Reliability of the Seated Unilateral Cable Row and Strength Differences Between Dominant and Non-Dominant Sides in Young Athletes
Abstract
1. Introduction
2. Materials and Methods
2.1. Participants
2.2. Procedures
2.3. Isokinetic and Isometric Test
2.4. Outcome Variables
2.5. Statistical Analyses
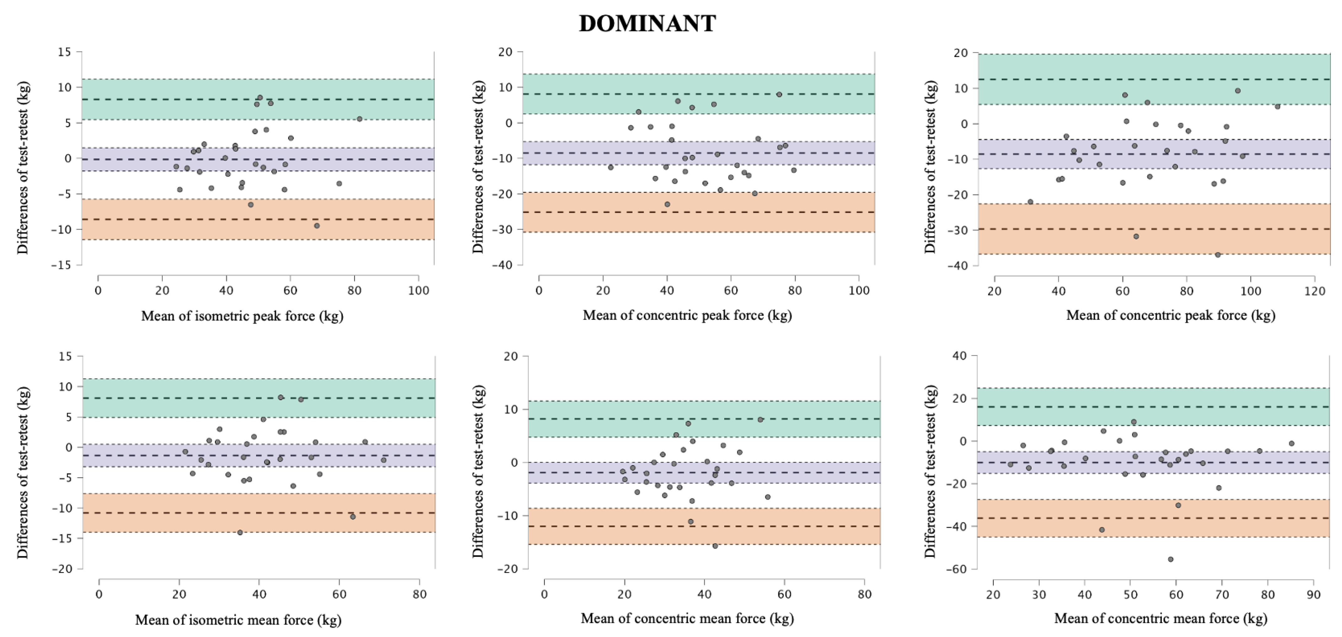
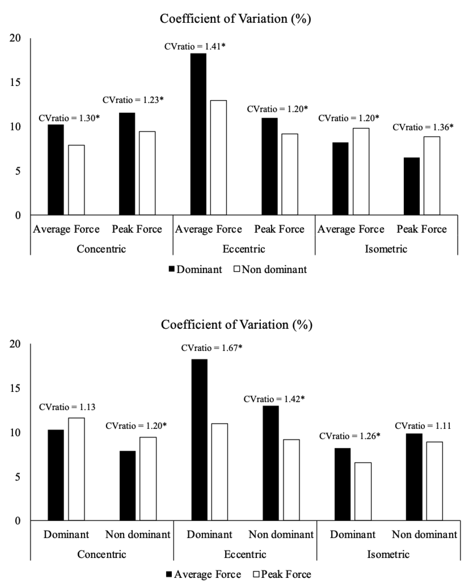
2.5.1. Reliability
2.5.2. Asymmetries
3. Results
4. Discussion
5. Conclusions
6. Practical Applications
Author Contributions
Funding
Institutional Review Board Statement
Informed Consent Statement
Data Availability Statement
Acknowledgments
Conflicts of Interest
References
- Maestroni, L.; Read, P.; Bishop, C.; Papadopoulos, K.; Suchomel, T.J.; Comfort, P.; Turner, A. The Benefits of Strength Training on Musculoskeletal System Health: Practical Applications for Interdisciplinary Care. Sports Med. 2020, 50, 1431–1450. [Google Scholar] [CrossRef]
- Cortell-Tormo, J.M.; Garcia-Jaen, M.; Chulvi-Medrano, I.; Hernández-Sánchez, S.; Lucas-Cuevas, A.; Tortosa-Martinez, J. Influence of Scapular Position on the Core Musculature Activation in the Prone Plank Exercise. J. Strength Cond. Res. 2016, 31, 2255–2262. [Google Scholar] [CrossRef] [PubMed]
- Rodríguez-Perea, Á.; Reyes-Ferrada, W.; Jerez-Mayorga, D.; Ríos, L.C.; Van den Tillar, R.; Ríos, I.C.; Martínez-García, D. Core Training and Performance: A Systematic Review with Meta-Analysis. Biol. Sport 2023, 40, 975–992. [Google Scholar] [CrossRef] [PubMed]
- Reyes-Ferrada, W.; Chirosa-Rios, L.; Martinez-Garcia, D.; Rodríguez-Perea, A.; Jerez-Mayorga, D. Isokinetic Trunk Training on Pain, Disability, and Strength in Non-Specific Low Back Pain Patients: A Systematic Review and Meta-Analysis. J. Back Musculoskelet. Rehabil. 2023, 36, 1237–1250. [Google Scholar] [CrossRef]
- Estrázulas, J.A.; Estrázulas, J.A.; de Jesus, K.; de Jesus, K.; da Silva, R.A.; Libardoni dos Santos, J.O. Evaluation Isometric and Isokinetic of Trunk Flexor and Extensor Muscles with Isokinetic Dynamometer: A Systematic Review. Phys. Ther. Sport 2020, 45, 93–102. [Google Scholar] [CrossRef]
- Iglesias-Caamaño, M.; Álvarez-Yates, T.; Carballo-López, J.; Cuba-Dorado, A.; García-García, Ó. Is Asymmetry Different Depending on How It Is Calculated? Symmetry 2022, 14, 2195. [Google Scholar] [CrossRef]
- Fort-Vanmeerhaeghe, A.; Mila-Villarroel, R.; Pujol-Marzo, M.; Arboix-Alio, J.; Bishop, C. Higher Vertical Jumping Asymmetries and Lower Physical Performance Are Indicators of Increased Injury Incidence in Youth Team-Sport Athletes. J. Strength Cond. Res. 2022, 36, 2204–2211. [Google Scholar] [CrossRef]
