The Optimal Daily Dispatch of Ice-Storage Air-Conditioning Systems
Abstract
1. Introduction
2. Problem Description
2.1. The Cooling Load of the Chiller
2.2. Ice-Storage Cooling System
3. Solution Algorithms
3.1. The Models of Chillers and Ice-Storage Tanks
3.2. Ant-Based Radial Basis Function Network (ARBFN)
- (1)
- Use the ACO algorithm to compute the 24-h switching state of each chiller.
- (2)
- The operating parameters of each chiller are used by the NO.1 to NO.6 chiller net to calculate their individual power consumption and cooling load capacity. For the ice-storage tank, the ice-storage operation consists of a total of nine hours from 22:00 to 06:00 the next day. The operating parameters are used by the charging process net to calculate the power consumption and ice-storage volume. From 07:00 to 21:00, the ice-melting operation occurs for a total of 15 h. The operating parameters are then used by the discharge process net to calculate the cooling load capacity and the amount of melting ice.
- (3)
- The sum of the cooling load capacity of all chillers and ice-storage tanks should also meet the required cooling load of the system in each time period. The total power consumption multiplied by the electricity price per time is the sum of the total cost.
4. Simulation Results
4.1. Least-Squares Regression (LSR) Model Verification
4.2. ARBFN Model Verification
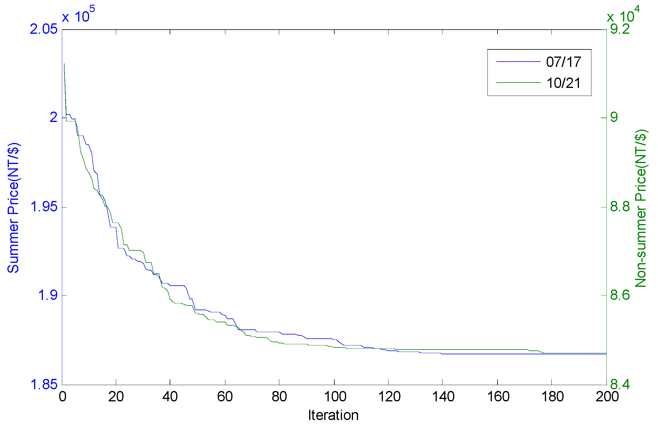
4.3. The Dispatch of ICE-Storage Air-Conditioning System
5. Conclusions
Author Contributions
Funding
Institutional Review Board Statement
Informed Consent Statement
Data Availability Statement
Conflicts of Interest
Nomenclature
| The specific heat of chilled water (4.186 kJ/kg) | |
| Liter per minute of chilled water, 1 RT = 10 LPM | |
| Liter per minute of ice-storage water control valve | |
| The liters per minute lower bound of ice-storage water | |
| The liters per minute upper bound of ice-storage water | |
| The power consumption of the chiller (kW) | |
| The power consumption of the i-th chiller during hour t | |
| The power price of a chiller during hour t | |
| The power consumption of the ice storage during hour t | |
| The power price of ice storage during hour t | |
| Cooling load of the ice storage (kJ/h) | |
| The return temperature of the ice-storage water (°C) | |
| The supply temperature of the ice-storage water (°C) | |
| The supply temperature of chilled water (°C) | |
| The return temperature of brine chiller cooling water (°C) | |
| The supply temperature of brine chiller cooling water (°C) | |
| The return temperature of chilled water (°C) | |
| The return temperature of brine chiller water (°C) | |
| The supply temperature of brine chiller water (°C) | |
| The i-th chiller on/off during the hour t | |
| The temperature difference of chilled water (K) | |
| The temperature differences of the lower bound of chilled water (°C) | |
| The temperature differences of the upper bound of chilled water (°C) | |
| The temperature difference of ice-storage water (°C) | |
| The temperature differences of the lower bound of ice-storage water (°C) | |
| The temperature differences of the upper bound of ice-storage water (°C) | |
| The temperature difference of brine chiller water (°C) | |
| The temperature difference of brine chiller cooling water (°C) | |
| The density of chilled water (1 kg/L) |
References
- Bureau of Energy, Ministry of Economic Affairs. The White Paper for the Long-Term Load Forecasting and Power Development Planning. Available online: http://data.gov.tw)dataset/16437 (accessed on 1 December 2021).
