Study of Two-Phase Newtonian Nanofluid Flow Hybrid with Hafnium Particles under the Effects of Slip
Abstract
1. Introduction
2. Mathematical Model
2.1. Geometries
2.2. Mathematical Model
2.3. Boundary Conditions
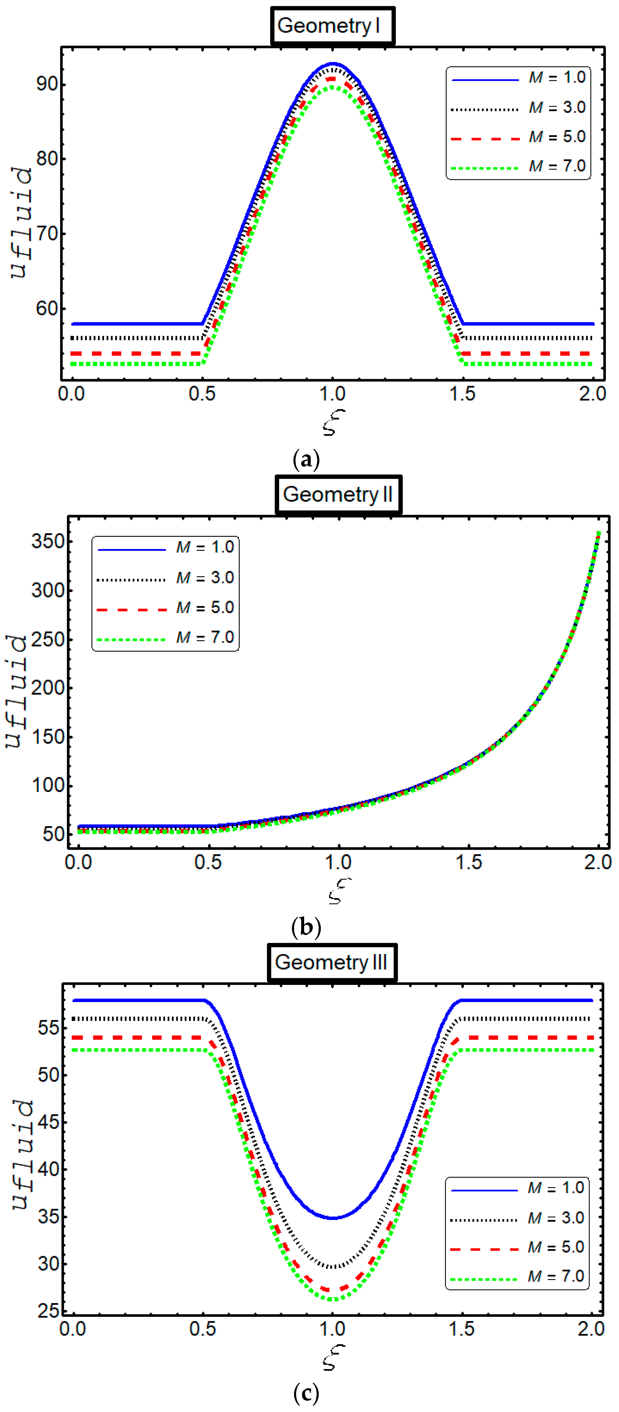
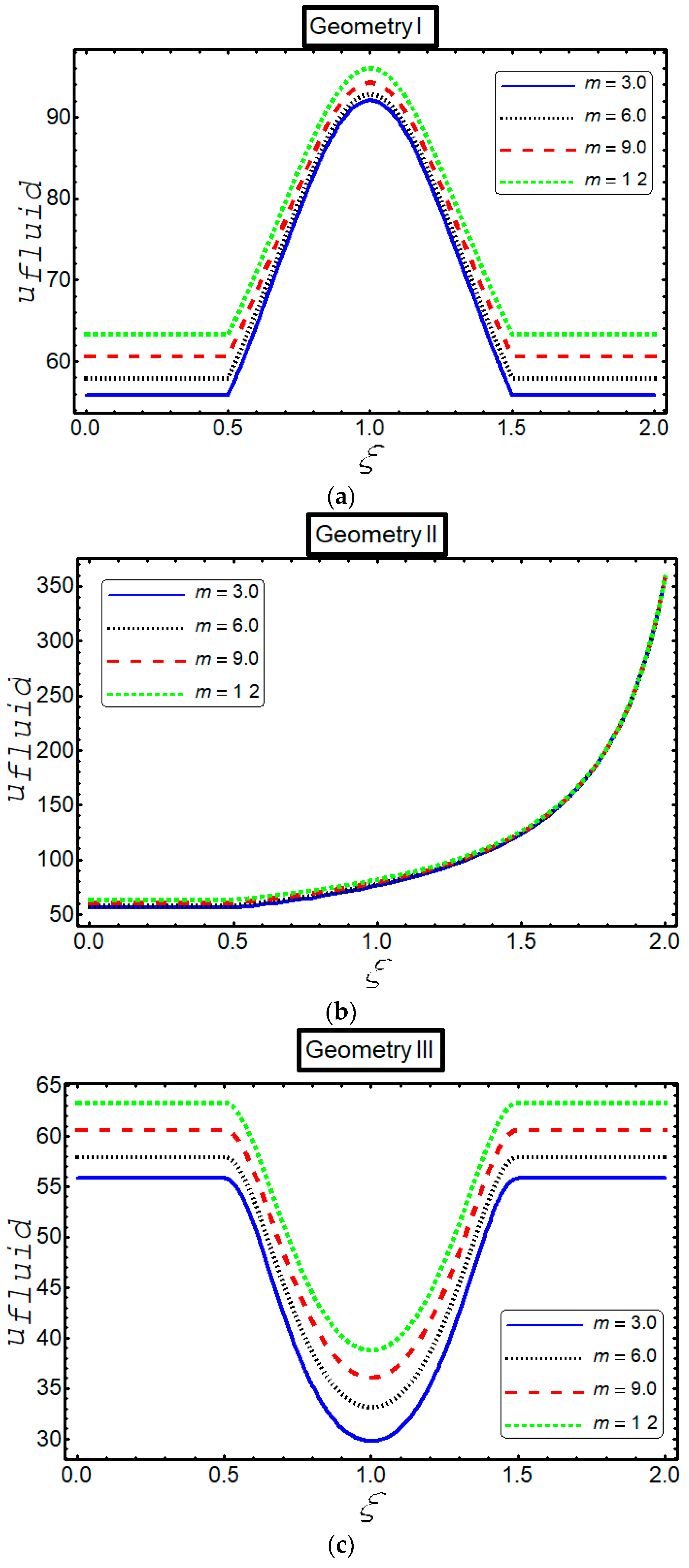
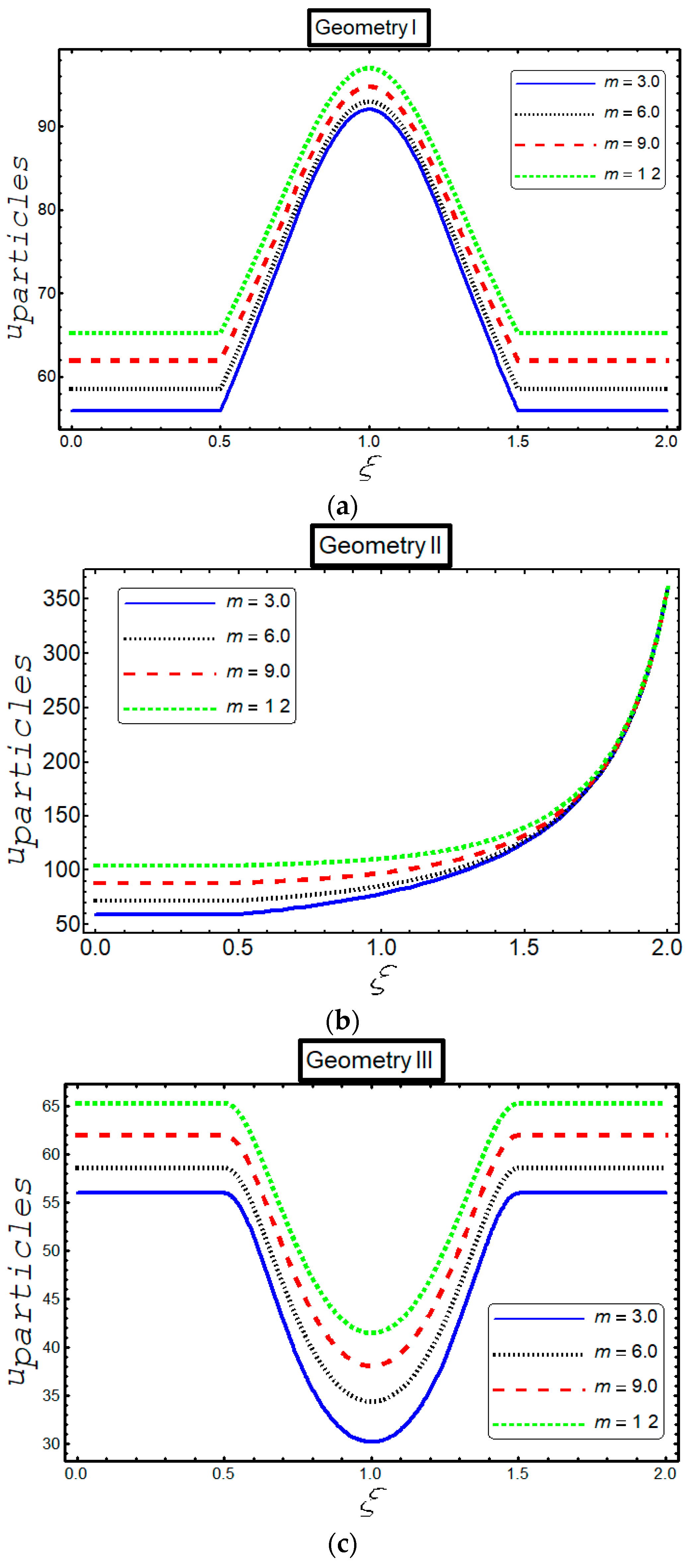
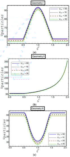
3. Results
4. Discussion
5. Conclusions
- The velocity decreases against Hartmann number and Helmholtz–Smoluchowski in all cases.
- The velocity of particle phase decreases against the slip parameter, in geometry I and geometry II whereas it increases in geometry III.
- The velocity increases against , in the three geometries for both particles and fluid phases.
- Inclined behavior of velocity is observed for both phases in three geometries against .
- In the case of Hartmann number , Helmholtz–Smoluchowski , and slip parameter , the graphs of streamlines are the same for all three geometries. However, the reduction of the streamlines for electro-osmotic parameter , is observed. This behavior is due to the curve-like structure of the channel.
Author Contributions
Funding
Conflicts of Interest
References
- Moshizi, S.A.; Malvandi, A.; Ganji, D.D.; Pop, I. A two-phase theoretical study of Al2O3–water nanofluid flow inside a concentric pipe with heat generation/absorption. Int. J. Therm. Sci. 2014, 84, 347–357. [Google Scholar] [CrossRef]
- Sheikholeslami, M.; Rashidi, M.M.; Ganji, D.D. Numerical investigation of magnetic nanofluid forced convective heat transfer in existence of variable magnetic field using two phase model. J. Mol. Liq. 2015, 212, 117–126. [Google Scholar] [CrossRef]
- Chamkha, A.J. Hydromagnetic two-phase flow in a channel. Int. J. Eng. Sci. 1995, 33, 437–446. [Google Scholar] [CrossRef]
- Akbari, O.A.; Safaei, M.R.; Goodarzi, M.; Akbar, N.S.; Zarringhalam, M.; Shabani, G.A.S.; Dahari, M. A modified two-phase mixture model of nanofluid flow and heat transfer in a 3-D curved microtube. Adv. Powder Technol. 2016, 27, 2175–2185. [Google Scholar] [CrossRef]
- Goodarzi, M.; Safaei, M.R.; Vafai, K.; Ahmadi, G.; Dahari, M.; Kazi, S.N.; Jomhari, N. Investigation of nanofluid mixed convection in a shallow cavity using a two-phase mixture model. Int. J. Therm. Sci. 2014, 75, 204–220. [Google Scholar] [CrossRef]
