilgore, L.; Wyatt, F.B.; Buchan, D.; Baker, J.S. Weekly Training Frequency Effects on Strength Gain: A Meta-Analysis. Sports Med.-Open 2018, 4, 36. [Google Scholar] [CrossRef] [PubMed]
- Morenas, J.; Luis del Campo, V.; López-García, S.; Flores, L. Influence of On-Sight and Flash Climbing Styles on Advanced Climbers’ Route Completion for Bouldering. Int. J. Environ. Res. Public Health 2021, 18, 12594. [Google Scholar] [CrossRef] [PubMed]




| Variable | Whole Population (N = 25, 100.0%) | Males (N = 11, 44.0%) | Females (N = 14, 56.0%) | |
|---|---|---|---|---|
| Age (years) | 20.4 ± 1.7 | 20.2 ± 1.2 | 20.6 ± 2.0 | |
| Height (cm) | 173.8 ± 10.1 | 183.5 ± 2.7 | 166.2 ± 6.5 | |
| Weight (kg) | 66.2 ± 10.7 | 74.7 ± 7.5 | 59.5 ± 7.7 | |
| BMI (kg·m−2) | 21.8 ± 1.7 | 22.2 ± 1.8 | 21.5 ± 1.7 | |
| Additional sport in the past | No other sports | 4 (16.0%) | ||
| One other sport | 17 (68.0%) | |||
| Two other sports | 4 (16.0%) | |||
| Training frequency in the past | Once per month | 4 (16.0%) | ||
| Once per week | 8 (32.0%) | |||
| Several Times per week | 12 (48.0%) | |||
| Every day | 1 (4.0%) | |||