- Ben, K. Numerical study of the thermal behavior of a composite phase change Material (PCM) room. Eng. Technol. Appl. Sci. Res. 2018, 8, 2663–2667. [Google Scholar]
- Du, Y.; Gai, W.; Jin, L.; Sheng, W. Thermal comfort model analysis and optimization performance evaluation of a multifunctional ice storage air conditioning system in a confined mine refuge chamber. Energy 2017, 141, 964–974. [Google Scholar] [CrossRef]
- Sohrabi, F.; Heris, M.; Ivatloo, B.; Asadi, S. Optimal chiller loading for saving energy by exchange market algorithm. Energy Build. 2018, 169, 245–253. [Google Scholar] [CrossRef]
- Chang, Y.C.; Chan, T.S.; Lee, W.S. Economic dispatch of chiller plant by gradient method for saving energy. Appl. Energy 2010, 87, 1096–1101. [Google Scholar] [CrossRef]
- Chen, C.L.; Chang, Y.C.; Chan, T.S. Applying smart models for energy saving in optimal chiller loading. Energy Build. 2014, 68, 364–371. [Google Scholar] [CrossRef]
- Wang, Y.; Jin, X.; Shi, W.; Wang, J. Online chiller loading strategy based on the near-optimal performance map for energy conservation. Appl. Energy 2019, 238, 1444–1451. [Google Scholar] [CrossRef]
- Zheng, Z.X.; Li, J.Q. Optimal chiller loading by improved invasive weed optimization algorithm for reducing energy consumption. Energy Build. 2018, 161, 80–88. [Google Scholar] [CrossRef]
- Chang, Y.C.; Lee, C.Y.; Chen, C.R.; Chou, C.J.; Chen, W.H.; Chen, W.H. Evolution strategy based optimal chiller loading for saving energy. Energy Convers. Manag. 2009, 50, 132–139. [Google Scholar] [CrossRef]
- Li, N.; Xia, L.; Shiming, D.; Xu, X.; Yin, M. Dynamic modeling and control of a direct expansion air conditioning system using artificial neural network. Appl. Energy 2012, 91, 290–300. [Google Scholar] [CrossRef]
- Chang, Y.C. An innovative approach for demand side management optimal chiller loading by simulated annealing. Energy 2006, 31, 1883–1896. [Google Scholar] [CrossRef]
- Lee, W.S.; Chen, Y.T.; Kao, Y. Optimal chiller loading by differential evolution algorithm for reducing energy consumption. Energy Build. 2011, 43, 599–604. [Google Scholar] [CrossRef]
- Lin, C.M.; Wu, C.Y.; Tseng, K.Y.; Ku, C.C.; Lin, S.F. Applying Two-Stage Differential Evolution for Energy Saving in Optimal Chiller Loading. Energies 2019, 12, 622. [Google Scholar] [CrossRef]
- Lee, W.S.; Lin, L.C. Optimal chiller loading by particle swarm algorithm for reducing energy consumption. Appl. Therm. Eng. 2009, 19, 1730–1734. [Google Scholar] [CrossRef]
- Ozcan, H.; Ozdemir, K.; Ciloglu, H. Optimum cost of an air cooling system by using differential evolution and particle swarm algorithms. Energy Build. 2013, 65, 93–100. [Google Scholar] [CrossRef]
- Sulaiman, M.H.; Mustaffa, Z. Optimal chiller loading solution for energy conservation using Barnacles Mating Optimizer algorithm. Results Control Optim. 2022, 7, 100109. [Google Scholar] [CrossRef]
- Freitas, A.A.; Lima, T.M.; Gaspar, P.D. Ergonomic Risk Minimization in the Portuguese Wine Industry: A Task Scheduling Optimization Method Based on the Ant Colony Optimization Algorithm. Processes 2022, 10, 1364. [Google Scholar] [CrossRef]
- Mullen, R.J.; Monekosso, D.; Barman, S.; Remagnino, P. A review of ant algorithms. Expert Syst. Appl. 2009, L36, 9608–9617. [Google Scholar] [CrossRef]
- Homer, L.G.; David, J.P.A.; Gonzalez, S.G.; Mario, C.S. Multivariate statistical inference in a radial basis function neural network. Expert Syst. Appl. 2021, 93, 313–321. [Google Scholar]
- Taiwan Power Company (TPC). Time-of-Use Rate for Contract Customers. Available online: https://www.taipower.com.tw/tc/page.aspx?mid=238 (accessed on 1 April 2022).










