Magnetization Plateaus by the Field-Induced Partitioning of Spin Lattices
Abstract
1. Introduction
2. Field-Induced Partitioning of Spin Lattices
2.1. Zeeman Energy and Magnetic Bonds
2.2. Causes for Magnetization Plateaus
2.3. Magnetic Bonding Pattern Affecting the Nature of Magnetization Plateaus
2.4. Field-Induced Ferrimagnetic Fragments in Spin-Frustrated Lattices
2.5. Spin-Lattice Interactions
2.6. Different Magnetization Behaviors of Heisenberg and Ising Magnets
2.6.1. Spin Flop and Spin Flip Processes of Antiferromagnets
2.6.2. Magnetization Plateaus
2.7. Quantitative Evaluations of Spin Exchange Interactions
3. Magnets of AFM Fragments
3.1. Spin Clusters with Even Number of Spin Sites
3.1.1. Orthogonal Spin Dimers in SrCu2(BO3)2
3.1.2. Spin Tetrahedra in Spinel CdCr2O4
3.1.3. Spin Hexamers in Pyroxene CoGeO3 and Anisotropic Magnetization Plateau
3.2. Bose–Einstein Condensates
3.2.1. 0- and 1/2-Plateaus of Ba3Mn2O8
3.2.2. Gapped and Gapless Ground States of ACuCl3 (A = K, Tl, NH4)
- A.
- Singlet to triplet excitations under magnetic field
- B.
- Different magnetization behaviors of ACuCl3 (A = K, Tl, NH4)
- C.
- Crystal structures of ACuCl3 (A = K, Tl, NH4)
- D.
- Interdimer exchanges of KCuCl3 and TlCuCl3
- E.
- Intradimer exchange of NH4CuCl3
- F.
- Consequence of the interaction between NH4+ and Cu2Cl62− in NH4CuCl3
4. Magnets of Ferrimagnetic Fragments
4.1. Linear Trimers and Chains
4.1.1. Isolated Linear Trimers in Mn3(PO4)2
4.1.2. Bent Trimers in Cu3(P2O6OH)2
4.1.3. Heisenberg Chains in Volborthite Cu3V2O7(OH)2·2(H2O)
4.1.4. Head-to-Tail Coupling of Bent Trimers and Anisotropic 1/3-Plateau in Cs2Cu3(SeO3)4·2(H2O)
4.1.5. Haldane Chain of Cu6 Clusters and a 1/3-Magnetization Plateau in Fedotovite K2Cu3O(SO4)3
4.1.6. Trigonal Arrangement of Ferromagnetic Chains in Ca3Co2O6
4.2. Distorted Triangular Fragments
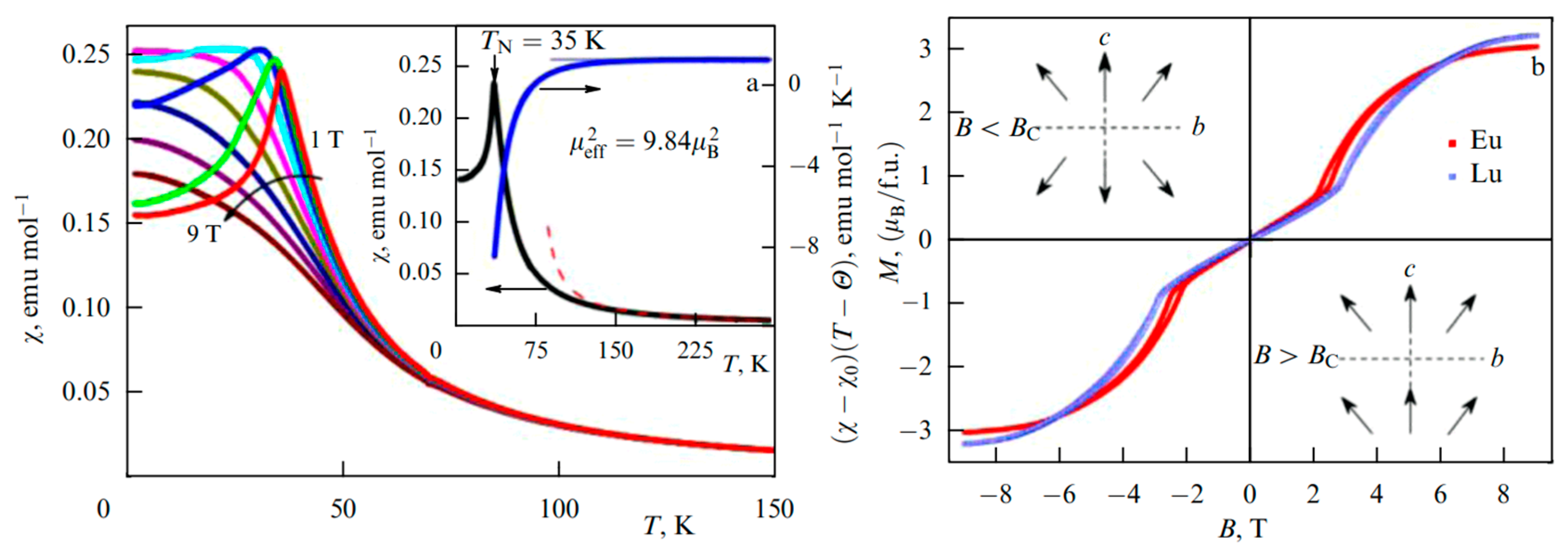
4.2.1. Diamond Chains of NaFe3(HPO3)2(H2PO3)6
4.2.2. Three-Dimensional Spin Lattice and Anisotropic Plateau Width in Azurite Cu3(CO3)2(OH)2
- Interlayer spin exchange in azurite
- B.
- Magnetic anisotropy affecting Dzyaloshinskii–Moriya (DM) interactions
- (1)
- The g-factor for the Cu2+ ion of a CuO4 square plane is anisotropic; the g-factor along the four-fold rotational axis, g|| = 2 + Δg|| ≈ 2.25, is substantially greater than that perpendicular to this axis, g⊥ = 2 + Δg⊥ ≈ 2.05 [72].
- (2)
- In general, the g-factor of a magnetic ion measured with magnetic field H in a certain direction can be written as g = 2 + Δg, where Δg is related to the unquenched orbital moment δL on the magnetic ion along that direction as [2]where λ is the SOC constant of the magnetic ion, i.e., Δg is a measure of δL.