| Duration of single session | <1 h | 5 (20.0%) | ||
| 1 h | 8 (32.0%) | |||
| >1 and <2 h | 11 (44.0%) | |||
| ≥2 h | 1 (4.0%) | |||
| Self-reported level of fitness | Very good | 4 (16.0%) | ||
| Good | 15 (60.0%) | |||
| Average | 4 (16.0%) | |||
| Low | 2 (8.0%) | |||
| Warm-up before training | Yes | 22 (88.0%) | ||
| No | 3 (12.0%) | |||
| Stretch after training | Yes | 22 (88.0%) | ||
| No | 3 (12.0%) | |||
| Measured Variable | Before Training Intervention | After Training Intervention | Difference (95%CI) | t-Test (df) | Cohen’s dz (95%CI) | p-Value |
|---|---|---|---|---|---|---|
| Whole population (N = 25,100.0%) | ||||||
| Hanging time (seconds) | 55.3 ± 3.2 | 60.9 ± 31.3 | 5.6 ± 4.2 (4.0, 7.3) | 6.68 (24) | 1.33 (0.77, 1.90) | <0.001 |
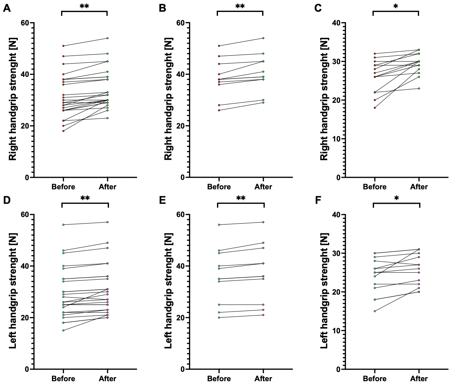
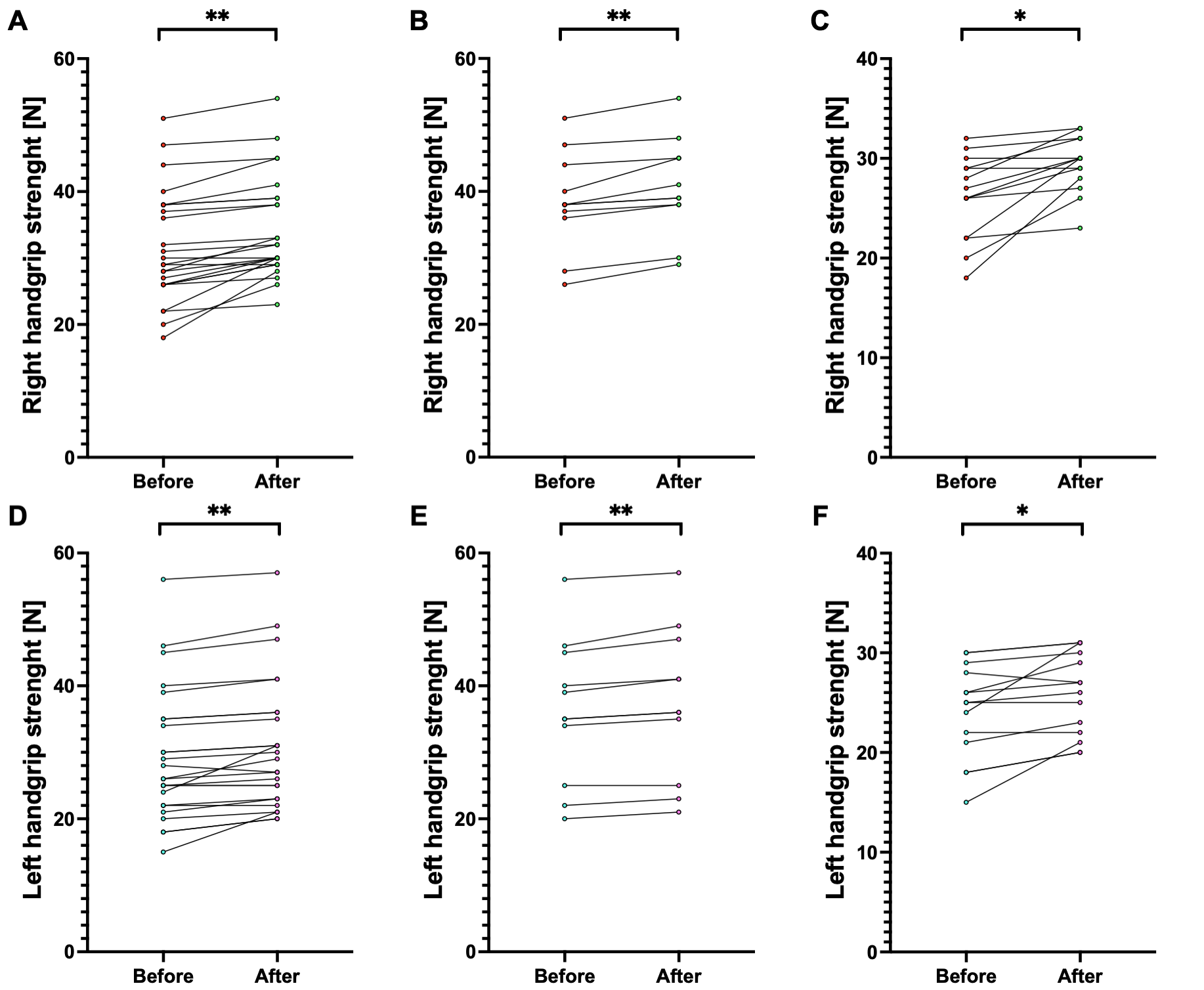
| Right handgrip strength (N) | 31.6 ± 8.4 | 34.3 ± 7.6 | 2.8 ± 2.5 (1.8, 3.7) | 5.58 (24) | 1.12 (0.59, 1.65) | <0.001 |
| Left handgrip strength (N) | 29.4 ± 9.9 | 31.0 ± 9.8 | 1.6 ± 1.7 (0.9, 2.3) | 4.62 (24) | 0.94 (0.46, 1.41) | <0.001 |
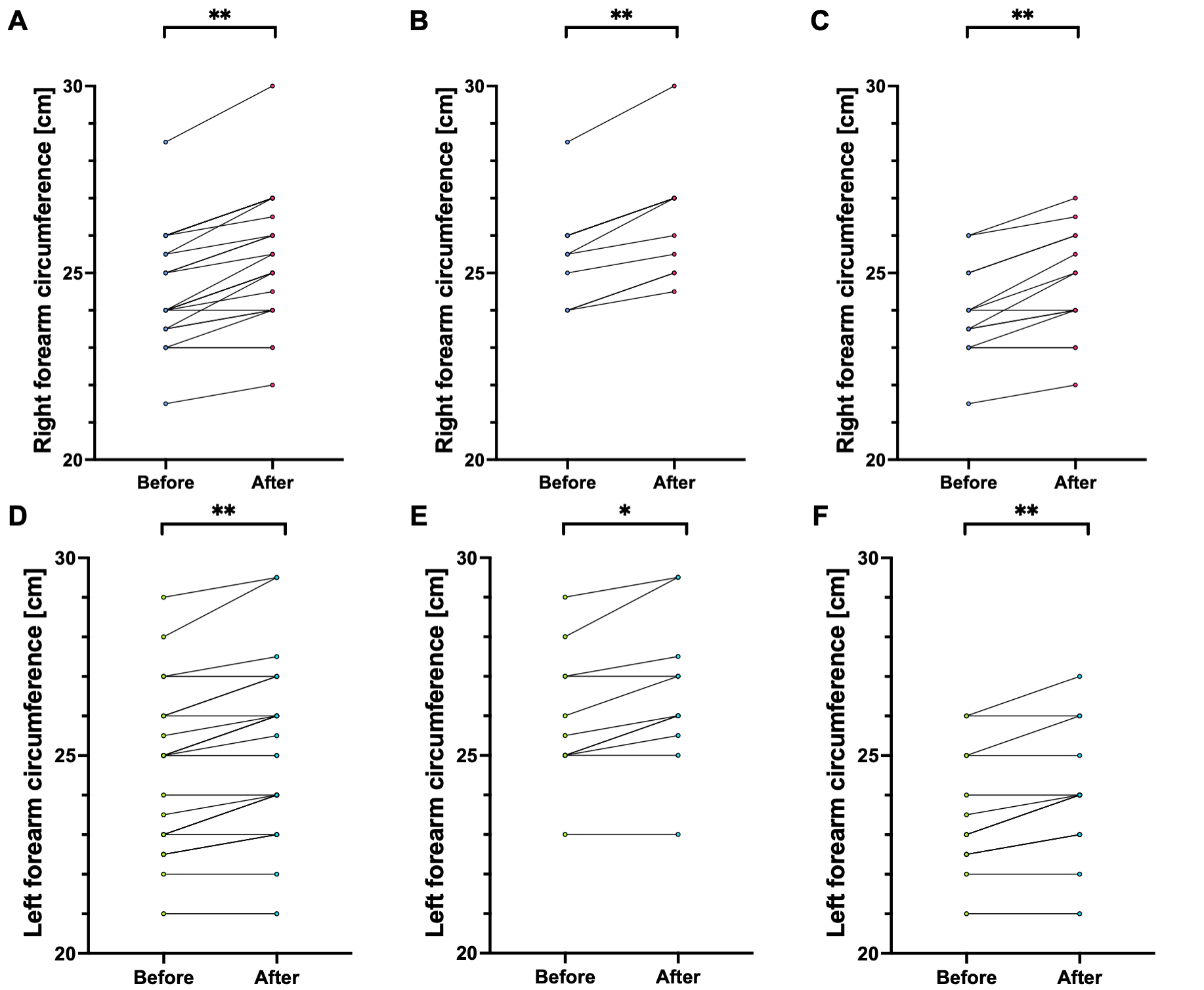