| Unit | a | b | c | d |
|---|---|---|---|---|
| 65.7772 | 0.196085 | 1.3707 × 10−8 | 1.249 × 10−9 | |
| 128.7969 | 0.044904 | 0.000113908 | −2.628 × 10−8 | |
| 68.2033 | 0.141784 | 4.13921 × 10−5 | −7.599 × 10−9 | |
| 107.7250 | 0.118114 | 1.87115 × 10−5 | −1.467 × 10−9 | |
| 623.2087 | −0.455524 | 0.000228205 | −2.660 × 10−8 | |
| 101.5365 | 0.085082 | 6.87455 × 10−5 | −1.141 × 10−8 | |
| 2204.5246 | −24.353361 | 0.092520429 | −0.0001022 | |
| −21.7173 | 0.220563 | 5.53312 × 10−5 | −1.591 × 10−8 |
| Method | Number of Training Data | Number of Test Data | MAPE (%) | Number of Training Data | Number of Test Data | MAPE (%) |
|---|---|---|---|---|---|---|
| ARBFN | 117 | 11 | 1.062 | 106 | 22 | 2.048 |
| RBFN | 117 | 11 | 2.431 | 106 | 22 | 4.779 |
| BPN | 117 | 11 | 4.679 | 106 | 22 | 8.547 |
| Hour | Actual | ARBFN | LSR | ||
|---|---|---|---|---|---|
| Power (kW) | Power (kW) | 1 Error (%) | Power (kW) | 2 Error (%) | |
| 22 | 3023.882 | 3073.545 | 1.64 | 3336.999 | 10.35 |
| 23 | 3224.135 | 3114.188 | 3.41 | 3380.314 | 4.84 |
| 24 | 3213.706 | 3116.380 | 3.03 | 3339.555 | 3.92 |
| 1 | 3145.202 | 3083.166 | 1.97 | 3324.830 | 5.71 |
| 2 | 3179.706 | 3041.616 | 4.34 | 3326.815 | 4.63 |
| 3 | 3131.653 | 3031.975 | 3.18 | 3298.529 | 5.33 |
| 4 | 2745.719 | 2882.666 | 4.99 | 3060.697 | 11.47 |
| 5 | 2828.079 | 2761.755 | 2.35 | 2940.212 | 3.97 |
| 6 | 2641.276 | 2673.040 | 1.20 | 2791.609 | 5.69 |
| 7 | 2024.825 | 1928.986 | 4.73 | 2168.484 | 7.09 |
| 8 | 2583.937 | 2595.920 | 0.46 | 2892.467 | 11.94 |
| 9 | 2608.795 | 2544.626 | 2.46 | 2824.032 | 8.25 |
| 10 | 2447.217 | 2478.641 | 1.28 | 2610.111 | 6.66 |
| 11 | 2446.248 | 2516.830 | 2.89 | 2660.329 | 8.75 |
| 12 | 2406.625 | 2530.431 | 5.14 | 2673.871 | 11.10 |
| 13 | 2828.901 | 2708.706 | 4.25 | 3027.895 | 7.03 |
| 14 | 2728.399 | 2619.541 | 3.99 | 2778.751 | 1.85 |
| 15 | 2671.204 | 2606.755 | 2.41 | 2846.374 | 6.56 |
| 16 | 3409.064 | 3248.773 | 4.70 | 3490.559 | 2.39 |
| 17 | 3130.662 | 3160.913 | 0.97 | 3468.779 | 10.80 |
| 18 | 3122.562 | 3205.378 | 2.65 | 3424.233 | 9.66 |
| 19 | 3208.062 | 3069.716 | 4.31 | 3362.217 | 4.81 |
| 20 | 2816.290 | 2741.367 | 2.66 | 3012.843 | 6.98 |
| 21 | 2915.637 | 2827.455 | 3.02 | 3014.334 | 3.39 |
| Total (kW) | 68,481.79 | 67,562.37 | 1.34 | 73,054.84 | 6.68 |
| Cost NT$ | 194,726 | 192,310 | 1.24 | 181,517 | 6.78 |
| Hour | Actual | ARBFN | LSR | ||