- Sheikholeslami, M.; Ganji, D.D.; Javeed, M.Y.; Ellahi, R. Effect of thermal radiation on magnetohydrodynamics nanofluid flow and heat transfer by means of two phase model. J. Magn. Magn. Mater. 2015, 374, 36–43. [Google Scholar] [CrossRef]
- Sadeghi, R.; Shadloo, M.S.; Hopp-Hirschler, M.; Hadjadj, A.; Nieken, U. Three-dimensional lattice Boltzmann simulations of high density ratio two-phase flows in porous media. Comput. Math. Appl. 2018, 75, 2445–2465. [Google Scholar] [CrossRef]
- Bhatti, M.M.; Zeeshan, A.; Ellahi, R.; Ijaz, N. Heat and mass transfer of two-phase flow with Electric double layer effects induced due to peristaltic propulsion in the presence of transverse magnetic field. J. Mol. Liq. 2017, 230, 237–246. [Google Scholar] [CrossRef]
- Bhatti, M.M.; Zeeshan, A.; Ellahi, R.; Shit, G.C. Mathematical modeling of heat and mass transfer effects on MHD peristaltic propulsion of two-phase flow through a Darcy-Brinkman-Forchheimer porous medium. Adv. Powder Technol. 2018, 29, 1189–1197. [Google Scholar] [CrossRef]
- Zeeshan, A.; Ijaz, N.; Abbas, T.; Ellahi, R. The sustainable characteristic of bio-bi-phase flow of peristaltic transport of MHD Jeffery fluid in human body. Sustainability 2018, 10, 2671. [Google Scholar] [CrossRef]
- Akbarzadeh, M.; Rashidi, S.; Karimi, N.; Ellahi, R. Convection of heat and thermodynamic irreversibilities in two-phase, turbulent nanofluid flows in solar heaters by corrugated absorber plates. Adv. Powder Technol. 2018, 29, 2243–2254. [Google Scholar] [CrossRef]
- Bhatti, M.M.; Zeeshan, A.; Ellahi, R.; Beg, A.O.; Kadir, A. Effects of coagulation on the two phase peristaltic pumping of magnetized Prandtl biofluid through an endoscopic annular geometry containing a porous medium. Chin. J. Phys. 2019, 58, 222–234. [Google Scholar] [CrossRef]
- Ellahi, R.; Zeeshan, A.; Hussain, F.; Abbas, T. Two-phase Couette flow of Couple stress fluid with temperature dependent viscosity thermally affected by magnetized moving surface. Symmetry 2019, 11, 647. [Google Scholar] [CrossRef]