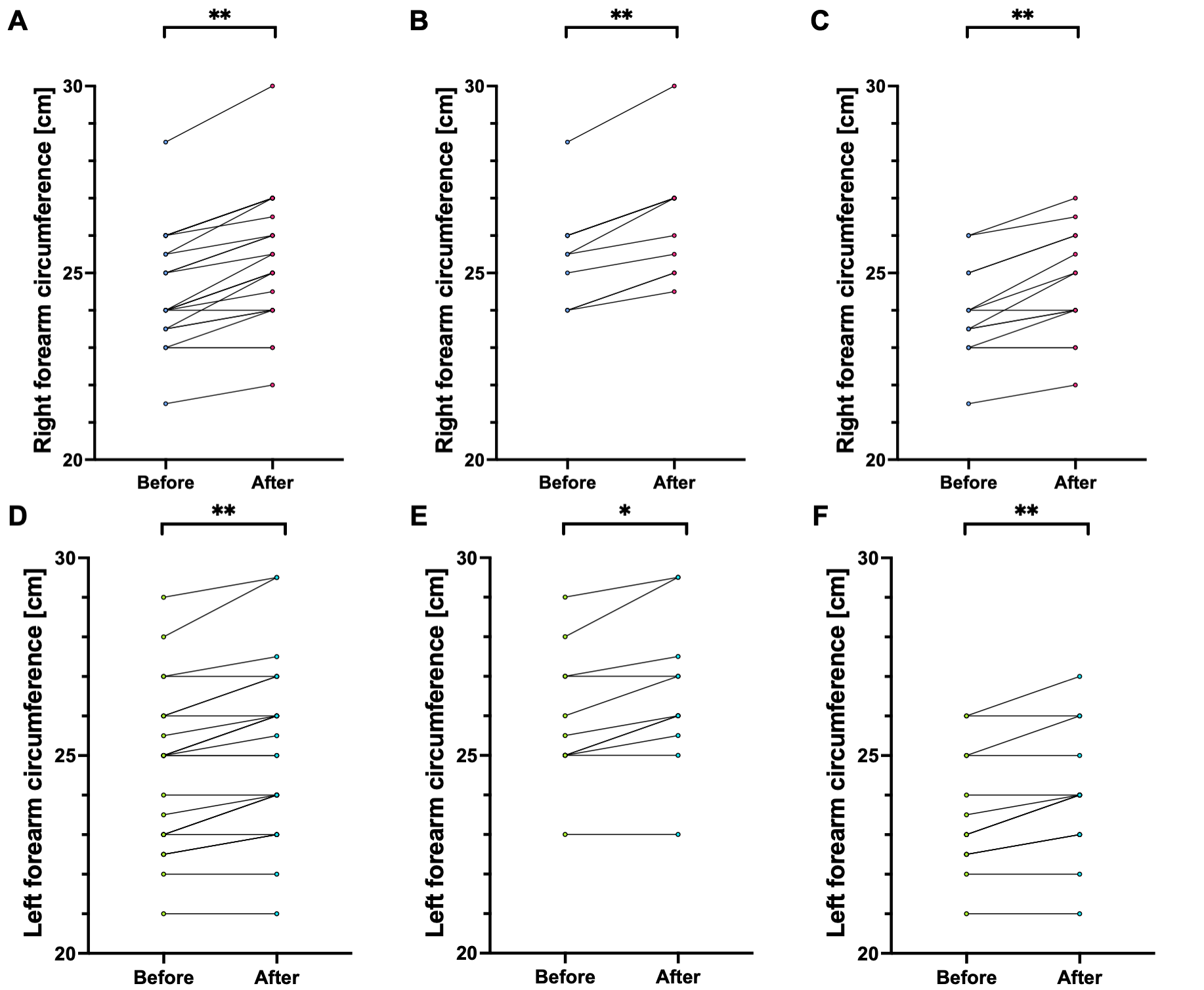
| Right forearm circumference (cm) | 24.6 ± 1.5 | 25.4 ± 1.7 | 0.8 ± 0.5 (0.6, 1.0) | 9.04 (24) | 1.60 (0.98, 2.22) | <0.001 |
| Left forearm circumference (cm) | 24.6 ± 2.0 | 25.1 ± 2.1 | 0.5 ± 0.4 (0.4, 0.7) | 5.94 (24) | 1.25 (0.72, 1.77) | <0.001 |
| Males (N = 11, 44.0%) | ||||||
| Hanging time (seconds) | 64.0 ± 35.3 | 69.4 ± 33.7 | 5.4 ± 4.2 (2.9, 7.9) | 4.19 (10) | 1.29 (0.44, 2.05) | 0.002 |
| Right handgrip strength (N) | 38.5 ± 7.3 | 40.5 ± 7.3 | 2.1 ± 1.3 (1.3, 2.9) | 5.33 (10) | 1.62 (0.68, 2.50) | <0.001 |
| Left handgrip strength (N) | 36.1 ± 10.9 | 37.4 ± 11.3 | 1.3 ± 0.8 (0.8, 1.7) | 5.37 (10) | 1.63 (0.69, 2.52) | <0.001 |
| Right forearm circumference (cm) | 25.5 ± 1.3 | 26.5 ± 1.5 | 1.0 ± 0.4 (0.7, 1.2) | 9.04 (10) | 2.50 (1.26, 3.72) | <0.001 |
| Left forearm circumference (cm) | 26.0 ± 1.7 | 26.5 ± 1.9 | 0.6 ± 0.5 (0.3, 0.9) | 3.99 (10) | 1.20 (0.40, 1.97) | 0.003 |
| Females (N = 14, 56.0%) | ||||||
| Hanging time (seconds) | 48.4 ± 29.1 | 54.3 ± 28.7 | 5.9 ± 4.3 (3.6, 8.1) | 5.04 (14) | 1.37 (0.62, 2.10) | <0.001 |
