Effect of the Spatially-Varied Electron Mean Free Path on Vortex Matter in a Superconducting Pb Island Grown on Si (111)
Abstract
:1. Introduction
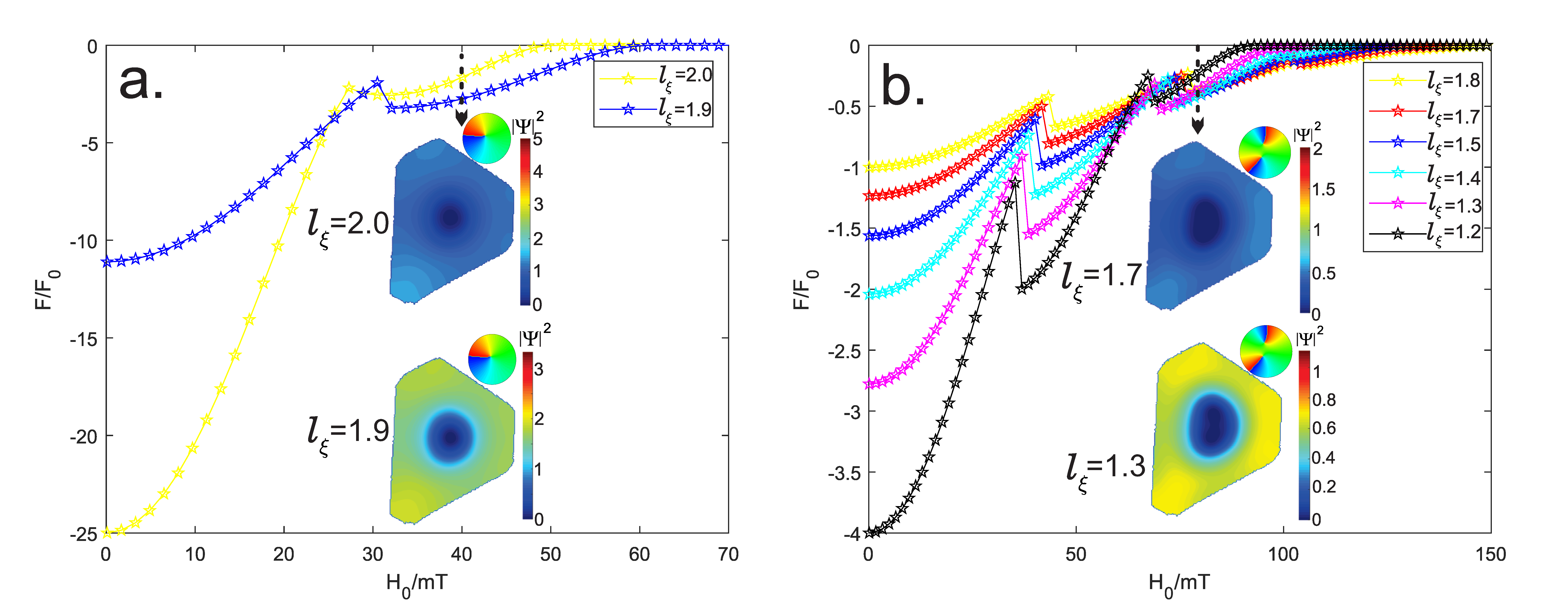
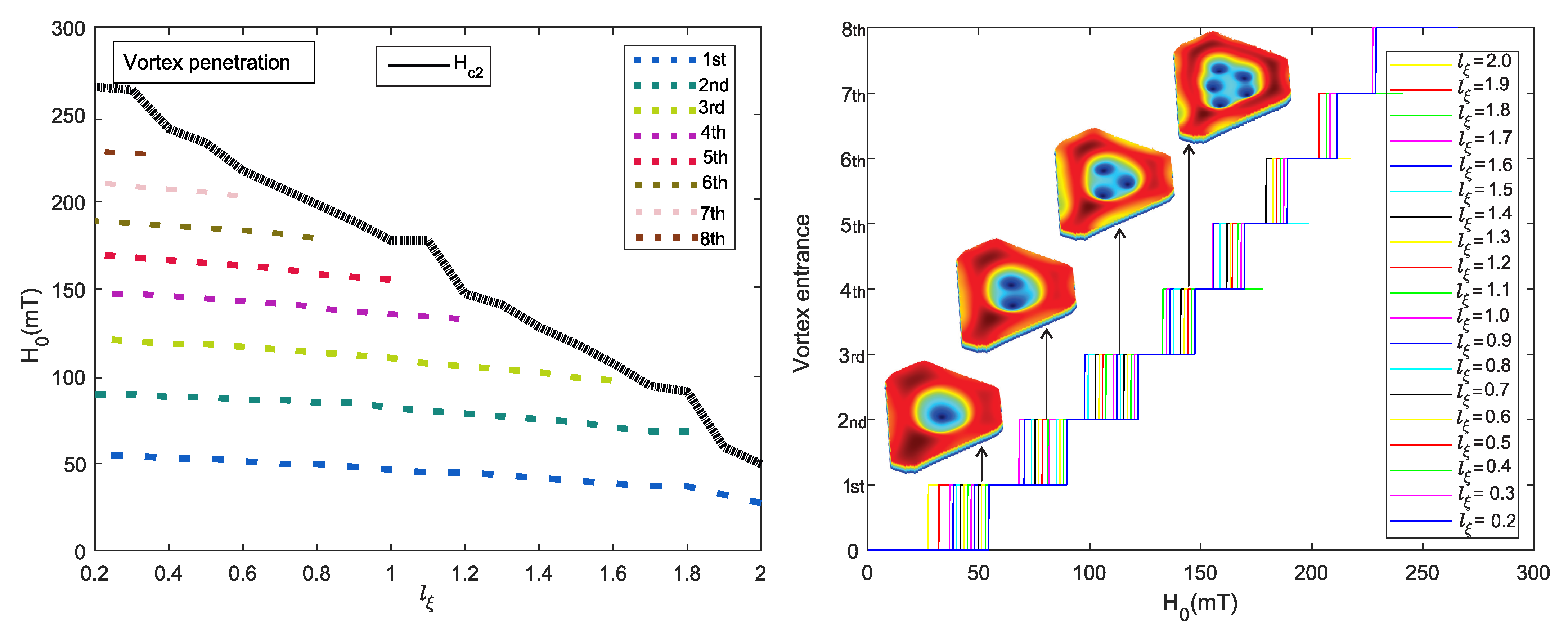
2. Results and Discussion
3. Materials and Methods
4. Conclusions
Author Contributions
Funding
Data Availability Statement
Acknowledgments
Conflicts of Interest
Appendix A
| l/nm | |||||||||
|---|---|---|---|---|---|---|---|---|---|
| 0.2 | 27.29 | 49.69 | |||||||
| 0.3 | 32.09 | 59.29 | |||||||
| 0.4 | 36.89 | 68.89 | 91.28 | ||||||
| 0.5 | 36.89 | 68.29 | 94.48 | ||||||
| 0.6 | 38.49 | 70.49 | 97.68 | 107.28 | |||||
| 0.7 | 40.09 | 73.69 | 99.28 | 118.48 | |||||
| 0.8 | 41.69 | 75.29 | 102.48 | 128.08 | |||||
| 0.9 | 43.29 | 76.89 | 104.08 | 140.88 | |||||
| 1.0 | 44.89 | 78.49 | 105.68 | 147.28 | |||||
| 1.1 | 44.89 | 80.09 | 107.28 | 132.88 | 177.67 | ||||
| 1.2 | 46.49 | 81.68 | 110.48 | 134.48 | 155.28 | 177.67 | |||
| 1.3 | 48.09 | 84.88 | 112.08 | 136.08 | 156.88 | 188.87 | |||
| 1.4 | 49.69 | 84.88 | 113.68 | 137.68 | 158.48 | 198.47 | |||
| 1.5 | 49.69 | 86.48 | 115.28 | 140.88 | 161.68 | 179.27 | 208.07 | ||
| 1.6 | 51.29 | 86.48 | 116.88 | 142.48 | 163.28 | 182.47 | 217.67 | ||
| 1.7 | 52.89 | 88.08 | 118.48 | 144.08 | 164.87 | 184.07 | 203.27 | 233.67 | |
| 1.8 | 52.89 | 88.08 | 118.48 | 145.68 | 166.47 | 185.67 | 206.47 | 241.67 | |
| 1.9 | 54.49 | 89.68 | 120.08 | 147.28 | 168.07 | 187.27 | 208.07 | 227.27 | 264.06 |
| 2.0 | 54.49 | 89.68 | 121.68 | 147.27 | 169.67 | 188.87 | 211.27 | 228.80 | 265.66 |
Appendix B

References
- Tinkham, M. Introduction to Superconductivity, 2nd ed.; Dover Publications, Inc.: New York, NY, USA, 2004. [Google Scholar]
- Moshchalkov, V.V.; Qiu, X.G.; Bruyndoncx, V. Paramagnetic Meissner effect from the self-consistent solution of the Ginzburg-Landau equations. Phys. Rev. B 1997, 55, 11793. [Google Scholar] [CrossRef]
- Schweigert, V.A.; Peeters, F.M.; Singha Deo, P. Vortex Phase Diagram for Mesoscopic Superconducting Disks. Phys. Rev. Lett. 1998, 81, 2783. [Google Scholar] [CrossRef]
- Mel’nikov, A.S.; Ryzhov, D.A.; Silaev, M.A. Electronic structure and heat transport of multivortex configurations in mesoscopic superconductors. Phys. Rev. B. 2008, 78, 064513. [Google Scholar] [CrossRef]