- (3)
5. Trigonal vs. Kagomé Magnets
5.1. Cause for the Presence or Absence of a Clear-Cut 1/3-Magnetization Plateau
5.2. Variation in the 1/3-Plateau Widths in RbFe(MoO4)2, Ba3CoSb2O9 and Ba2LaNiTe2O12
6. Complex Clusters
6.1. Trimer–Dimer Zigzag Chains for the 3/5-Plateau in Na2Cu5(Si2O7)2
6.2. Linear Heptamer of One Trimer and Two Dimers for the 3/7-Plateau in Y2Cu7(TeO3)6Cl6(OH)2
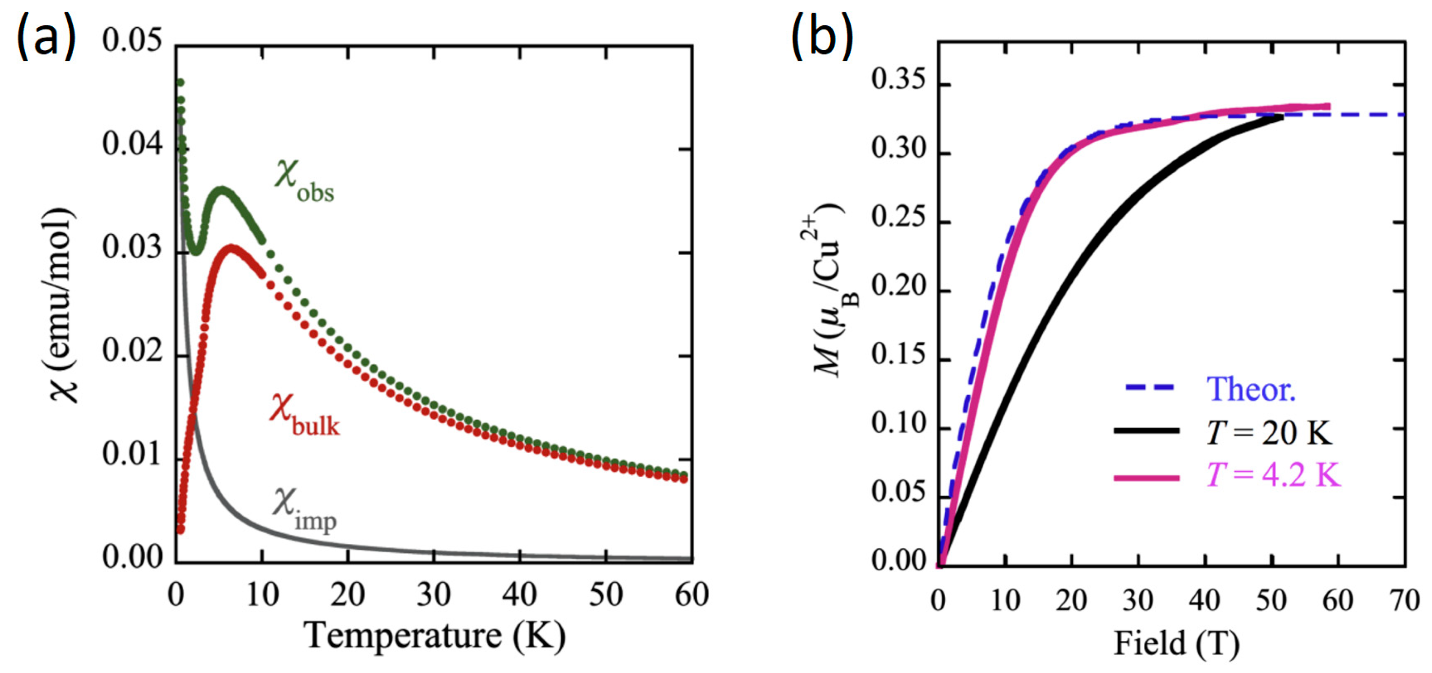
6.3. Zigzag Pentamer as an Effective S = 1/2 Unit in Cu5(VO4)2(OH)4+
- (1)
- Within each hexagon chain, the AFM exchanges J1 and J5 dominated over the FM exchanges J2, J4 and J6 so that there was effectively no spin frustration in all spin triangles of the hexagon chains.
- (2)
- The exchanges J1 and J5 formed zigzag pentamer ferrimagnetic fragments of (3↑2↓) spin configuration with M = Msat/5 (Figure 62d).
- (3)
- Since J6 is more strongly FM than J4, each hexagon chain preferred to have adjacent (3↑2↓) ferrimagnetic fragments to have an AFM coupling rather than an FM coupling within each hexagon chain (Figure 63a,b).
- (4)
- Since the interchain exchange J7 is AFM, an AFM coupling was preferred to an FM coupling between adjacent (3↑2↓) ferrimagnetic fragments between hexagon chains.
- (5)
6.4. Cu7 Cluster of Corner-Sharing Tetrahedra for the 3/7-Plateau in Pb2Cu10O4(SeO3)4Cl7 and Na2Cu7(SeO3)4O2Cl4
7. Concluding Remarks
Supplementary Materials
Funding
Conflicts of Interest
References
- Dai, D.; Whangbo, M.-H. Analysis of the uniaxial magnetic properties of high-spin d6 ions at trigonal prism and linear two-coordinate sites: Uniaxial magnetic properties of Ca3Co2O6 and Fe[C(SiMe3)3]2. Inorg. Chem. 2005, 44, 4407–4414. [Google Scholar] [CrossRef] [PubMed]
- Dai, D.; Xiang, H.J.; Whangbo, M.-H. Effects of spin-orbit coupling on magnetic properties of discrete and extended magnetic systems. J. Comput. Chem. 2008, 29, 2187–2209. [Google Scholar] [CrossRef] [PubMed]
- Zhang, Y.; Kan, E.J.; Xiang, H.J.; Villesuzanne, A.; Whangbo, M.-H. Density Functional Theory Analysis of the Interplay between Jahn-Teller Instability, Uniaxial Magnetism, Spin Arrangement, Metal-Metal Interaction, and Spin-Orbit Coupling in Ca3CoMO6 (M = Co, Rh, Ir). Inorg. Chem. 2011, 50, 1758–1766. [Google Scholar] [CrossRef] [PubMed]
- Honecker, A.; Schulenburg, J.; Richter, J. Magnetization plateaus in frustrated antiferromagnetic quantum spin models. J. Phys. Condens. Matter 2004, 16, S749. [Google Scholar] [CrossRef]
- Takigawa, M.; Mila, F. Magnetization plateaus. In Introduction to Frustrated Magnetism; Lacroix, C., Mendels, P., Mila, F., Eds.; Springer: New York, NY, USA, 2010; pp. 241–268. [Google Scholar]
- Xiang, H.J.; Lee, C.; Koo, H.-J.; Gong, X.G.; Whangbo, M.-H. Magnetic properties and energy-mapping analysis. Dalton Trans. 2013, 42, 823–853. [Google Scholar] [CrossRef] [PubMed]
- Penc, K.; Shannon, N.; Shiba, H. Half-magnetization plateau stabilized by structural distortion in the antiferromagnetic Heisenberg model on a pyrochlore lattice. Phys. Rev. Lett. 2004, 93, 197202. [Google Scholar] [CrossRef]
- Aoyama, K.; Gen, M.; Kawamura, H. Effects of spin-lattice coupling and a magnetic field in classical Heisenberg antiferromagnets on the breathing pyrochlore lattice. Phys. Rev. B 2021, 104, 184411. [Google Scholar] [CrossRef]
- Gen, M.; Ikeda, A.; Aoyama, K.; Jeschke, H.O.; Ishii, Y.; Ishikawa, H.; Yajima, T.; Okamoto, Y.; Zhou, X.; Nakamura, D.; et al. Signatures of a magnetic superstructure phase induced by ultrahigh magnetic fields in a breathing pyrochlore antiferromagnet. Proc. Nat. Acad. Sci. USA 2023, 120, e2302756120. [Google Scholar] [CrossRef]
- Onizuka, K.; Kageyama, H.; Narumi, Y.; Kindo, K.; Ueda, Y.; Goto, T. 1/3 magnetization plateau in SrCu2(BO3)2—Stripe order of excited triplets. J. Phys. Soc. Jpn. 2000, 69, 1016–1018. [Google Scholar] [CrossRef]
- Jaime, M.; Daou, R.; Crooker, S.A.; Gaulin, B.D. Magnetostriction and magnetic texture to 100.75 Tesla in frustrated SrCu2(BO3)2. Proc. Natl. Acad. Sci. USA 2012, 109, 12404. [Google Scholar] [CrossRef]
- Matsuda, Y.H.; Abe, N.; Takeyama, S.; Kageyama, H.; Corboz, P.; Honecker, A.; Manmana, S.R.; Foltin, G.R.; Schmidt, K.P.; Mila, F. Magnetization of SrCu2(BO3)2 in Ultrahigh Magnetic Fields up to 118 T. Phys. Rev. Lett. 2013, 111, 137204. [Google Scholar] [CrossRef] [PubMed]
- Nomura, T.; Corboz, P.; Miyata, A.; Zherlitsyn, S.; Ishii, Y.; Kohama, Y.; Matsuda, Y.H.; Ikeda, A.; Zhong, C.; Kageyama, H.; et al. Unveiling new quantum phases in the Shastry-Sutherland compound SrCu2(BO3)2 up to the saturation magnetic field. Nat. Commun. 2023, 14, 3769. [Google Scholar] [CrossRef] [PubMed]