- Kotsifaki, A.; Van Rossom, S.; Whiteley, R.; Korakakis, V.; Bahr, R.; Sideris, V.; Jonkers, I. Single Leg Vertical Jump Performance Identifies Knee Function Deficits at Return to Sport after ACL Reconstruction in Male Athletes. Br. J. Sports Med. 2022, 56, 490–498. [Google Scholar] [CrossRef]
- Claudino, J.G.; Cardoso Filho, C.A.; Bittencourt, N.F.N.; Gonçalves, L.G.; Couto, C.R.; Quintão, R.C.; Reis, G.F.; de Oliveira Júnior, O.; Amadio, A.C.; Boullosa, D.; et al. Eccentric Strength Assessment of Hamstring Muscles with New Technologies: A Systematic Review of Current Methods and Clinical Implications. Sports Med. Open 2021, 7, 10. [Google Scholar] [CrossRef]
- Rodríguez-Perea, A.; Jerez-Mayorga, D.; Morenas-Aguilar, M.D.; Martínez-García, D.; Chirosa-Ríos, I.J.; Chirosa-Ríos, L.J.; Reyes-Ferrada, W. Influence of Sex and Dominant Side on the Reliability of Two Trunk Rotator Exercises. Appl. Sci. 2023, 13, 2441. [Google Scholar] [CrossRef]
- Rodriguez-Perea, Á.; Jerez-Mayorga, D.; García-Ramos, A.; Martínez-García, D.; Ríos, L.J.C. Reliability and Concurrent Validity of a Functional Electromechanical Dynamometer Device for the Assessment of Movement Velocity. Proc. Inst. Mech. Eng. Part P J. Sports Eng. Technol. 2021, 235, 176–181. [Google Scholar] [CrossRef]
- Vanhauter, N.; Van Erck, A.; Anciaux, M.; Pollefliet, A.; Joos, E. Isometric and Isokinetic Muscle Strength Measurements of the Lumbar Flexors and Extensors with BioniX Sim3 Pro in Patients with Chronic Low Back Pain: A Pilot Study. J. Back Musculoskelet. Rehabil. 2021, 34, 381–388. [Google Scholar] [CrossRef] [PubMed]
- García-Ramos, A.; Ulloa-Díaz, D.; Barboza-González, P.; Rodríguez-Perea, Á.; Martínez-García, D.; Quidel-Catrilelbún, M.; Guede-Rojas, F.; Cuevas-Aburto, J.; Janicijevic, D.; Weakley, J. Assessment of the Load-Velocity Profile in the Free-Weight Prone Bench Pull Exercise through Different Velocity Variables and Regression Models. PLoS ONE 2019, 14, e0212085. [Google Scholar] [CrossRef]
- Harding, A.T.; Weeks, B.K.; Horan, S.A.; Little, A.; Watson, S.L.; Beck, B.R. Validity and Test-Retest Reliability of a Novel Simple Back Extensor Muscle Strength Test. SAGE Open Med. 2017, 5, 2050312116688842. [Google Scholar] [CrossRef]
- Cohen, J. Statistical Power Analysis for the Behavioral Sciences, 2nd ed.; Lawrence Erlbaum Associates: New York, NY, USA, 1988; ISBN 0805802835. [Google Scholar]
- Garcia-Ramos, A.; Janicijevic, D. Potential Benefits of Multicenter Reliability Studies in Sports Science: A Practical Guide for Its Implementation. Isokinet. Exerc. Sci. 2020, 28, 199–204. [Google Scholar] [CrossRef]
- Hopkins Spreadsheets for Analysis of Validity and Reliability. Sportscience 2015, 19, 36–44. Available online: https://sportsci.org/2017/wghxls.htm (accessed on 10 August 2025).