- Geim, A.K.; Grigorieva, I.V.; Dubonos, S.V.; Lok, J.G.S.; Maan, J.C.; Filippov, A.E.; Peeters, F.M. Phase transitions in individual sub-micrometre superconductors. Nature 1997, 390, 259. [Google Scholar] [CrossRef]
- Jelić, Ž.L.; Milošević, M.V.; Silhanek, A.V. Velocimetry of superconducting vortices based on stroboscopic resonances. Sci. Rep. 2016, 6, 35687. [Google Scholar] [CrossRef] [PubMed]
- Jelić, Ž.L.; Milošević, M.V.; Van de Voldel, J.; Silhanek, A.V. Stroboscopic phenomena in superconductors with dynamic pinning landscape. Sci. Rep. 2015, 5, 14604. [Google Scholar] [CrossRef]
- Milošević, M.V.; Peeters, F.M. Vortex manipulation in a superconducting matrix with view on applications. Appl. Phys. Lett. 2010, 96, 192501. [Google Scholar] [CrossRef]
- Berdiyorov, G.R.; Baelus, B.J.; Milošević, M.V.; Peeters, F.M. Stability and transition between vortex configurations in square mesoscopic samples with antidots. Phys. Rev. B 2003, 68, 174521. [Google Scholar] [CrossRef]
- Berdiyorov, G.R.; Baelus, B.J.; Milošević, M.V.; Peeters, F.M. The superconducting state in square mesoscopic samples with two and four antidots. Phys. C Supercond. 2004, 404, 1–4. [Google Scholar] [CrossRef]
- Schweigert, V.A.; Peeters, F.M. Flux Penetration and Expulsion in Thin Superconducting Disks. Phys. Rev. Lett. 1999, 83, 2409. [Google Scholar] [CrossRef]
- Baelus, B.J.; Peeters, F.M. Dependence of the vortex configuration on the geometry of mesoscopic flat samples. Phys. Rev. B 2002, 65, 104515. [Google Scholar] [CrossRef]
- González, J.D.; Joya, M.R.; Barba-Ortega, J. Flux Vortex state in thermally-induced pinning patterns in superconducting film. Phys. Lett. A. 2018, 382, 3103–3108. [Google Scholar] [CrossRef]
- González, J.D.; Gaona, O.J.; Barba-Ortega, J. Vortex States in a Multigeometric Mesoscopic Superconductor. J. Low Temp. Phys. 2020, 198, 123–134. [Google Scholar] [CrossRef]
- Little, W.A.; Parks, R.D. Observation of Quantum Periodicity in the Transition Temperature of a Superconducting Cylinder. Phys. Rev. Lett. 1962, 9, 9. [Google Scholar] [CrossRef]