- Safaei, M.R.; Shadloo, M.S.; Goodarzi, M.S.; Hadjadj, A.; Goshayeshi, H.R.; Afrand, M.; Kazi, S.N. A survey on experimental and numerical studies of convection heat transfer of nanofluids inside closed conduits. Adv. Mech. Eng. 2016, 8, 1–16. [Google Scholar] [CrossRef]
- Abbas, M.A.; Bhatti, M.M.; Sheikholeslami, M. Peristaltic propulsion of Jeffrey nanofluid with thermal radiation and chemical reaction effects. Inventions 2019, 4, 68. [Google Scholar] [CrossRef]
- Alamri, S.Z.; Ellahi, R.; Shehzad, N.; Zeeshan, A. Convective radiative plane Poiseuille flow of nanofluid through porous medium with slip: An application of Stefan blowing. J. Mol. Liq. 2019, 273, 292–304. [Google Scholar] [CrossRef]
- Ellahi, R.; Zeeshan, A.; Shehzad, N.; Alamri, S.Z. Structural impact of Kerosene-Al2O3 nanoliquid on MHD Poiseuille flow with variable thermal conductivity: Application of cooling process. J. Mol. Liq. 2018, 264, 607–615. [Google Scholar] [CrossRef]
- Hassan, M.; Marin, M.; Ellahi, R.; Alamri, S.Z. Exploration of convective heat transfer and flow characteristics synthesis by Cu-Ag/water hybrid-nanofluids. Heat Transf. Res. 2018, 49, 1837–1848. [Google Scholar] [CrossRef]
- Ray, A.K.; Vasu, B.; Bég, O.A.; Gorla, R.S.R.; Murthy, P.V.S.N. Homotopy smi-numerical modeling of non-Newtonian nanofluid transport external to multiple geometries using a revised Buongiorno model. Inventions 2019, 4, 54. [Google Scholar] [CrossRef]
- Zeeshan, A.; Shehzad, N.; Ellahi, R.; Alamri, S.Z. Convective Poiseuille flow of AI2O3-EG nanofluid in a porous wavy channel with thermal radiation. Neural Comput. Appl. 2018, 30, 3371–3382. [Google Scholar] [CrossRef]
- Alamri, S.Z.; Khan, A.A.; Azeez, M.; Ellahi, R. Effects of mass transfer on MHD second grade fluid towards stretching cylinder: A novel perspective of Cattaneo–Christov heat flux model. Phys. Lett. A 2019, 383, 276–281. [Google Scholar] [CrossRef]
- Niazmand, A.; Sola, J.F.; Alinejad, F.; Dehgolan, F.R. Investigation of mixed convection in a cylindrical lid driven cavity filled with water-Cu nanofluid. Inventions 2019, 4, 60. [Google Scholar] [CrossRef]
- Majeed, A.; Zeeshan, A.; Alamri, S.Z.; Ellahi, R. Heat transfer analysis in ferromagnetic viscoelastic fluid flow over a stretching sheet with suction. Neural Comput. Appl. 2018, 30, 1947–1955. [Google Scholar] [CrossRef]