- Impellizzeri, F.M.; Rampinini, E.; Maffiuletti, N.; Marcora, S.M. A Vertical Jump Force Test for Assessing Bilateral Strength Asymmetry in Athletes. Med. Sci. Sports Exerc. 2007, 39, 2044–2050. [Google Scholar] [CrossRef]
- Bishop, C.; Read, P.; Lake, J.; Chavda, S.; Turner, A. Interlimb Asymmetries: Understanding How to Calculate Differences From Bilateral and Unilateral Tests. Strength Cond. J. 2018, 40, 1–6. [Google Scholar] [CrossRef]
- Reyes-Ferrada, W.; Chirosa-Rios, L.; Chirosa-Rios, I.; Martínez-Garcia, D.; Barboza-gonzalez, P.; Ulloa-Diaz, D.; Jerez-mayorga, D.; Rodríguez-Perea, A. A New Reliable Device to Assess Trunk Extensors Strength. Acta Bioeng. Biomech. 2022, 24, 2022. [Google Scholar] [CrossRef]
- Rodriguez-Perea, A.; Ríos, L.J.C.; Martinez-Garcia, D.; Ulloa-Díaz, D.; Rojas, F.G.; Jerez-Mayorga, D.; Rios, I.J.C. Reliability of Isometric and Isokinetic Trunk Flexor Strength Using a Functional Electromechanical Dynamometer. PeerJ 2019, 2019, e7883. [Google Scholar] [CrossRef]
- García-Buendía, G.; Rodríguez-Perea, Á.; Chirosa-Ríos, I.; Chirosa-Ríos, L.J.; Martínez-García, D. Reliability of Dynamic Shoulder Strength Test Battery Using Multi-Joint Isokinetic Device. Sensors 2024, 24, 3568. [Google Scholar] [CrossRef] [PubMed]
- Bampouras, T.; Marrin, K.; Sankey, S.; Jones, P. Test-Retest Reliability and Sensitivity of the Concept2 Dyno Dynamometer: Practical Applications. J. Strength Cond. Res. 2014, 28, 1381–1385. [Google Scholar] [CrossRef]
- Parolini, F.; Goethel, M.; Robalino, J.; Becker, K.; Sousa, M.; Pulcineli, B.C.; Ervilha, U.F.; Vilas-Boas, J.P.; Santos, R. Precision and Reliability of a Dynamometer for Trunk Extension Strength and Steadiness Assessment. Appl. Sci. 2025, 15, 4081. [Google Scholar] [CrossRef]
- Mula-Pérez, F.; Manzano-Sánchez, D.; Chirosa-Ríos, L.J.; Chirosa-Ríos, I.J.; Rodríguez-Perea, Á. A Specific Test of Starting Blocks: Intrasession and Intersession Reliability of Isometric Strength Using a Functional Electromechanical Dynamometer. Appl. Sci. 2024, 14, 7778. [Google Scholar] [CrossRef]
- Hadzic, V.; Sattler, T.; Veselko, M.; Markovic, G.; Dervisevic, E. Strength Asymmetry of the Shoulders in Elite Volleyball Players. J. Athl. Train. 2014, 49, 338–344. [Google Scholar] [CrossRef]
- Madruga-Parera, M.; Dos’Santos, T.; Bishop, C.; Turner, A.; Blanco, D.; Beltran-Garrido, V.; Moreno-Pérez, V.; Romero-Rodríguez, D. Assessing Inter-Limb Asymmetries in Soccer Players: Magnitude, Direction and Association with Performance. J. Hum. Kinet. 2021, 79, 41–53. [Google Scholar] [CrossRef]
- Theodorou, E.; Christou, M.; Apostolidis, A.; Tryfonidis, M.; Zaras, N.; Hadjicharalambous, M. The Effect of Spinal Asymmetries on Physical Fitness Parameters in Young Elite Soccer Players. Symmetry 2022, 14, 2497. [Google Scholar] [CrossRef]