| Right handgrip strength (N) | 26.1 ± 4.2 | 29.4 ± 2.8 | 3.3 ± 3.0 (1.7, 4.9) | 4.03 (14) | 1.10 (0.42, 1.76) | 0.001 |
| Left handgrip strength (N) | 24.1 ± 4.7 | 26.0 ± 4.2 | 1.9 ± 2.2 (0.7, 3.0) | 3.14 (14) | 0.86 (0.23, 1.47) | 0.008 |
| Right forearm circumference (cm) | 24.0 ± 1.2 | 24.6 ± 1.5 | 0.7 ± 0.5 (0.4, 1.0) | 5.26 (14) | 1.40 (0.59, 2.21) | <0.001 |
| Left forearm circumference (cm) | 23.5 ± 1.5 | 24.0 ± 1.6 | 0.5 ± 0.4 (0.3, 0.7) | 4.27 (14) | 1.25 (0.53, 1.94) | <0.001 |
Disclaimer/Publisher’s Note: The statements, opinions and data contained in all publications are solely those of the individual author(s) and contributor(s) and not of MDPI and/or the editor(s). MDPI and/or the editor(s) disclaim responsibility for any injury to people or property resulting from any ideas, methods, instructions or products referred to in the content. |
© 2025 by the authors. Licensee MDPI, Basel, Switzerland. This article is an open access article distributed under the terms and conditions of the Creative Commons Attribution (CC BY) license (https://creativecommons.org/licenses/by/4.0/).