- Zeeshan, A.; Ellahi, R.; Mabood, F.; Hussain, F. Numerical study on bi-phase Coupled stress fluid in the presence of Hafnium and metallic nanoparticles over an inclined plane. Int. J. Numer. Methods Heat Fluid Flow 2019, 29, 2854–2869. [Google Scholar] [CrossRef]
- Zeeshan, A.; Hussain, F.; Ellahi, R.; Vafai, K. A study of gravitational and magnetic effects on coupled stress bi-phase liquid suspended with Crystal and Hafnium particles down in steep channel. J. Mol. Liq. 2019, 286, 110898. [Google Scholar] [CrossRef]
- Ellahi, R.; Zeeshan, A.; Hussain, F.; Abbas, T. Thermally charged MHD bi-phase flow coatings with non-Newtonian nanofluid and Hafnium particles through slippery walls. Coatings 2019, 9, 300. [Google Scholar] [CrossRef]
- Xiong, S.; Qi, W.; Huang, B.; Wang, M.; Wei, L. Gibbs free energy and size-temperature phase diagram of Hafnium nanoparticles. J. Phys. Chem. 2011, 115, 10365–10369. [Google Scholar] [CrossRef]
- Wan, Y.; Zhou, X. Formation mechanism of hafnium oxide nanoparticles by a hydrothermal route. R. Soc. Chem. 2017, 7, 7763–7773. [Google Scholar] [CrossRef]
- Chen, M.H.; Hanagata, N.; Ikoma, T.; Huang, J.Y.; Li, K.Y.; Lin, C.P.; Lin, F.H. Hafnium-doped hydroxyapatite nanoparticles with ionizing radiation for lung cancer treatment. Acta Biomater. 2016, 37, 165–173. [Google Scholar] [CrossRef]
- Marill, J.; Anesary, N.M.; Zhang, P.; Vivet, S.; Borghi, E.; Levy, L.; Pottier, A. Hafnium oxide nanoparticles: Toward an in vitropredictive biological effect? Radiat. Oncol. 2014, 9, 150–160. [Google Scholar] [CrossRef]
- Maggiorella, L.; Barouch, G.; Devaux, C.; Pottier, A.; Deutsch, E.; Bourhis, J.; Borghi, E.; Levy, L. Nanoscale radiotherapy with hafnium oxide nanoparticles. Future Oncol. 2012, 8, 1167–1181. [Google Scholar] [CrossRef] [PubMed]
- Li, S.; Wu, Y.S. Electrophoresis/capillary electrophoresis. In Encyclopedia of Separation Science; Academic Press: Cambridge, MA, USA, 2000; pp. 1176–1187. [Google Scholar] [CrossRef]
- Shafik, T.; Howard, A.G. Electrophoresis/electrochromatography. In Encyclopedia of Separation Science; Academic Press: Cambridge, MA, USA, 2000; pp. 1250–1256. [Google Scholar] [CrossRef]