- Néel, L. Les métamagnétiques ou substances antiferromagnétiques à champ seuil. II Nuovo C. 1957, 6, 942–960. [Google Scholar] [CrossRef]
- Morosov, A.I.; Sigov, A.S. Surface spin-flop transition in an antiferromagnet. Physics-Uspekhi 2010, 53, 677–689. [Google Scholar] [CrossRef]
- Strujewski, E.; Giordano, N. Metamagnetism. Adv. Phys. 1977, 26, 487–650. [Google Scholar] [CrossRef]
- Nawa, K.; Avdeev, M.; Perdonosov, P.; Sobolev, A.; Presniakov, I.; Aslandukova, A.; Kozlyakova, E.; Vasiliev, A.; Shchetinin, I.; Sato, T. Magnetic structure study of the sawtooth chain antiferromagnet Fe2Se2O7. Sci. Rep. 2021, 11, 24049. [Google Scholar] [CrossRef]
- Zakharov, K.V.; Zvereva, E.A.; Berdonosov, P.S.; Kuznetsova, E.S.; Dolgikh, V.A.; Clark, L.; Black, C.; Lightfoot, P.; Kockelmann, W.; Pchelkina, Z.V.; et al. Thermodynamic properties, electron spin resonance, and underlying spin model in Cu3Y(SeO3)2O2Cl. Phys. Rev. B 2014, 90, 214417. [Google Scholar] [CrossRef]
- Zakharov, K.V.; Zvereva, E.A.; Kuznetsova, E.S.; Kuznetsova, E.S.; Berdonosov, P.S.; Dolgikh, V.A.; Markina, M.M.; Olenev, A.V.; Shakin, A.A.; Volkova, O.S.; et al. Two new lanthanide members of francisite family Cu3Ln(SeO3)2O2Cl (Ln = Eu, Lu). J. Alloys Compd. 2016, 685, 442–447. [Google Scholar] [CrossRef]
- Whangbo, M.-H.; Xiang, H.J. Magnetic Properties from the Perspectives of Electronic Hamiltonian: Spin Exchange Parameters, Spin Orientation and Spin-Half Misconception. In Handbook of Solid State Chemistry, Volume 5: Theoretical Descriptions; Dronskowski, R., Kikkawa, S., Stein, A., Eds.; Wiley: Hoboken, NJ, USA, 2017; pp. 285–343. [Google Scholar]
- Whangbo, M.-H.; Koo, H.-J.; Kremer, R.K. Spin Exchanges between Transition Metal Ions Governed by the Ligand p-Orbitals in Their Magnetic Orbitals. Molecules 2021, 26, 531. [Google Scholar] [CrossRef]
- Kresse, G.; Joubert, D. From ultrasoft pseudopotentials to the projector augmented-wave method. Phys. Rev. B 1999, 59, 1758–1775. [Google Scholar] [CrossRef]
- Kresse, G.; Furthmüller, J. Efficiency of ab-initio total energy calculations for metals and semiconductors using a plane-wave basis set. Comput. Mater. Sci. 1996, 6, 15–50. [Google Scholar] [CrossRef]
- Perdew, J.P.; Burke, K.; Ernzerhof, M. Generalized Gradient Approximation Made Simple. Phys. Rev. Lett. 1996, 77, 3865–3868. [Google Scholar] [CrossRef] [PubMed]
- Dudarev, S.L.; Botton, G.A.; Savrasov, S.Y.; Humphreys, C.J.; Sutton, A.P. Electron-energy-loss spectra and the structural stability of nickel oxide: An LSDA+U study. Phys. Rev. B 1998, 57, 1505–1509. [Google Scholar] [CrossRef]
- Kuneš, K.; Novák, P.; Schmid, R.; Blaha, P.; Schwarz, K. Electronic structure of fcc Th: Spin-orbit calculation with 6p1/2 local orbital extension. Phys. Rev. Lett. 2001, 64, 153102. [Google Scholar]
- Mazurenko, V.V.; Skornyakov, S.L.; Anisimov, V.I.; Mila, F. First-principles investigation of symmetric and antisymmetric exchange interactions of SrCu2(BO3)2. Phys. Rev. B 2008, 78, 195110. [Google Scholar] [CrossRef]
- Miyahara, S.; Ueda, K. Theory of the orthogonal dimer Heisenberg spin model for SrCu2(BO3)2. J. Phys. Condens. Matter 2003, 15, R237–R366. [Google Scholar] [CrossRef]
- Shastry, B.S.; Sutherland, B. Exact ground state of a quantum mechanical antiferromagnet. Phys. B&C 1981, 108, 1069–1070. [Google Scholar]
- Kageyama, H.; Yoshimura, K.; Stern, R.; Mushnikov, N.; Onizuka, K.; Kato, M.; Kosuge, K.; Slichter, C.P.; Goto, T.; Ueda, Y. Exact dimer ground state and quantized magnetization plateaus in the two-dimensional spin system SrCu2(BO3)2. Phys. Rev. Lett. 1999, 82, 3168–3171. [Google Scholar] [CrossRef]
- Ueda, H.; Katori, H.A.; Mitamura, H.; Goto, H.; Takagi, H. Magnetic-field induced transition to the 1/2 magnetization plateau state in the geometrically frustrated magnet CdCr2O4. Phys. Rev. Lett. 2005, 94, 047202. [Google Scholar] [CrossRef]
- Chung, J.H.; Matsuda, M.; Lee, S.-H.; Kakurai, K.; Ueda, H.; Sato, T.J.; Takagi, H.; Hong, K.-P.; Park, S. Statics and dynamics of incommensurate spin order in a geometrically frustrated antiferromagnet CdCr2O4. Phys. Rev. Lett. 2005, 95, 247204. [Google Scholar] [CrossRef]
- Peakor, D.R. The crystal structure of CoGeO3. Z. Krist. 1968, 126, 299–306. [Google Scholar] [CrossRef]
- Guo, H.; Zhao, M.; Baenitz, X.; Gukasov, A.; Melendez Sans, A.; Khomskii, D.I.; Tjeng, L.H.; Komareck, A.C. Emergent 1/3 magnetization plateaus in pyroxene CoGeO3. Phys. Rev. Res. 2021, 3, L032037. [Google Scholar] [CrossRef]
- Whangbo, M.-H.; Gordon, E.E.; Xiang, H.J.; Koo, H.-J.; Lee, C. Prediction of spin orientations in terms of HOMO-LUMO interactions using spin-orbit coupling as perturbation. Acc. Chem. Res. 2015, 48, 3080–3087. [Google Scholar] [CrossRef]