Share and Cite
Chomiuk, T.; Męczyński, A.; Kasiak, P.; Mamcarz, A.; Śliż, D. Impact of 6-Week Combined Gym and Climbing Training on Handgrip Strength and Arm Size—GRIP-6 Study. J. Funct. Morphol. Kinesiol. 2025, 10, 427. https://doi.org/10.3390/jfmk10040427
Chomiuk T, Męczyński A, Kasiak P, Mamcarz A, Śliż D. Impact of 6-Week Combined Gym and Climbing Training on Handgrip Strength and Arm Size—GRIP-6 Study. Journal of Functional Morphology and Kinesiology. 2025; 10(4):427. https://doi.org/10.3390/jfmk10040427
Chicago/Turabian StyleChomiuk, Tomasz, Adam Męczyński, Przemysław Kasiak, Artur Mamcarz, and Daniel Śliż. 2025. "Impact of 6-Week Combined Gym and Climbing Training on Handgrip Strength and Arm Size—GRIP-6 Study" Journal of Functional Morphology and Kinesiology 10, no. 4: 427. https://doi.org/10.3390/jfmk10040427
APA StyleChomiuk, T., Męczyński, A., Kasiak, P., Mamcarz, A., & Śliż, D. (2025). Impact of 6-Week Combined Gym and Climbing Training on Handgrip Strength and Arm Size—GRIP-6 Study. Journal of Functional Morphology and Kinesiology, 10(4), 427. https://doi.org/10.3390/jfmk10040427