- Prakash, J.; Tripathi, D. Electro-osmotic flow of Williamson ionic nanoliquids in a tapered microfluidic channel in presence of thermal radiation and peristalsis. J. Mol. Liq. 2018, 256, 352–371. [Google Scholar] [CrossRef]
- Noreen, S.; Waheed, S.; Hussanan, A.; Lu, D. Entropy analysis in double-diffusive convection in nanofluids through electro-osmotically induced peristaltic microchannel. Entropy 2019, 21, 986. [Google Scholar] [CrossRef]
- Sarafraz, M.M.; Pourmehran, O.; Yang, B.; Arjomandi, M. Assessment of the thermal performance of a thermosyphon heat pipe using zirconia-acetone nanofluids. Renew. Energy 2019, 136, 884–895. [Google Scholar] [CrossRef]
- Hussain, F.; Ellahi, R.; Zeeshan, A. Mathematical models of electro-magnetohydrodynamic multiphase flows synthesis with nano-sized hafnium particles. Appl. Sci. 2018, 8, 275. [Google Scholar] [CrossRef]
- Sheikholeslami, M.; Ellahi, R. Electrohydrodynamic nanofluid hydrothermal treatment in an enclosure with sinusoidal upper wall. Appl. Sci. 2015, 5, 294–306. [Google Scholar] [CrossRef]
- Riaz, A.; Bhatti, M.M.; Ellahi, R.; Zeesh, A.; Sait, M.S. Mathematical analysis on an asymmetrical wavy motion of blood under the influence entropy generation with convective boundary conditions. Symmetry 2020, 12, 102. [Google Scholar] [CrossRef]
- Ellahi, R. Exact solutions of flows of an Oldroyd 8-constant fluid with nonlinear slip conditions. Z. Naturfor. A 2010, 65, 1081–1086. [Google Scholar] [CrossRef]
- Vinogradov, G.V.; Ivanova, L.I. Wall slippage and elastic turbulence of polymers in the rubbery state. Rheol. Acta 1968, 7, 243–254. [Google Scholar] [CrossRef]
- Luk, S.; Mutharasan, R.; Apelian, D. Experimental observations of wall slip: Tube and packed bed flow. Ind. Eng. Chem. Res. 1987, 26, 1609–1616. [Google Scholar] [CrossRef]
- Migler, K.B.; Hervet, H.; Leger, L. Slip transition of a polymer melt under shear stress. Phys. Rev. Lett. 1993, 70, 287–290. [Google Scholar] [CrossRef]
- Piau, J.M.; El Kissi, N. Measurement and modelling of friction in polymer melts during macroscopic slip at the wall. J. Non-Newton. Fluid Mech. 1994, 54, 121–142. [Google Scholar] [CrossRef]