- Moshchalkov, V.V.; Gielen, L.; Strunk, C.; Jonckheere, R.; Qiu, X.; Van Haesendonck, C.; Bruynseraede, Y. Effect of sample topology on the critical fields of mesoscopic superconductors. Nature 1995, 373, 319–322. [Google Scholar] [CrossRef]
- Nishio, T.; Chen, Q.; Gillijns, W.; Keyser, K.D.; Vervaeke, K.; Moshchalkov, V.V. Scanning Hall probe microscopy of vortex patterns in a superconducting microsquare. Phys. Rev. B 2008, 77, 012502. [Google Scholar] [CrossRef]
- Kanda, A.; Baelus, B.J.; Peeters, F.M.; Kadowaki, K.; Ootuka, Y. Experimental Evidence for Giant Vortex States in a Mesoscopic Superconducting Disk. Phys. Rev. Lett. 2004, 93, 257002. [Google Scholar] [CrossRef]
- Nishio, T.; Ono, M.; Eguchi, T.; Sakata, H.; Hasegawa, Y. Superconductivity of nanometer-size Pb islands studied by low-temperature scanning tunneling microscopy. Appl. Phys. Lett. 2006, 88, 113115. [Google Scholar] [CrossRef]
- Okayasu, S.; Nishio, T.; Hata, Y.; Suzuki, J.; Kakeya, I.; Kadowaki, K.; Moshchalkov, V.V. Vortex imaging in microscopic superconductors with a scanning SQUID microscope. IEEE Trans. Appl. Supercond. 2005, 15, 696–698. [Google Scholar] [CrossRef]
- Karapetrov, G.; Fedor, J.; Iavarone, M.; Rosenmann, D.; Kwok, W.K. Direct observation of geometrical phase transitions in mesoscopic superconductors by scanning tunneling microscopy. Phys. Rev. Lett. 2005, 95, 167002. [Google Scholar] [CrossRef]
- Cren, T.; Fokin, D.; Debontridder, F.; Dubost, V.; Roditchev, D. Ultimate Vortex Confinement Studied by Scanning Tunneling Spectroscopy. Phys. Rev. Lett. 2009, 102, 127005. [Google Scholar] [CrossRef] [PubMed]
- Nishio, T.; An, T.; Nomura, A.; Miyachi, K.; Eguchi, T.; Sakata, H. Superconducting Pb Island Nanostructures Studied by Scanning Tunneling Microscopy and Spectroscopy. Phys. Rev. Lett. 2008, 101, 167001. [Google Scholar] [CrossRef]
- Roditchev, D.; Brun, C.; Sierrer-Garcia, L.; Cuevas, J.; Liola, V.; Milošević, M.; Debontridder, F.; Stolyarov, V.; Cren, T. Direct observation of Josephson vortex cores. Nature 2015, 11, 332–337. [Google Scholar] [CrossRef]
- Miller, J.H., Jr.; Villagrán, M.Y.S. Time-Correlated Vortex Tunneling in Layered Superconductors. Condens. Matter 2017, 2, 21. [Google Scholar] [CrossRef]
- Milošević, M.V.; Kanda, A.; Hatsumi, S.; Peeters, F.M.; Ootuka, Y. Local Current Injection into Mesoscopic Superconductors for the Manipulation of Quantum States. Phys. Rev. Lett. 2009, 103, 217003. [Google Scholar] [CrossRef] [PubMed]