- Philipp, N.M.; Crawford, D.A.; Garver, M.J.; Strohmeyer, H.S. Evaluating Novel Methods of Classifying Interlimb Asymmetries Within Collegiate American Football Players. Int. J. Exerc. Sci. 2022, 15, 473. [Google Scholar] [CrossRef]
- Bishop, C.; Turner, A.; Read, P. Effects of Inter-Limb Asymmetries on Physical and Sports Performance: A Systematic Review. J. Sports Sci. 2018, 36, 1135–1144. [Google Scholar] [CrossRef] [PubMed]
- Dindorf, C.; Bartaguiz, E.; Janowicz, E.; Fröhlich, M.; Ludwig, O. Effects of Unilateral Muscle Fatigue on Thermographic Skin Surface Temperature of Back and Abdominal Muscles—A Pilot Study. Sports 2022, 10, 41. [Google Scholar] [CrossRef] [PubMed]
- Maloney, S.J. The Relationship Between Asymmetry and Athletic Performance: A Critical Review. J. Strength Cond. Res. 2019, 33, 2579–2593. [Google Scholar] [CrossRef] [PubMed]





| Test (kg) | Retest (kg) | p-Value | ES | CV (95% CI) | SEM (95% CI) | ICC (95% CI) | ||
|---|---|---|---|---|---|---|---|---|
| Dominant | ||||||||
| Average Force | ||||||||
| Isokinetic | Con | 34.6 (10.3) | 36.5 (9.9) | 0.07 | 0.18 | 10.25 (8.13–13.86) | 3.64 (2.89–4.93) | 0.88 (0.76–0.94) | 
| Ecc | 46.2 (16.7) | 56.7 (17.6) | 0.001 | 0.61 | 18.27 (14.50–24.71) | 9.40 (7.46–12.72) | 0.72 (0.48–0.86) | |
| Isometric | 40.2 (13.1) | 41.8 (12.9) | 0.07 | 0.12 | 8.22 (6.57–10.98) | 3.37 (2.69–4.50) | 0.94 (0.87–0.97) | |
| Peak Force | ||||||||
| Isokinetic | Con | 47.5 (15.7) | 56.1 (16.3) | 0.001 | 0.53 | 11.59 (9.20–15.67) | 6.00 (4.76–8.12) | 0.87 (0.74–0.94) | 
| Ecc | 65.2 (22.1) | 73.7 (20.0) | 0.001 | 0.41 | 10.96 (8.70–14.83) | 7.61 (6.04–10.30) | 0.88 (0.76–0.94) | |
| Isometric | 45.9 (14.4) | 46.1 (14.3) | 0.77 | 0.02 | 6.54 (5.22–8.74) | 3.00 (2.40–4.02) | 0.96 (0.92–0.98) | |
| Non-dominant | ||||||||
| Average Force | ||||||||
| Isokinetic | Con | 33.9 (9.6) | 34.2 (8.8) | 0.77 | 0.02 | 7.88 (6.23–10.73) | 2.68 (2.12–3.65) | 0.92 (0.84–0.96) | 
| Ecc | 47.2 (17.2) | 55.5 (17.3) | 0.001 | 0.48 | 12.98 (10.26–17.66) | 6.66 (5.27–9.07) | 0.86 (0.72–0.93) | |
| Isometric | 39.8 (12.2) | 40.4 (12.0) | 0.60 | 0.05 | 9.83 (7.83–13.33) | 3.95 (3.14–5.30) | 0.90 (0.80–0.95) | |
| Peak Force | ||||||||
| Isokinetic | Con | 47.5 (14.7) | 51.9 (14.9) | 0.001 | 0.30 | 9.43 (7.46–12.84) | 4.69 (3.71–6.38) | 0.91 (0.81–0.96) | 
| Ecc | 64.5 (19.8) | 73.2 (19.6) | 0.001 | 0.44 | 9.15 (7.24–12.46) | 6.30 (4.98–8.58) | 0.90 (0.80–0.95) | |
| Isometric | 43.9 (12.9) | 44.2 (13.0) | 0.79 | 0.02 | 8.87 (7.06–11.92) | 3.91 (3.11–5.25) | 0.91 (0.83–0.96) | |
| Dominant with Non-Dominant | ||
|---|---|---|
| Peak Force | Concentric | r = 0.83 *** | 
| Eccentric | ρ = 0.93 *** | |
| Isometric | ρ = 0.90 *** | |