- Coleman, B.D.; Markovitz, H.; Noll, W. Viscometer Flows of Non-Newtonian Fluid; Springer: New York, NY, USA, 1966. [Google Scholar]
- Roux, C.L.E. Existence uniqueness of the flow of second grade fluids with slip boundary conditions. Arch. Rat. Mech. Anal. 1999, 148, 309–356. [Google Scholar] [CrossRef]
- Ellahi, R.; Alamri, S.Z.; Basit, A.; Majeed, A. Effects of MHD and slip on heat transfer boundary layer flow over a moving plate based on specific entropy generation. J. Taibah Univ. Sci. 2018, 12, 476–482. [Google Scholar] [CrossRef]
- Srivastava, L.M.; Srivastava, V.P. Peristaltic transport of a particle-fluid suspension. J. Biomech. Eng. 1989, 111, 157–165. [Google Scholar] [CrossRef] [PubMed]
- Tam, C.K.W. The drag on a cloud of spherical particles in a low Reynolds number flow. J. Fluid Mech. 1969, 38, 537–546. [Google Scholar] [CrossRef]















© 2020 by the authors. Licensee MDPI, Basel, Switzerland. This article is an open access article distributed under the terms and conditions of the Creative Commons Attribution (CC BY) license (http://creativecommons.org/licenses/by/4.0/).
Share and Cite
Ellahi, R.; Hussain, F.; Asad Abbas, S.; Sarafraz, M.M.; Goodarzi, M.; Shadloo, M.S. Study of Two-Phase Newtonian Nanofluid Flow Hybrid with Hafnium Particles under the Effects of Slip. Inventions 2020, 5, 6. https://doi.org/10.3390/inventions5010006
Ellahi R, Hussain F, Asad Abbas S, Sarafraz MM, Goodarzi M, Shadloo MS. Study of Two-Phase Newtonian Nanofluid Flow Hybrid with Hafnium Particles under the Effects of Slip. Inventions. 2020; 5(1):6. https://doi.org/10.3390/inventions5010006
Chicago/Turabian StyleEllahi, Rahmat, Farooq Hussain, Syed Asad Abbas, Mohammad Mohsen Sarafraz, Marjan Goodarzi, and Mostafa Safdari Shadloo. 2020. "Study of Two-Phase Newtonian Nanofluid Flow Hybrid with Hafnium Particles under the Effects of Slip" Inventions 5, no. 1: 6. https://doi.org/10.3390/inventions5010006
APA StyleEllahi, R., Hussain, F., Asad Abbas, S., Sarafraz, M. M., Goodarzi, M., & Shadloo, M. S. (2020). Study of Two-Phase Newtonian Nanofluid Flow Hybrid with Hafnium Particles under the Effects of Slip. Inventions, 5(1), 6. https://doi.org/10.3390/inventions5010006