|---|---|---|---|---|---|
| Power (kW) | Power (kW) | 1 Error (%) | Power (kW) | 2 Error (%) | |
| 22 | 2071.718 | 2019.278 | 2.53 | 2004.281 | 3.26 |
| 23 | 2183.114 | 2113.548 | 3.19 | 2111.880 | 3.26 |
| 24 | 2151.736 | 2172.034 | 0.94 | 2163.087 | 0.53 |
| 1 | 2048.908 | 2134.770 | 4.19 | 2177.811 | 6.29 |
| 2 | 2022.306 | 2085.315 | 3.12 | 2116.379 | 4.65 |
| 3 | 2087.035 | 2093.330 | 0.30 | 2113.926 | 1.29 |
| 4 | 1984.494 | 2086.231 | 5.13 | 2070.827 | 4.35 |
| 5 | 2081.175 | 2030.614 | 2.43 | 1968.841 | 5.40 |
| 6 | 1953.010 | 1955.428 | 0.12 | 1936.210 | 0.86 |
| 7 | 1234.242 | 1184.907 | 4.00 | 914.504 | 25.91 |
| 8 | 1535.591 | 1495.657 | 2.60 | 1346.210 | 12.33 |
| 9 | 1540.546 | 1591.767 | 3.32 | 1546.554 | 0.39 |
| 10 | 1566.713 | 1594.757 | 1.79 | 1407.467 | 10.16 |
| 11 | 1688.817 | 1669.943 | 1.12 | 1672.489 | 0.97 |
| 12 | 1693.599 | 1711.994 | 1.09 | 1594.723 | 5.84 |
| 13 | 1803.121 | 1843.776 | 2.25 | 1885.726 | 4.58 |
| 14 | 1585.353 | 1653.696 | 4.31 | 1413.713 | 10.83 |
| 15 | 1472.108 | 1537.330 | 4.43 | 1328.556 | 9.75 |
| 16 | 1596.275 | 1671.406 | 4.71 | 1441.107 | 9.72 |
| 17 | 1435.071 | 1447.220 | 0.85 | 1050.250 | 26.82 |
| 18 | 1423.891 | 1417.715 | 0.43 | 1078.923 | 24.23 |
| 19 | 1395.253 | 1434.252 | 2.80 | 995.708 | 28.64 |
| 20 | 1409.325 | 1356.831 | 3.72 | 1313.006 | 6.83 |
| 21 | 1493.497 | 1438.046 | 3.71 | 1426.941 | 4.46 |
| Total (kW) | 41,456.900 | 41,739.850 | 0.68 | 39,079.120 | 5.74 |
| Cost (NT$) | 91,457 | 92,249 | 0.87 | 98,605 | 7.25 |
| Hour | Summer Day | Non-Summer Day | |||||||||||
|---|---|---|---|---|---|---|---|---|---|---|---|---|---|
| No.1 | No.1 | No.2 | No.3 | No.4 | No.5 | No.6 | No.1 | No.2 | No.3 | No.4 | No.5 | No.6 | |
| 1 | 0 | 1 | 1 | 1 | 1 | 1 | 0 | 0 | 1 | 0 | 1 | 1 | 1 |
| 2 | 1 | 1 | 1 | 0 | 1 | 1 | 1 | 1 | 0 | 0 | 1 | 0 | 1 |
| 3 | 1 | 1 | 1 | 1 | 1 | 0 | 1 | 1 | 0 | 1 | 1 | 0 | 1 |
| 4 | 0 | 1 | 1 | 1 | 1 | 0 | 0 | 1 | 1 | 0 | 1 | 1 | 1 |
| 5 | 0 | 1 | 0 | 1 | 1 | 1 | 0 | 1 | 1 | 0 | 1 | 0 | 1 |
| 6 | 0 | 1 | 1 | 0 | 1 | 1 | 0 | 1 | 0 | 1 | 1 | 1 | 0 |
| 7 | 0 | 0 | 1 | 1 | 1 | 0 | 0 | 1 | 0 | 0 | 0 | 0 | 1 |
| 8 | 0 | 0 | 1 | 1 | 1 | 1 | 0 | 0 | 0 | 1 | 0 | 1 | 1 |
| 9 | 0 | 0 | 0 | 1 | 1 | 1 | 0 | 0 | 1 | 1 | 1 | 0 | 1 |
| 10 | 0 | 0 | 1 | 1 | 1 | 1 | 0 | 0 | 0 | 1 | 1 | 1 | 0 |
| 11 | 1 | 1 | 1 | 0 | 1 | 1 | 1 | 0 | 0 | 1 | 1 | 1 | 0 |
