Learning to Cycle: Body Composition and Balance Challenges in Balance Bikes Versus Training Wheels
Abstract
1. Introduction
2. Materials and Methods
2.1. Stud Design
2.2. Pre-Intervention Assessment
2.2.1. Independent Cycling Assessment
2.2.2. Previous Cycling Experience and Physical Activity Practice
2.2.3. Motor Competence
2.2.4. Body Composition
2.3. Intervention Program Learning to Cycle
2.4. Post-Intervention Assessment
2.5. Sample Characterization
2.6. Data Treatment
3. Results
3.1. Pre-Intervention Assessment
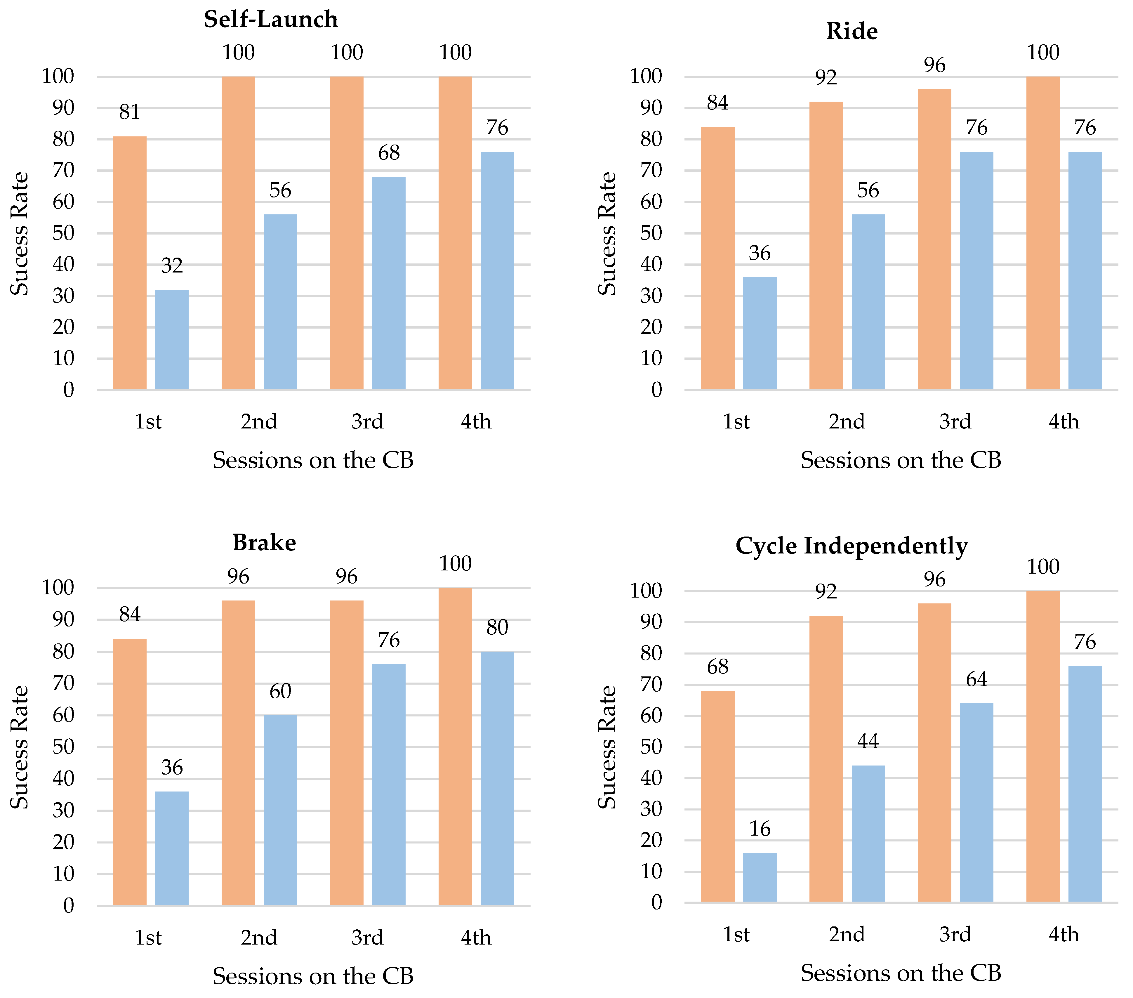
3.2. Intervention Effects on Independent Cycling
3.3. Body Composition and Other Individual Constraints
4. Discussion
5. Conclusions
Author Contributions
Funding
Institutional Review Board Statement
Informed Consent Statement
Data Availability Statement
Acknowledgments
Conflicts of Interest
References
- Hulteen, R.M.; Morgan, P.J.; Barnett, L.M.; Stodden, D.F.; Lubans, D.R. Development of Foundational Movement Skills: A Conceptual Model for Physical Activity Across the Lifespan. Sports Med. 2018, 48, 1533–1540. [Google Scholar] [CrossRef] [PubMed]
- Maher, M.S.; Voss, C.; Ogunleye, A.A.; Micklewright, D.; Sandercock, G.R.H. Recreational Cycling and Cardiorespiratory Fitness in English Youth. Med. Sci. Sports Exerc. 2012, 44, 474–480. [Google Scholar] [CrossRef] [PubMed]
- Jurak, G.; Soric, M.; Sember, V.; Djuric, S.; Starc, G.; Kovac, M.; Leskosek, B. Associations of mode and distance of commuting to school with cardiorespiratory fitness in Slovenian schoolchildren: A nationwide cross-sectional study. BMC Public Health 2021, 21, 291. [Google Scholar] [CrossRef]
- Falconer, C.L.; Leary, S.D.; Page, A.S.; Cooper, A.R. The tracking of active travel and its relationship with body composition in UK adolescents. J. Transp. Health 2015, 2, 483–489. [Google Scholar] [CrossRef]
- Martin-Moraleda, E.; Mandic, S.; Queralt, A.; Romero-Blanco, C.; Aznar, S. Associations among Active Commuting to School and Prevalence of Obesity in Adolescents: A Systematic Review. Int. J. Environ. Res. Public Health 2022, 19, 10852. [Google Scholar] [CrossRef]