| Average Force | Concentric | ρ = 0.94 *** | 
| Eccentric | ρ = 0.94 *** | |
| Isometric | ρ = 0.90 *** | |
| Dynamic with static force | ||
| Peak Force | Concentric-Isometric Dominant | ρ = 0.89 *** | 
| Eccentric-Isometric Dominant | ρ = 0.93 *** | |
| Concentric-Isometric Non-Dominant | r = 0.76 *** | |
| Eccentric-Isometric Non-Dominant | r = 0.88 *** | |
| Average Force | Concentric-Isometric Dominant | r = 0.88 *** | 
| Eccentric-Isometric Dominant | ρ = 0.95 *** | |
| Concentric-Isometric Non-Dominant | ρ = 0.80 *** | |
| Eccentric-Isometric Non-Dominant | ρ = 0.88 *** | |
| Disclaimer/Publisher’s Note: The statements, opinions and data contained in all publications are solely those of the individual author(s) and contributor(s) and not of MDPI and/or the editor(s). MDPI and/or the editor(s) disclaim responsibility for any injury to people or property resulting from any ideas, methods, instructions or products referred to in the content. | 
© 2025 by the authors. Licensee MDPI, Basel, Switzerland. This article is an open access article distributed under the terms and conditions of the Creative Commons Attribution (CC BY) license (https://creativecommons.org/licenses/by/4.0/).
Share and Cite
Rodríguez-Perea, Á.; Vila, H.; Ferragut, C.; Jerez-Mayorga, D.; Chirosa Ríos, L.J.; García-García, O.; Serrano-Gómez, V. Reliability of the Seated Unilateral Cable Row and Strength Differences Between Dominant and Non-Dominant Sides in Young Athletes. J. Funct. Morphol. Kinesiol. 2025, 10, 390. https://doi.org/10.3390/jfmk10040390
Rodríguez-Perea Á, Vila H, Ferragut C, Jerez-Mayorga D, Chirosa Ríos LJ, García-García O, Serrano-Gómez V. Reliability of the Seated Unilateral Cable Row and Strength Differences Between Dominant and Non-Dominant Sides in Young Athletes. Journal of Functional Morphology and Kinesiology. 2025; 10(4):390. https://doi.org/10.3390/jfmk10040390
Chicago/Turabian StyleRodríguez-Perea, Ángela, Helena Vila, Carmen Ferragut, Daniel Jerez-Mayorga, Luis Javier Chirosa Ríos, Oscar García-García, and Virginia Serrano-Gómez. 2025. "Reliability of the Seated Unilateral Cable Row and Strength Differences Between Dominant and Non-Dominant Sides in Young Athletes" Journal of Functional Morphology and Kinesiology 10, no. 4: 390. https://doi.org/10.3390/jfmk10040390
APA StyleRodríguez-Perea, Á., Vila, H., Ferragut, C., Jerez-Mayorga, D., Chirosa Ríos, L. J., García-García, O., & Serrano-Gómez, V. (2025). Reliability of the Seated Unilateral Cable Row and Strength Differences Between Dominant and Non-Dominant Sides in Young Athletes. Journal of Functional Morphology and Kinesiology, 10(4), 390. https://doi.org/10.3390/jfmk10040390
 
         
                                                





 
       