- Zapf, V.; Jaime, M.; Batista, C.D. Bose-Einstein condensation in quantum magnets. Rev. Mod. Phys. 2014, 86, 563, Erratum in Rev. Mod. Phys. 2014, 86, 1453. [Google Scholar] [CrossRef]
- Weller, M.T.; Skinner, S.J. Ba3Mn2O8 determined from neutron powder diffraction. Acta Crystallogr. C 1999, 55, 154–156. [Google Scholar] [CrossRef]
- Uchida, M.; Tanaka, H.; Mitamura, H.; Ishkawa, F.; Goto, T. High-field magnetization process in the S = 1 quantum spin system Ba3Mn2O8. Phys. Rev. B 2002, 66, 054429. [Google Scholar] [CrossRef]
- Willett, R.D.; Dwiggins, C., Jr.; Kruh, R.F.; Rundle, R.E. Crystal structures of KCuCl3 and NH4CuCl3. J. Chem. Phys. 1963, 38, 2429–2436. [Google Scholar] [CrossRef]
- Ryu, G.; Son, K. Surface defect free growth of a spin dimer TlCuCl3 compound crystals and investigations on its optical and magnetic properties. J. Solid State Chem. 2016, 237, 358–363. [Google Scholar] [CrossRef]
- O’Bannon, G.; Willet, R.D. A redetermination of the crystal structure of NH4CuCl3 and a magnetic study of NH4CuX3 (X = Cl, Br). Inorg. Chim. Acta 1981, 53, L131–L132. [Google Scholar] [CrossRef]
- Rüegg, C.; Schefer, J.; Zaharko, O.; Furrer, A.; Tanaka, H.; Krämer, K.W.; Güdel, H.-U.; Vorderwisch, P.; Habicht, K.; Polinski, T.; et al. Neutron scattering study of the field-dependent ground state and the spin dynamics in spin-one-half NH4CuCl3. Phys. Rev. Lett. 2004, 93, 037207. [Google Scholar] [CrossRef]
- Matsumoto, M.; Normand, B.; Rice, T.M.; Sigrist, M. Field- and pressure-induced magnetic quantum phase transitions in TlCuCl3. Phys. Rev. B 2004, 69, 054423. [Google Scholar] [CrossRef]
- Oosawa, A.; Kato, T.; Tanaka, H.; Kakurai, K.; Müller, M.; Mikeska, H.-J. Magnetic excitations in the spin gap system TlCuCl3. Phys. Rev. B 2002, 65, 094426. [Google Scholar] [CrossRef]
- Tanaka, H.; Shiramura, W.; Takatsu, T.; Kurniawan, B.; Takahashi, M.; Kamishima, K.; Takizawa, K.; Mitamura, H.; Goto, T. High-field magnetization processes of quantum double spin chain systems KCuCl3, TlCuCl3 and NH4CuCl3. Phys. B 1998, 246–247, 230–233. [Google Scholar] [CrossRef]
- Rüegg, C. Neutron Scattering Investigations of the S = ½ Quantum Spin Systems TlCuCl3 and NH4CuCl3. Ph.D. Thesis, Laboratorium für Neutronenstreuung, ETH Zürich, Zürich, Switzerland, 2001. CH-5232 Villigen PSI. [Google Scholar]
- Hay, P.J.; Thibeault, J.C.; Hoffmann, R. Orbital interactions in metal dimer complexes. J. Am. Chem. Soc. 1975, 97, 4884–4899. [Google Scholar] [CrossRef]
- Volkova, O.S.; Shvanskaya, L.V.; Ovchenkov, E.A.; Zvereva, E.A.; Volkov, A.S.; Chareev, D.A.; Molla, K.; Rahaman, B.; Saha-Dasgupta, T.; Vasiliev, A.N. Structure-property relationships in α-, β’- and ℽ-modifications of Mn3(PO4)2. Inorg. Chem. 2016, 55, 10692–10700. [Google Scholar] [CrossRef]
- Baies, R.; Caignaert, V.; Pralong, V.; Raveau, B. Copper hydroxydiphosphate with a one-dimensional arrangement of copper polyhedra: Cu3[P2O6OH]2. Inorg. Chem. 2005, 44, 2376–2380. [Google Scholar] [CrossRef]
- Hase, M.; Kohno, M.; Kitazawa, H.; Tsujii, N.; Suzuki, O.; Ozawa, K.; Kido, G.; Imai, M.; Hu, X. 1/3 magnetization plateau observed in the spin-1/2 trimer chain compound Cu3(P2O6OH)2. Phys. Rev. B 2006, 73, 104419. [Google Scholar] [CrossRef]
- Koo, H.-J.; Whangbo, M.-H. Finite magnetization plateau from a two-dimensional antiferromagnet: Density functional analysis of the magnetic structure of Cu3(P2O6OH)2. Inorg. Chem. 2010, 49, 9253–9256. [Google Scholar] [CrossRef]
- Ishikawa, H.; Yamaura, J.; Okamoto, Y.; Yoshida, H.; Nilsen, G.J.; Hiroi, Z. A novel crystal polymorph of volborthite, Cu3V2O7(OH)2⋅2H2O. Acta Cryst. C 2012, 68, i41–i44. [Google Scholar] [CrossRef]
- Whangbo, M.-H.; Koo, H.-J.; Brücher, E.; Puphal, P.; Kremer, R.K. Absence of spin frustration in the kagomé layers of Cu2+ ions in volborthite Cu3V2O7(OH)2·2H2O and observation of the suppression and re-entrance of specific heat anomalies in volborthite under an external magnetic field. Condens. Matter 2022, 7, 24. [Google Scholar] [CrossRef]
- Yoshida, M.; Takigawa, M.; Yoshida, H.; Okamoto, Y.; Hiroi, Z. Phase diagram and spin dynamics in volborthite with a distorted kagomé lattice. Phys. Rev. Lett. 2009, 103, 077207. [Google Scholar] [CrossRef] [PubMed]
- Ishikawa, H.; Yoshida, M.; Nawa, K.; Jeong, M.; Krämer, S.; Horvatić, M.; Berthier, C.; Takigawa, M.; Akaki, M.; Miyake, A.; et al. One-third magnetization plateau with a preceding novel phase in volborthite. Phys. Rev. Lett. 2015, 114, 227202. [Google Scholar] [CrossRef] [PubMed]