- Ramírez-Vélez, R.; García-Hermoso, A.; Agostinis-Sobrinho, C.; Mota, J.; Santos, R.; Correa-Bautista, J.E.; Amaya-Tambo, D.C.; Villa-González, E. Cycling to School and Body Composition, Physical Fitness, and Metabolic Syndrome in Children and Adolescents. J. Pediatr. 2017, 188, 57–63. [Google Scholar] [CrossRef]
- WHO. Walking and Cycling: Latest Evidence to Support Policy—Making and Practice; World Health Organization: Geneva, Switzerland; Regional Office for Europe: Copenhagen, Denmark, 2022. [Google Scholar]
- Karabaic, L. Putting the Fun Before the Wonk: Using Bike Fun to Diversify Bike Ridership; PDXScholar: Portland, OR, USA, 2016. [Google Scholar]
- Orsini, A.; O’Brien, C. Fun, Fast and Fit: Influences and Motivators for Teenagers Who Cycle to School. Child. Youth Environ. 2006, 16, 121–132. [Google Scholar] [CrossRef]
- Smith, M.; Hosking, J.; Woodward, A.; Witten, K.; MacMillan, A.; Field, A.; Baas, P.; Mackie, H. Systematic literature review of built environment effects on physical activity and active transport—An update and new findings on health equity. Int. J. Behav. Nutr. Phys. Act. 2017, 14, 158. [Google Scholar] [CrossRef]
- Brömmelstroet, M.; Boterman, W.; Kuipers, G.; Curtis, C. Handbook of Sustainable Transport. In Chapter 12: How Culture Shapes—and Is Shaped by—Mobility: Cycling Transitions in The Netherlands; Edward Elgar Publishing: Cheltenham, UK, 2020. [Google Scholar]
- Figueiredo, N.; Rodrigues, F.; Morouco, P.; Monteiro, D. Active Commuting: An Opportunity to Fight Both Climate Change and Physical Inactivity. Sustainability 2021, 13, 4290. [Google Scholar] [CrossRef]
- Temple, V.A.; Purves, P.L.; Misovic, R.; Lewis, C.J.; DeBoer, C. Barriers and Facilitators for Generalizing Cycling Skills Learned at Camp to Home. Adapt. Phys. Act. Q. 2016, 33, 48–65. [Google Scholar] [CrossRef]
- Dunford, C.; Rathmell, S.R.; Bannigan, K. Learning to ride a bike: Developing a therapeutic intervention. Child. Young People Fam. Occup. Ther. J. 2017, 20, 10–18. [Google Scholar]
- Mercê, C.; Branco, M.; Catela, D.; Lopes, F.; Cordovil, R. Learning to Cycle: From Training Wheels to Balance Bike. Int. J. Environ. Res. Public Health 2022, 19, 1814. [Google Scholar] [CrossRef] [PubMed]
- Mercê, C.; Branco, M.; Catela, D.; Lopes, F.; Rodrigues, L.P.; Cordovil, R. Learning to Cycle: Are Physical Activity and Birth Order Related to the Age of Learning How to Ride a Bicycle? Children 2021, 8, 487. [Google Scholar] [CrossRef] [PubMed]