- Lukyanchuk, I.; Vinokur, V.M.; Rydh, A.; Xie, R.; Milošević, M.V.; Welp, U.; Zach, M.; Xiao, Z.L.; Crabtree, G.W.; Bending, S.J.; et al. Rayleigh instability of confined vortex droplets in critical superconductors. Nat. Phys. 2015, 11, 21–25. [Google Scholar] [CrossRef]
- Embon, L.; Anahory, Y.; Jelić, Ž.L.; Lachman, E.O.; Myasoedov, Y.; Huber, M.E.; Mikitik, G.P.; Silhanek, A.V.; Milošević, M.V.; Gurevich, A.; et al. Imaging of super-fast dynamics and flow instabilities of superconducting vortices. Nat. Commun. 2017, 8, 85. [Google Scholar] [CrossRef]
- Orús, P.; Córdoba, R.; De Teresa, J.M. Nanofabrication: Nanolithography Techniques and Their Applications, 1st ed.; IOP Publishing: Bristol, UK, 2020. [Google Scholar]
- Utlaut, M. Focused Ion Beams for Nano–Machining and Imaging, 1st ed.; University of Portland: Portland, OR, USA, 2014. [Google Scholar]
- Orús, P.; Sigloch, F.; Sangiao, S.; De Teresa, J.M. Superconducting Materials and Devices Grown by Focused Ion and Electron Beam Induced Deposition. Nanomaterials 2022, 12, 1367. [Google Scholar] [CrossRef] [PubMed]
- Geahel, M.; Jouanny, I.; Gorse-Pomonti, D.; Poirier-Quinot, M.; Briatico, J.; Van der Beek, C.J. Edge Contamination, Bulk Disorder, Flux Front Roughening, and Multiscaling in Type II Superconducting Thin Films. Condens. Matter 2017, 2, 27. [Google Scholar] [CrossRef]
- Haberkorn, N.; Kim, J.; Gofryk, K.; Ronning, F.; Sefat, A.S.; Fang, L.; Welp, U.; Kwok, W.K.; Civale, L. Enhancement of the critical current density by increasing the collective pinning energy in heavy ion irradiated Co-doped BaFe2As2 single crystals. Supercond. Sci. Technol. 2015, 28, 055011. [Google Scholar] [CrossRef]
- Maccari, I.; Benfatto, L.; Castellani, C. Uniformly Frustrated XY Model: Strengthening of the Vortex Lattice by Intrinsic Disorder. Condens. Matter 2021, 6, 42. [Google Scholar] [CrossRef]
- Lombardo, J.; Jelić, Ž.L.; Baumans, X.D.A.; Scheerder, J.E.; Nacenta, J.P.; Moshchalkov, V.V.; Van de Vondel, J.; Kramer, R.B.G.; Milošević, M.V.; Silhanek, A.V. In situ tailoring of superconducting junctions via electro-annealing. Nanoscale 2018, 10, 1987–1996. [Google Scholar] [CrossRef] [PubMed]