- Janson, O.; Furukawa, S.; Momoi, T.; Sindzingre, P.; Richter, J.; Held, K. Magnetic behavior of volborthite Cu3V2O7(OH)2⋅2H2O determined by coupled trimers rather than frustrated chains. Phys. Rev. Lett. 2016, 117, 037206. [Google Scholar] [CrossRef] [PubMed]
- Wiessner, R.M.; Fledderjohann, A.; Mütter, K.-H.; Karbach, M. Spontaneous magnetization in spin-ladder systems with competing interactions. Phys. Rev. B 1999, 60, 6545. [Google Scholar] [CrossRef]
- Moskin, A.V.; Kozlyakova, E.S.; Shvanskaya, L.V.; Chareev, D.A.; Koo, H.-J.; Whangbo, M.-H.; Vasiliev, A.N. Highly anisotropic 1/3-magnetization plateau in a ferrimagnet Cs2Cu3(SeO3)4·2H2O: Topology of magnetic bonding necessary for magnetization plateau. Dalton Trans. 2023, 52, 118–127. [Google Scholar] [CrossRef]
- Starova, L.P.; Filatov, S.K.; Fundamenskii, V.S.; Vergasova, L.P. The crystal structure of fedotovite, K2Cu3O(SO4)3. Mineral. Mag. 1991, 55, 613–616. [Google Scholar] [CrossRef]
- Hase, M.; Rule, R.C.; Hester, J.R.; Fernandez-Baca, J.A.; Masuda, T.; Matsuo, Y. A possible magnetic structure of the cluster-based Haldane compound fedotovite K2Cu3O(SO4)3. J. Phys. Soc. Jpn. 2019, 88, 094708. [Google Scholar] [CrossRef]
- Miyazaki, Y.; Yang, H.X.; Kajitani, T. Compounds and subsolidus phase relations in the CaO-Co3O4-CuO system. J. Solid State Chem. 2005, 178, 2973–2979. [Google Scholar] [CrossRef]
- Kageyama, H.; Yoshimura, K.; Kosuge, K.; Azuma, M.; Takano, M.; Mitamura, H.; Goto, T. Magnetic anisotropy of Cas3Co2O6 with ferromagnetic Ising chains. J. Phys. Soc. Jpn. 1997, 66, 3996–4000. [Google Scholar] [CrossRef]
- Whangbo, M.-H.; Dai, D.; Koo, H.-J.; Jobic, S. Investigations of the oxidation states and spin distributions in Ca3Co2O6 and Ca3CoRhO6 by spin-polarized electronic band structure calculations. Solid State Commun. 2003, 125, 413–417. [Google Scholar] [CrossRef]
- Munaò, I.; Zvereva, E.A.; Volkova, O.A.; Vasiliev, A.N.; Armstrong, A.R.; Lightfoot, P. NaFe3(HPO3)2((H,F)PO2OH)6: A Potential Cathode Material and a Novel Ferrimagnet. Inorg. Chem. 2016, 55, 2558–2564. [Google Scholar] [CrossRef] [PubMed]
- Vasiliev, A.N.; Volkova, O.S.; Zvereva, E.A.; Ovchenkov, E.A.; Munao, I.; Clark, L.; Lightfoot, P.; Vavilova, E.L.; Kamusella, S.; Klauss, H.-H.; et al. 1/3 magnetization plateau and frustrated ferrimagnetism in a sodium iron phosphite. Phys. Rev. B 2016, 93, 134401. [Google Scholar] [CrossRef]
- Koo, H.-J.; Kremer, R.K.; Whangbo, M.-H. High-Spin Orbital Interactions Across van der Waals Gaps Controlling the Interlayer Ferromagnetism in van der Waals Ferromagnets. J. Am. Chem. Soc. 2022, 144, 16272–16275. [Google Scholar] [CrossRef]
- Zigan, F.; Schuster, H.D. Verfeinerung der Struktur von Azurit, Cu3(OH)2(CO3)2, durch Neutronenbeugung. Z. Kristallogr. 1972, 135, 416–436. [Google Scholar] [CrossRef]
- Rule, K.C.; Reehuis, M.; Gibson, M.C.R.; Ouladdiaf, B.; Gutmann, M.J.; Hoffmann, J.-U.; Gerischer, S.; Tennant, D.A.; Süllow, S.; Lang, M. Magnetic and crystal structure of azurite Cu3(CO3)2(OH)2 as determined by neutron diffraction. Phys. Rev. B 2011, 83, 104401. [Google Scholar] [CrossRef]
- Kang, J.; Lee, C.; Kremer, R.K.; Whangbo, M.-H. Consequences of the intrachain dimer–monomer spin frustration and the interchain dimer–monomer spin exchange in the diamond-chain compound azurite Cu3(CO3)2(OH)2. J. Phys. Condens. Matter 2009, 21, 392201. [Google Scholar] [CrossRef]
- Jeschke, H.; Opahle, I.; Kandpal, H.; Valentí, R.; Das, H.; Saha-Dasgupta, T.; Janson, O.; Rosner, H.; Brühl, A.; Wolf, B.; et al. Multistep Approach to Microscopic Models for Frustrated Quantum Magnets: The Case of the Natural Mineral Azurite. Phys. Rev. Lett. 2011, 106, 217201. [Google Scholar] [CrossRef]
- Kikuchi, H.; Fujii, Y.; Chiba, M.; Mitsudo, S.; Idehara, T.; Tonegawa, T.; Okamoto, K.; Sakai, T.; Kuwai, T.; Ohta, H. Experimental Observation of the 1/3 Magnetization Plateau in the Diamond-Chain Compound Cu3(CO3)2(OH)2. Phys. Rev. Lett. 2005, 94, 227201. [Google Scholar] [CrossRef] [PubMed]
- Ohta, H.; Okubo, S.; Kamikawa, T.; Kunimoto, T.; Inagaki, Y.; Kikuchi, H.; Saito, T.; Azuma, M.; Takano, M. High Field ESR Study of the S = 1/2 Diamond-Chain Substance Cu3(CO3)2(OH)2 up to the Magnetization Plateau Region. J. Phys. Soc. Jpn. 2003, 72, 2464. [Google Scholar] [CrossRef]
- Lee, C.; Kan, E.J.; Xiang, H.J.; Kremer, R.K.; Lee, S.-H.; Hiroi, Z.; Whangbo, M.-H. Spin Reorientation in the Square-Lattice Antiferromagnets RMnAsO (R = Ce, Nd): Density Functional Analysis of the Spin-Exchange Interactions between the Rare-Earth and Transition-Metal Ions. Inorg. Chem. 2012, 51, 6890–6897. [Google Scholar] [CrossRef]