- Mercê, C.; Pereira, J.V.; Branco, M.; Catela, D.; Cordovil, R. Training programmes to learn how to ride a bicycle independently for children and youths: A systematic review. Phys. Educ. Sport Pedagog. 2021, 28, 530–545. [Google Scholar] [CrossRef]
- Newell, K.M. Constraints on the development of coordination. In Motor Development in Children: Aspects of Coordination and Control; Wade, H.T.A.W.M.G., Ed.; Martinus Nijhoff: Dordrech, The Netherlands, 1986; pp. 341–360. [Google Scholar]
- Cain, S.M.; Ulrich, D.; Perkins, N. Using Measured Bicycle Kinematics to Quantify Increased Skill as a Rider Learns to Ride a Bicycle. In Proceedings of the ASME 2012 5th Annual Dynamic Systems and Control Conference joint with the JSME 2012 11th Motion and Vibration Conference, Fort Lauderdale, FL, USA, 17–19 October 2012. [Google Scholar]
- Hauck, J.; Jeong, I.; Esposito, P.; MacDonald, M.; Hornyak, J.; Argento, A.; Ulrich, D.A. Benefits of Learning to Ride a Two-Wheeled Bicycle for Adolescents with Down Syndrome and Autism Spectrum Disorder. Palaestra 2017, 31, 35. [Google Scholar]
- Hawks, Z.; Constantino, J.N.; Weichselbaum, C.; Marrus, N. Accelerating Motor Skill Acquisition for Bicycle Riding in Children with ASD: A Pilot Study. J. Autism Dev. Disord. 2020, 50, 342–348. [Google Scholar] [CrossRef]
- MacDonald, M.; Esposito, P.; Hauck, J.; Jeong, I.; Hornyak, J.; Argento, A.; Ulrich, D.A. Bicycle Training for Youth With Down Syndrome and Autism Spectrum Disorders. Focus Autism Other Dev. Disabil. 2012, 27, 12–21. [Google Scholar] [CrossRef]
- Ulrich, D.A.; Burghardt, A.R.; Lloyd, M.; Tiernan, C.; Hornyak, J.E. Physical activity benefits of learning to ride a two-wheel bicycle for children with Down syndrome: A randomized trial. Phys. Ther. 2011, 91, 1463–1477. [Google Scholar] [CrossRef]
- Burt, T.L.; Porretta, D.P.; Klein, R.E. Use of Adapted Bicycles on the Learning of Conventional Cycling by Children with Mental Retardation. Educ. Train. Dev. Disabil. 2007, 42, 364–379. [Google Scholar]
- Andrews, E. Pedal Your Way Through the Bicycle’s Bumpy History. Available online: https://www.history.com/news/bicycle-history-invention (accessed on 2 August 2021).