| 12 | 1 | 0 | 1 | 1 | 1 | 0 | 1 | 0 | 1 | 1 | 1 | 1 | 0 |
| 13 | 0 | 1 | 1 | 1 | 1 | 1 | 0 | 0 | 0 | 0 | 1 | 1 | 1 |
| 14 | 1 | 0 | 1 | 1 | 1 | 0 | 1 | 0 | 1 | 1 | 0 | 1 | 0 |
| 15 | 1 | 0 | 1 | 1 | 1 | 1 | 1 | 0 | 0 | 1 | 1 | 1 | 0 |
| 16 | 1 | 0 | 1 | 1 | 1 | 1 | 1 | 0 | 0 | 1 | 1 | 1 | 0 |
| 17 | 1 | 0 | 1 | 1 | 1 | 1 | 1 | 1 | 0 | 1 | 0 | 0 | 1 |
| 18 | 0 | 1 | 1 | 1 | 1 | 1 | 0 | 0 | 0 | 1 | 1 | 0 | 0 |
| 19 | 0 | 1 | 1 | 1 | 1 | 1 | 0 | 0 | 0 | 1 | 1 | 1 | 0 |
| 20 | 1 | 1 | 1 | 1 | 0 | 1 | 1 | 0 | 0 | 1 | 0 | 0 | 1 |
| 21 | 0 | 0 | 1 | 1 | 1 | 1 | 0 | 0 | 0 | 0 | 1 | 1 | 0 |
| 22 | 1 | 1 | 1 | 0 | 1 | 1 | 1 | 0 | 1 | 0 | 1 | 1 | 1 |
| 23 | 1 | 1 | 0 | 1 | 1 | 1 | 1 | 1 | 1 | 1 | 1 | 0 | 1 |
| 24 | 0 | 0 | 1 | 1 | 1 | 1 | 0 | 0 | 1 | 1 | 1 | 1 | 1 |
| Summer Day | Non-Summer Day | |||
|---|---|---|---|---|
| Algorithms | Total Cost (NT$) | Execution Time (s) | Total Cost (NT$) | Execution Time (s) |
| ARBFN | 186683.17 | 5.67 | 84706.24 | 5.67 |
| GA-RBFN | 187309.84 | 4.81 | 85371.62 | 4.81 |
| EP-RBFN | 188131.15 | 3.54 | 85984.38 | 3.54 |
Disclaimer/Publisher’s Note: The statements, opinions and data contained in all publications are solely those of the individual author(s) and contributor(s) and not of MDPI and/or the editor(s). MDPI and/or the editor(s) disclaim responsibility for any injury to people or property resulting from any ideas, methods, instructions or products referred to in the content. |
© 2023 by the authors. Licensee MDPI, Basel, Switzerland. This article is an open access article distributed under the terms and conditions of the Creative Commons Attribution (CC BY) license (https://creativecommons.org/licenses/by/4.0/).
Share and Cite
Tien, C.-J.; Tsai, M.-T. The Optimal Daily Dispatch of Ice-Storage Air-Conditioning Systems. Inventions 2023, 8, 62. https://doi.org/10.3390/inventions8020062
Tien C-J, Tsai M-T. The Optimal Daily Dispatch of Ice-Storage Air-Conditioning Systems. Inventions. 2023; 8(2):62. https://doi.org/10.3390/inventions8020062
Chicago/Turabian StyleTien, Ching-Jui, and Ming-Tang Tsai. 2023. "The Optimal Daily Dispatch of Ice-Storage Air-Conditioning Systems" Inventions 8, no. 2: 62. https://doi.org/10.3390/inventions8020062
APA StyleTien, C.-J., & Tsai, M.-T. (2023). The Optimal Daily Dispatch of Ice-Storage Air-Conditioning Systems. Inventions, 8(2), 62. https://doi.org/10.3390/inventions8020062