- Chubukov, A.V.; Golosov, D.I. Quantum theory of an antiferromagnet on a triangular lattice in a magnetic field. J. Phys. Condens. Matter 1991, 3, 69. [Google Scholar] [CrossRef]
- Nishimoto, S.; Shibata, N.; Hotta, C. Controlling frustrated liquids and solids with an applied field in a kagome Heisenberg antiferromagnet. Nat. Commun. 2013, 4, 2287. [Google Scholar] [CrossRef]
- Capponi, S.; Derzhko, O.; Honecker, A.; Läuchli, A.M.; Richter, J. Numerical study of magnetization plateaus in the spin-1/2 kagome Heisenberg antiferromagnet. Phys. Rev. B 2013, 88, 144416. [Google Scholar] [CrossRef]
- Schnack, J.; Schulenburg, J.; Honecker, A.; Richter, J. Magnon Crystallization in the Kagome Lattice Antiferromagnet. Phys. Rev. Lett. 2020, 125, 117207. [Google Scholar] [CrossRef] [PubMed]
- Suetsugu, S.; Asaba, T.; Kasahara, Y.; Kohsaka, Y.; Totsuka, K.; Li, B.; Zhao, Y.; Li, Y.; Tokunaga, M.; Matsuda, Y. Emergent spin-gapped magnetization plateaus in a spin-1/2 perfect kagome antiferromagnet. arXiv 2023, arXiv:2310.10069. [Google Scholar] [CrossRef]
- Jeon, S.; Wulferding, D.; Choi, Y.; Lee, S.; Nam, K.; Kim, K.H.; Lee, M.; Jang, T.-H.; Park, J.-H.; Lee, S.; et al. One-ninth magnetization plateau stabilized by spin entanglement in a kagome antiferromagnet. Nat. Phys. 2024, 20, 435–441. [Google Scholar] [CrossRef]
- Cabra, D.C.; Grynberg, M.D.; Holdsworth, P.C.W.; Honecker, A.; Pujol, P.; Richter, J.; Schmalfuss, D.; Schulenburg, J. Quantum kagome antiferromagnet in a magnetic field: Low-lying non-magnetic excitations versus valence-bond crystal order. Phys. Rev. B 2005, 71, 144420. [Google Scholar] [CrossRef]
- Petrenko, O.A.; Lees, M.R.; Balakrishnan, G.; de Brion, S.; Chouteau, G. Revised magnetic properties of CuFeO2—A case of mistaken identity. J. Phys. Condens. Matter 2005, 17, 2741–2747. [Google Scholar] [CrossRef]
- Saito, M.; Watanabe, M.; Kurita, N.; Matsuo, A.; Kindo, K.; Avdeev, M.; Jeschke, H.O.; Tanaka, H. Successive phase transitions and magnetization plateau in the spin-1 triangular-lattice antiferromagnet Ba2LaNiTe2O12 with small easy-axis anisotropy. Phys. Rev. B 2019, 100, 064417. [Google Scholar] [CrossRef]
- Goto, M.; Ueda, H.; Michioka, C.; Matsuo, A.; Kindo, K.; Yoshimura, K. Various disordered ground states and 1/3 magnetization-plateau-like behavior in the S=1/2 Ti3+ kagomé lattice antiferromagnets Rb2NaTi3F12, Cs2NaTi3F12, and Cs2KTi3F12. Phys. Rev. B 2016, 94, 104432. [Google Scholar] [CrossRef]
- Okuta K, Hara S, Sato H, Narumi Y and Kindo K Observation of 1/3 magnetization-plateau-like anomaly in S=3/2 perfect kagomé lattice antiferromagnet KCr3(OH)6(SO4)2 (Cr-jarosite). J. Phys. Soc. Jpn. 2011, 80, 063703. [CrossRef]
- Okuma, R.; Nakamura, D.; Takeyama, S. Magnetization plateau observed by ultrahigh-field Faraday rotation in the kagomé antiferromagnet herbertsmithite. Phys. Rev. B 2020, 102, 104429. [Google Scholar] [CrossRef]
- Smirnov, A.I.; Soldatov, T.A.; Petrenko, O.A.; Takata, A.; Kida, T.; Hagiwara, M.; Shapiro, A.Y.; Zhitomirsky, M.E. Order by quenched disorder in the model triangular antiferromagnet RbFe(MoO4)2. Phys. Rev. Lett. 2017, 119, 047204. [Google Scholar] [CrossRef] [PubMed]
- Svistov, L.E.; Smirnov, A.I.; Prozorova, L.A.; Petrenko, O.A.; Demianets, L.N.; Shapiro, A.Y. Quasi-two-dimensional antiferromagnet on a triangular lattice RbFe(MoO4)2. Phys. Rev. B 2003, 67, 094434. [Google Scholar] [CrossRef]
- Doi, Y.; Hinatsu, Y.; Ohoyama, K. Structural and magnetic properties of pseudo-two-dimensional triangular antiferromagnets Ba3MSb2O9 (M = Mn, Co, and Ni). J. Phys. Condens. Matter 2004, 16, 8923–8935. [Google Scholar] [CrossRef]
- Kamiya, Y.; Ge, L.; Hong, T.; Qiu, Y.; Quintero-Castro, D.L.; Lu, Z.; Cao, H.B.; Matsuda, M.; Choi, E.S.; Batista, C.D.; et al. The nature of spin excitations in the one-third magnetization plateau phase of Ba3CoSb2O9. Nat. Commun. 2018, 9, 2666. [Google Scholar] [CrossRef]
- Tanaka, H.; Ono, T.; Katori, H. Magnetic phase transition and magnetization plateau in Cs2CuBr4. Progr. Theor. Phys. Suppl. 2022, 145, 101–106. [Google Scholar] [CrossRef]
- Whangbo, M.-H.; Koo, H.-J.; Dai, D. Spin exchange interactions and magnetic structures of extended magnetic solids with localized spins: Theoretical descriptions on formal, quantitative and qualitative level. J. Solid State Chem. 2005, 176, 417–481. [Google Scholar] [CrossRef]
- dos Santos, A.M.; Brandao, P.; Fitch, A.; Reis, M.S.; Amaral, V.S.; Rocha, J. Synthesis, crystal structure and magnetic characterization of Na2Cu5(Si2O7)2: An inorganic ferrimagnetic chain. J. Solid State Chem. 2007, 180, 16–21. [Google Scholar] [CrossRef]
- Vasiliev, A.N. Private communication.