- Mercê, C.; Cordovil, R.; Catela, D.; Galdino, F.; Bernardino, M.; Altenburg, M.; António, G.; Brígida, N.; Branco, M. Learning to Cycle: Is Velocity a Control Parameter for Children’s Cycle Patterns on the Balance Bike? Children 2022, 9, 1937. [Google Scholar] [CrossRef]
- Shim, A.L.; Norman, S. Incorporating Pedal-less Bicycles into a Pre-K through Third-grade Curriculum to Improve Stability in Children. J. Phys. Educ. Recreat. Danc. 2015, 86, 50–51. [Google Scholar] [CrossRef]
- Teasdale, N.; Simoneau, M.; Corbeil, P.; Handrigan, G.; Tremblay, A.; Hue, O. Obesity Alters Balance and Movement Control. Curr. Obes. Rep. 2013, 2, 235–240. [Google Scholar] [CrossRef]
- D’Hondt, E.; Deforche, B.; De Bourdeaudhuij, I.; Lenoir, M. Childhood obesity affects fine motor skill performance under different postural constraints. Neurosci. Lett. 2008, 440, 72–75. [Google Scholar] [CrossRef]
- Kakebeeke, T.H.; Lanzi, S.; Zysset, A.E.; Arhab, A.; Messerli-Bürgy, N.; Stuelb, K.; Leeger-Aschmann, C.S.; Schmutz, E.A.; Meyer, A.H.; Kriemler, S.; et al. Association between Body Composition and Motor Performance in Preschool Children. Obes. Facts 2017, 10, 420–431. [Google Scholar] [CrossRef]
- Alaniz-Arcos, J.L.; Ortiz-Cornejo, M.E.; Larios-Tinoco, J.O.; Klünder-Klünder, M.; Vidal-Mitzi, K.; Gutiérrez-Camacho, C. Differences in the absolute muscle strength and power of children and adolescents with overweight or obesity: A systematic review. BMC Pediatr. 2023, 23, 474. [Google Scholar] [CrossRef]
- Zembura, M.; Czepczor-Bernat, K.; Dolibog, P.; Dolibog, P.T.; Matusik, P. Skeletal muscle mass, muscle strength, and physical performance in children and adolescents with obesity. Front. Endocrinol. 2023, 14, 474. [Google Scholar] [CrossRef]
- Calcaterra, V.; Marin, L.; Vandoni, M.; Rossi, V.; Pirazzi, A.; Grazi, R.; Patané, P.; Silvestro, G.S.; Carnevale Pellino, V.; Albanese, I.; et al. Childhood Obesity and Incorrect Body Posture: Impact on Physical Activity and the Therapeutic Role of Exercise. Int. J. Environ. Res. Public Health 2022, 19, 16728. [Google Scholar] [CrossRef]
- Barros, W.M.A.; Silva, K.G.d.; Silva, R.K.P.; Souza, A.P.d.S.; Silva, A.B.J.d.; Silva, M.R.M.; Fernandes, M.S.d.S.; Souza, S.L.d.; Souza, V.d.O.N. Effects of Overweight/Obesity on Motor Performance in Children: A Systematic Review. Front. Endocrinol. 2022, 12, 759165. [Google Scholar] [CrossRef]
- Stodden, D.F.; Goodway, J.D.; Langendorfer, S.J.; Roberton, M.A.; Rudisill, M.E.; Garcia, C.; Garcia, L.E. A Developmental Perspective on the Role of Motor Skill Competence in Physical Activity: An Emergent Relationship. Quest 2008, 60, 290–306. [Google Scholar] [CrossRef]
- Liu, C.; Cao, Y.; Zhang, Z.; Gao, R.; Qu, G. Correlation of fundamental movement skills with health-related fitness elements in children and adolescents: A systematic review. Front. Public Health 2023, 11, 1129258. [Google Scholar] [CrossRef]
- Mercê, C.; Davids, K.; Catela, D.; Branco, M.; Correia, V.; Cordovil, R. Learning to cycle: A constraint-led intervention programme using different cycling task constraints. Phys. Educ. Sport Pedagog. 2023, 2023, 2185599. [Google Scholar] [CrossRef]
- Rodrigues, L.P.; Cordovil, R.; Luz, C.; Lopes, V.P. Model invariance of the Motor Competence Assessment (MCA) from early childhood to young adulthood. J. Sports Sci. 2021, 39, 2353–2360. [Google Scholar] [CrossRef] [PubMed]
- Luz, C.; Rodrigues, L.P.; Almeida, G.; Cordovil, R. Development and validation of a model of motor competence in children and adolescents. J. Sci. Med. Sport 2016, 19, 568–572. [Google Scholar] [CrossRef] [PubMed]
- Rodrigues, L.P.; Luz, C.; Cordovil, R.; Bezerra, P.; Silva, B.; Camões, M.; Lima, R. Normative values of the motor competence assessment (MCA) from 3 to 23 years of age. J. Sci. Med. Sport 2019, 22, 1038–1043. [Google Scholar] [CrossRef]
- WHO. WHO Child Growth Standards based on length/height, weight and age. Acta Paediatr. Suppl. 2006, 450, 76–85. [Google Scholar] [CrossRef]
- Norton, K.; Eston, R.G. Kinanthropometry and Exercise Physiology; Routledge: London, UK, 2019. [Google Scholar]
- Davids, K.; Button, C.; Bennett, S. Dynamics of Skill Acquisition: A Constraints-Led Approach; Human Kinetics: Champaign, IL, USA, 2008; pp. 1–28. [Google Scholar]
- Renshaw, I.; Chow, J.Y. A constraint-led approach to sport and physical education pedagogy. Phys. Educ. Sport Pedagog. 2019, 24, 103–116. [Google Scholar] [CrossRef]
- Chow, J.Y. Nonlinear Learning Underpinning Pedagogy: Evidence, Challenges, and Implications. Quest 2013, 65, 469–484. [Google Scholar] [CrossRef]
- Correia, V.; Carvalho, J.; Araújo, D.; Pereira, E.; Davids, K. Principles of nonlinear pedagogy in sport practice. Phys. Educ. Sport Pedagog. 2019, 24, 117–132. [Google Scholar] [CrossRef]
- Renshaw, I.; Chow, J.Y.; Davids, K.; Hammond, J. A constraints-led perspective to understanding skill acquisition and game play: A basis for integration of motor learning theory and physical education praxis? Phys. Educ. Sport Pedagog. 2010, 15, 117–137. [Google Scholar] [CrossRef]
- Chow, J.Y.; Davids, K.; Button, C.; Shuttleworth, R.; Renshaw, I.; Araújo, D. The role of nonlinear pedagogy in physical education. Rev. Educ. Res. 2007, 77, 251–278. [Google Scholar] [CrossRef]
- Denzin, N.K.; Lincoln, Y.S. The Sage Handbook of Qualitative Research, 3rd ed.; Sage: Thousand Oaks, CA, USA, 2005. [Google Scholar]
- Moy, B.; Renshaw, I.; Davids, K.; Brymer, E. Preservice teachers implementing a nonlinear physical education pedagogy. Phys. Educ. Sport Pedagog. 2019, 24, 565–581. [Google Scholar] [CrossRef]
- Spinks, A.; Turner, C.; McClure, R.; Acton, C.; Nixon, J. Community-based programmes to promote use of bicycle helmets in children aged 0–14 years: A systematic review. Int. J. Inj. Control Saf. Promot. 2005, 12, 131–142. [Google Scholar] [CrossRef] [PubMed]
- Field, A. Discovering Statistics Using IBM SPSS Statistics; SAGE Publications: Thousand Oaks, CA, USA, 2013. [Google Scholar]
- Presidência do Conselho de Ministros. Resolução do Conselho de Ministros n.º 131/2019; Imprensa Nacional-Casa da Moeda: Lisbon, Portugal, 2019. [Google Scholar]