- Liu, X.C.; Ouyang, Z.W.; Yue, X.Y.; Jiang, X.; Wang, Z.X.; Wang, J.F.; Xia, Z.C. Structure and 3/7-like magnetization plateau of layered Y2Cu7(TeO3)6Cl6(OH)2 containing diamond chains and trimers. Inorg. Chem. 2019, 58, 10680–10685. [Google Scholar] [CrossRef]
- Volkova, L.M.; Marinin, D.V. Antiferromagnetic spin-frustrated layers of corner-sharing Cu4 tetrahedra on the kagomé lattice in volcanic minerals Cu5O2(VO4)2(CuCl), NaCu5O2(SeO3)2Cl3, and K2Cu5Cl8(OH)4·2H2O. J. Phys. Condens. Matter 2018, 30, 425801. [Google Scholar] [CrossRef] [PubMed]
- Zhang, S.-Y.; Guo, W.-B.; Yang, M.; Tang, Y.-Y.; Cui, M.-Y.; Wang, N.-N.; He, Z.-Z. A frustrated ferrimagnet Cu5(VO4)2(OH)4 with a 1/5 magnetization plateau on a new spin-lattice of alternating triangular and honeycomb strips. Dalton Trans. 2015, 44, 20562–20567. [Google Scholar] [CrossRef] [PubMed]
- Vasiliev, A.N.; Berdonosov, P.S.; Kozlyakova, E.S.; Maximova, O.V.; Murtazoev, A.F.; Dolgikh, V.A.; Lyssenko, K.A.; Pchelkina, Z.V.; Gorbunov, D.I.; Chung, S.H.; et al. Observation of a 1/3 magnetization plateau in Pb2Cu10O4(SeO3)4Cl7 arising from (Cu2+)7 clusters of corner-sharing (Cu2+)4 tetrahedra. Dalton Trans. 2022, 51, 15017–15021. [Google Scholar] [CrossRef] [PubMed]
- Tang, Y.; Guo, W.; Zhang, S.; Xiang, H.; Cui, M.; He, Z. Na2Cu7(SeO3)4O2Cl4: A selenite chloride compound with Cu7 units showing spin-frustration and a magnetization plateau. Dalton Trans. 2016, 45, 8324–8326. [Google Scholar] [CrossRef]
- Albright, T.A.; Burdett, J.K.; Whangbo, M.-H. Orbital Interactions in Chemistry; Wiley: New York, NY, USA, 1985; Chapter 17. [Google Scholar]
- Facheris, L.; Povarov, K.Y.; Nabi, S. D.; Mazzone, D. G.; Lass, J.; Roessli, B.; Ressouche, E.; Yan, Z.; Gvasaliya, S.; Zheludev, A. Spin Density Wave versus Fractional Magnetization Plateau in a Triangular Antiferromagnet. Phys. Rev. Lett. 2022, 129, 087201. [Google Scholar] [CrossRef]
- Cao, J.J.; Ouyang, Z.W.; Liu, X.C.; Xiao, T.T.; Song, Y.R.; Wang, J.F.; Ishii, Y.; Zhou, X.G.; Matsuda, Y.H. Unusual dimerization and magnetization plateaus in S = 1 skew chain Ni2V2O7 observed at 120 T. Phys. Rev. B 2022, 106, 184409. [Google Scholar] [CrossRef]
- Guo, K.; Ma, Z.; Liu, H.; Wu, Z.; Wang, J.; Shi, Y.; Li, Y.; Jia, S. 1/3 and other magnetization plateaus in the quasi-one-dimensional Ising magnet TbTi3Bi4 with zigzag spin chain. Phys. Rev. B 2024, 110, 064416. [Google Scholar] [CrossRef]
- Chen, Y.; Zhang, Y.; Li, R.; Su, H.; Shan, Z.; Smidman, M.; Yuan, H. Multiple magnetic phases and magnetization plateaus in TbRh6Ge4. Phys. Rev. B 2023, 107, 094414. [Google Scholar] [CrossRef]
- Yuan, N.; Elghandour, A.; Hergett, W.; Ohlendorf, R.; Gries, L.; Klingeler, R. 1/3 plateau and 3/5 discontinuity in the magnetization and the magnetic phase diagram of hexagonal GdInO3. Phys. Rev. B 2023, 108, 224403. [Google Scholar] [CrossRef]
- Kikuchi, H.; Fujii, Y.; Ishikawa, Y.; Matsuo, A.; Kindo, K.; Widyaiswari, U.; Watanabe, I. Magnetic Plateaux of the Frustrated Magnet, Pseudomalachite. JPS Conf. Proc. 2023, 38, 011127. [Google Scholar]
- Yalikun, A.; Wang, Y.; Shi, N.; Chen, Y.; Huang, H.; Koo, H.-J.; Ouyang, Z.; Xia, Z.; Kremer, R.K.; Whangbo, M.-H.; et al. Polar Layered Magnet Ba2Cu3(SeO3)4F2 Composed of Bitriangular Chains: Observation of 1/3-Magnetization Plateau. Chem. Mater. 2024, 36, 7887–7896. [Google Scholar] [CrossRef]
- Tanaka, H.; Matsuo, A.; Kindo, K. One-half magnetization plateau in the spin-1/2 fcc lattice antiferromagnet Sr2CoTeO6. Phys. Rev. B 2024, 109, 094414. [Google Scholar] [CrossRef]
- Liu, X.; Ouyang, Z.; Jiang, D.; Cao, J.; Xiao, T.; Wang, Z.; Xia, Z.; Tong, W. Syntheses, structure and magnetization plateau of staircase kagome-lattice antiferromagnet Cu3Bi(TeO3)2O2Cl. J. Magn. Magn. Mater. 2023, 565, 170228. [Google Scholar] [CrossRef]
- Shangguan, Y.; Bao, S.; Dong, Z.-Y.; Xi, N.; Gao, Y.-P.; Ma, Z.; Wang, W.; Qi, Z.; Zhang, S.; Huang, Z.; et al. A one-third magnetization plateau phase as evidence for the Kitaev interaction in a honeycomb-lattice antiferromagnet. Nat. Phys. 2023, 19, 1883–1889. [Google Scholar] [CrossRef]
- Hida, K.; Affleck, I. Quantum vs classical magnetization plateaus of S=1/2 frustrated Heisenberg chains. J. Phys. Soc. Jpn. 2005, 74, 1849–1857. [Google Scholar] [CrossRef]
- Sakai, T.; Okamoto, K. Quantum magnetization plateaux of an anisotropic ferrimagnetic spin chain. Phys. Rev. B 2002, 64, 214403. [Google Scholar] [CrossRef]