- Zeuwts, L.; Deconinck, F.; Vansteenkiste, P.; Cardon, G.; Lenoir, M. Understanding the development of bicycling skills in children: A systematic review. Saf. Sci. 2020, 123, 104562. [Google Scholar] [CrossRef]
- Zeuwts, L.; Ducheyne, F.; Vansteenkiste, P.; D’Hondt, E.; Cardon, G.; Lenoir, M. Associations between cycling skill, general motor competence and body mass index in 9-year-old children. Ergonomics 2015, 58, 160–171. [Google Scholar] [CrossRef]
- Newell, K.M.; Mcdonald, P.V. Learning to Coordinate Redundant Biomechanical Degrees of Freedom. In Interlimb Coordination: Neural, Dynamical, and Cognitive Constraints; Swinnen, S., Massion, J., Heuer, H., Casaer, P., Eds.; Academic Press: London, UK, 1994. [Google Scholar]
- Berthouze, L.; Lungarella, M. Motor Skill Acquisition Under Environmental Perturbations: On the Necessity of Alternate Freezing and Freeing of Degrees of Freedom. Adapt. Behav. 2004, 12, 47–64. [Google Scholar] [CrossRef]
- Becker, A.; Jenny, S.E. No Need for Training Wheels: Ideas for Including Balance Bikes in Elementary Physical Education. J. Phys. Educ. Recreat. Danc. 2017, 88, 14–21. [Google Scholar] [CrossRef]
- Ballantine, R. The Ultimate Bicycle Book; Dorling Kindersley: UK, London, 1992. [Google Scholar]
- Button, C.; Seifert, L.; Chow, J.Y.; Araújo, D.; Davids, K. Dynamics of Skill Acquisition: An Ecological Dynamics Approach, 2nd ed.; Human Kinetics: Champaign, IL, USA, 2020. [Google Scholar]
- Chow, J.Y.; Davids, K.; Button, C.; Renshaw, I. Nonlinear Pedagogy in Skill Acquisition: An Introduction, 2nd ed.; Routledge: New York, NY, USA, 2022; p. pages cm. [Google Scholar]
- Webster, E.K.; Sur, I.; Stevens, A.; Robinson, L.E. Associations between body composition and fundamental motor skill competency in children. BMC Pediatr. 2021, 21, 444. [Google Scholar] [CrossRef]

| BB Group (n = 25) | BTW Group (n = 25) | Total (n = 50) | Comparison Between Groups | ||||
|---|---|---|---|---|---|---|---|
| M ± SD | Mdn | M ± SD | Mdn | M ± SD | Mdn | p | |
| Age (years) | 5.85 ± 0.98 | 5.81 | 5.84 ± 0.90 | 5.68 | 5.85 ± 0.93 | 5.73 | 0.603 |
| Height (m) | 1.16 ± 0.09 | 1.17 | 1.12 ± 0.06 | 1.12 | 1.14 ± 0.08 | 1.13 | 0.089 |
| Weight (kg) | 22.68 ± 7.18 | 20.10 | 21.6 ± 5.10 | 19.75 | 22.15 ± 6.21 | 20.10 | 0.645 |
| BMI (kg/m2) | 16.64 ± 3.24 | 15.93 | 17.05 ± 3.88 | 15.87 | 16.93 ± 3.53 | 15.93 | 0.764 |
| BMI’s percentile | 57.06 ± 36.12 | 61.30 | 60.91 ± 30.98 | 66.11 | 58.91 ± 33.45 | 65 | 0.726 |
| MC’s score (mean percentile) | 46.22 ± 19.39 | 43.72 | 41.67 ± 18.09 | 38.93 | 43.94 ± 18.69 | 39.53 | 0.458 |
| Percentage | Percentage | Percentage | |||||
| Low weight | 12% | 4% | 8% | ||||
| Normal weight | 56% | 72% | 64% | ||||
| Overweight | 12% | 0% | 6% | ||||
| Obesity | 20% | 24% | 22% | ||||
| Sessions to Acquire | BB Group | BTW Group | Total | Comparison | |||
|---|---|---|---|---|---|---|---|
| M ± SD | Mdn | M ± SD | Mdn | M ± SD | Mdn | p Values | |
| Self-launch | 1.19 ± 0.40 | 1 | 1.95 ± 1.03 | 2 | 1.55 ± 0.85 | 1 | 0.006 |
| Ride | 1.28 ± 0.74 | 1 | 1.79 ± 0.86 | 2 | 1.50 ± 0.82 | 1 | 0.015 |
| Brake | 1.24 ± 0.66 | 1 | 1.85 ± 0.93 | 2 | 1.51 ± 0.84 | 1 | 0.006 |
| Independent cycling | 1.44 ± 0.77 | 1 | 2.42 ± 1.12 | 2 | 1.86 ± 1.05 | 2 | 0.001 |
| Success Rate | Percentage | Percentage | Percentage | ||||
| 100% | 76% | 88% | |||||
| Sessions to Acquire | Low Weight | Normal | Overweight | Obesity | ||||
|---|---|---|---|---|---|---|---|---|
| M ± SD | Mdn | M ± SD | Mdn | M ± SD | Mdn | M ± SD | Mdn | |
| Self-launch | 1.67 ± 0.58 | 2 | 1.56 ± 0.96 | 1 | 1 ± 1 | 1 | 1.6 ± 0.70 | 1.50 |
| Ride | 1 ± 1 | 1 | 1.45 ± 0.87 | 1 | 1 ± 1 | 1 | 2 ± 0.71 | 2 |
| Brake | 1 ± 1 | 1 | 1.40 ± 0.82 | 1 | 1 ± 1 | 1 | 1.70 ± 0.82 | 1.5 |
| Independent cycling | 1.67 ± 0.58 | 2 | 1.68 ± 0.99 | 1 | 1 ± 1 | 1 | 2.40 ± 1.17 | 2 |
| Cycle Milestone | Group | Low Weight | Normal | Overweight | Obesity | ||||
|---|---|---|---|---|---|---|---|---|---|
| M ± SD | Mdn | M ± SD | Mdn | M ± SD | Mdn | M ± SD | Mdn | ||
| Self-launch | BB | 1.67 ± 0.58 | 2 | 1 ± 0 | 1 | 1 ± 0 | 1 | 1.4 ± 0.55 | 1 |
| BTW | * | * | 2 ± 1.11 | 2 | 1.8 ± 0.84 | 2 | |||
| Ride | BB | 1 ± 1 | 1 | 1.21 ± 0.80 | 1 | 1 ± 0 | 1 | 1.8 ± 0.84 | 2 |
| BTW | * | * | 1.67 ± 0.9 | 1 | 2.25 ± 0.5 | 2 | |||
| Brake | BB | 1 ± 1 | 1 | 1.29 ± 0.83 | 1 | 1.33 ± 0.58 | 1 | 1.2 ± 0.48 | 1 |
| BTW | * | * | 1.71 ± 0.99 | 1 | 2.17 ± 0.75 | 2 | |||
| Independent cycling | BB | 1.67 ± 0.58 | 2 | 1.29 ± 0.83 | 1 | 1.33 ± 0.58 | 1 | 1.8 ± 0.84 | 2 |
| BTW | * | * | 2.21 ± 1.05 | 2 | 3 ± 1.22 | 3 | |||
Disclaimer/Publisher’s Note: The statements, opinions and data contained in all publications are solely those of the individual author(s) and contributor(s) and not of MDPI and/or the editor(s). MDPI and/or the editor(s) disclaim responsibility for any injury to people or property resulting from any ideas, methods, instructions or products referred to in the content. |
© 2025 by the authors. Licensee MDPI, Basel, Switzerland. This article is an open access article distributed under the terms and conditions of the Creative Commons Attribution (CC BY) license (https://creativecommons.org/licenses/by/4.0/).
Share and Cite
Mercê, C.; Catela, D.; Cordovil, R.; Bernardino, M.; Branco, M. Learning to Cycle: Body Composition and Balance Challenges in Balance Bikes Versus Training Wheels. J. Funct. Morphol. Kinesiol. 2025, 10, 53. https://doi.org/10.3390/jfmk10010053
Mercê C, Catela D, Cordovil R, Bernardino M, Branco M. Learning to Cycle: Body Composition and Balance Challenges in Balance Bikes Versus Training Wheels. Journal of Functional Morphology and Kinesiology. 2025; 10(1):53. https://doi.org/10.3390/jfmk10010053
Chicago/Turabian StyleMercê, Cristiana, David Catela, Rita Cordovil, Mafalda Bernardino, and Marco Branco. 2025. "Learning to Cycle: Body Composition and Balance Challenges in Balance Bikes Versus Training Wheels" Journal of Functional Morphology and Kinesiology 10, no. 1: 53. https://doi.org/10.3390/jfmk10010053
APA StyleMercê, C., Catela, D., Cordovil, R., Bernardino, M., & Branco, M. (2025). Learning to Cycle: Body Composition and Balance Challenges in Balance Bikes Versus Training Wheels. Journal of Functional Morphology and Kinesiology, 10(1), 53. https://doi.org/10.3390/jfmk10010053