- Momoi, T.; Totsuka, K. Magnetization plateaus as insulator-superfluid transitions in quantum spin systems. Phys. Rev. B 2000, 61, 3231–3234. [Google Scholar] [CrossRef]
- Heidrich-Meissner, F.; Sergienko, I.A.; Feiguin, A.E.; Dagotto, E.R. Universal emergence of the one-third plateau in the magnetization process of frustrated quantum spin chains. Phys. Rev. B 2007, 75, 064413. [Google Scholar] [CrossRef]
- Takayoshi, S.; Totsuka, K.; Tanaka, A. Symmetry-protected topological order in magnetization plateau states of quantum spin chains. Phys. Rev. B 2015, 91, 155136. [Google Scholar] [CrossRef]
- Narumi, Y.; Katsumata, K.; Honda, Z.; Domenge, J.-C.; Sindzingre, P.; Lhuillier, C.; Shimaoka, Y.; Kobayashi, T.C.; Kindo, K. Observation of a transient magnetization plateau in a quantum antiferromagnet on the kagomé lattice. Europhys. Lett. 2004, 65, 705–711. [Google Scholar] [CrossRef][Green Version]
- Hu, H.; Cheng, C.; Xu, Z.; Luo, H.-G.; Chen, S. Topological nature of magnetization plateaus in periodically modulated quantum spin chains. Phys. Rev. B 2014, 90, 035150. [Google Scholar] [CrossRef]
- Coletta, T.; Zhitomirsky, M.E.; Mila, F. Quantum stabilization of classically unstable plateau structures. Phys. Rev. B 2013, 87, 060407. [Google Scholar] [CrossRef]
- Tandon, K.; Lal, S.; Pati, S.K.; Ramasesha, S.; Sen, D. Magnetization properties of some quantum spin ladders. Phys. Rev. B 1999, 59, 396–410. [Google Scholar] [CrossRef]
- Adhikary, M.; Ralko, A.; Kumar, B. Quantum paramagnetism and magnetization plateaus in a kagomé-honeycomb Heisenberg antiferromagnet. Phys. Rev. B 2021, 104, 094416. [Google Scholar] [CrossRef]
- Ohanyan, V.; Rojas, O.; Strečka, J.; Bellucci, S. Absence of actual plateaus in zero-temperature magnetization curves of quantum spin clusters and chains. Phys. Rev. B 2015, 92, 214423. [Google Scholar] [CrossRef]
- Ananikian, N.S.; Strečka, J.; Hovhannisyan, V. Magnetization plateaus of an exactly solvable spin-1 Ising–Heisenberg diamond chain. Sol. St. Comm. 2014, 194, 48–53. [Google Scholar] [CrossRef][Green Version]
- Totsuka, K. Magnetization process of random quantum spin chains. Phys. Rev. B 2001, 64, 134420. [Google Scholar] [CrossRef]
- Pal, S.; Lal, S. Magnetization plateaus of the quantum pyrochlore Heisenberg antiferromagnet. Phys. Rev. B 2019, 100, 104421. [Google Scholar] [CrossRef]
- Plat, X.; Alet, F.; Capponi, S.; Totsuka, K. Magnetization plateaus of an easy-axis kagomé antiferromagnet with extended interactions. Phys. Rev. B 2015, 92, 174402. [Google Scholar] [CrossRef]
- Yoshida, H.K. Frustrated kagomé antiferromagnets under high magnetic fields. J. Phys. Soc. Jpn. 2022, 91, 101003. [Google Scholar] [CrossRef]
- Whangbo, M.-H.; Koo, H.-J.; Kremer, R.K.; Vasilieve, A.N. Magnetization Plateaus by the Field-Induced Partitioning of Spin Lattices. arXiv 2024, arXiv:2409.19529. [Google Scholar]


































































Disclaimer/Publisher’s Note: The statements, opinions and data contained in all publications are solely those of the individual author(s) and contributor(s) and not of MDPI and/or the editor(s). MDPI and/or the editor(s) disclaim responsibility for any injury to people or property resulting from any ideas, methods, instructions or products referred to in the content. |
© 2024 by the authors. Licensee MDPI, Basel, Switzerland. This article is an open access article distributed under the terms and conditions of the Creative Commons Attribution (CC BY) license (https://creativecommons.org/licenses/by/4.0/).
Share and Cite
Whangbo, M.-H.; Koo, H.-J.; Kremer, R.K.; Vasiliev, A.N. Magnetization Plateaus by the Field-Induced Partitioning of Spin Lattices. Condens. Matter 2024, 9, 45. https://doi.org/10.3390/condmat9040045
Whangbo M-H, Koo H-J, Kremer RK, Vasiliev AN. Magnetization Plateaus by the Field-Induced Partitioning of Spin Lattices. Condensed Matter. 2024; 9(4):45. https://doi.org/10.3390/condmat9040045
Chicago/Turabian StyleWhangbo, Myung-Hwan, Hyun-Joo Koo, Reinhard K. Kremer, and Alexander N. Vasiliev. 2024. "Magnetization Plateaus by the Field-Induced Partitioning of Spin Lattices" Condensed Matter 9, no. 4: 45. https://doi.org/10.3390/condmat9040045
APA StyleWhangbo, M.-H., Koo, H.-J., Kremer, R. K., & Vasiliev, A. N. (2024). Magnetization Plateaus by the Field-Induced Partitioning of Spin Lattices. Condensed Matter, 9(4), 45. https://doi.org/10.3390/condmat9040045