- Koren, G. Magnetoresistance, Gating and Proximity Effects in Ultrathin NbN-Bi2Se3 Bilayers. Condens. Matter 2017, 2, 14. [Google Scholar] [CrossRef]
- Fagaly, R.L. Superconducting quantum interference device instruments and applications. Rev. Sci. Instruments 2006, 77, 101101. [Google Scholar] [CrossRef]
- Natarajan, C.M.; Tanner, M.G.; Hadfield, R.H. Superconducting nanowire single-photon detectors: Physics and applications. Supercond. Sci. Technol. 2012, 25, 063001. [Google Scholar] [CrossRef]
- Vion, D.; Aassime, A.; Cottet, A.; Joyez, P.; Pothier, H.; Urbina, C.; Esteve, D.; Devoret, M.H. Manipulating the Quantum State of an Electrical Circuit. Science 2002, 296, 886–889. [Google Scholar] [CrossRef]
- Chiorescu, I.; Nakamura, Y.; Harmans, C.M.; Mooij, J. Coherent Quantum Dynamics of a Superconducting Flux Qubit. Science 2003, 299, 1869–1871. [Google Scholar] [CrossRef]
- Bean, C.P.; Livingston, J.D. Surface Barrier in Type-II Superconductors. Phys. Rev. Lett. 1964, 12, 14. [Google Scholar] [CrossRef]
- Berdiyorov, G.R.; Milošević, M.V.; Baelus, B.J.; Peeters, F.M. Superconducting vortex state in a mesoscopic disk containing a blind hole. Phys. Rev. B 2004, 70, 024508. [Google Scholar] [CrossRef]
- Berdiyorov, G.R.; Misko, V.R.; Milošević, M.V.; Escoffier, W.; Grigorieva, I.V.; Peeters, F.M. Pillars as antipinning centers in superconducting films. Phys. Rev. B 2008, 77, 024526. [Google Scholar] [CrossRef]
- Berdiyorov, G.R.; Milošević, M.V.; Peeters, F.M. Composite vortex ordering in superconducting films with arrays of blind holes. New J. Phys. 2009, 11, 013025. [Google Scholar] [CrossRef]






Disclaimer/Publisher’s Note: The statements, opinions and data contained in all publications are solely those of the individual author(s) and contributor(s) and not of MDPI and/or the editor(s). MDPI and/or the editor(s) disclaim responsibility for any injury to people or property resulting from any ideas, methods, instructions or products referred to in the content. |
© 2023 by the authors. Licensee MDPI, Basel, Switzerland. This article is an open access article distributed under the terms and conditions of the Creative Commons Attribution (CC BY) license (https://creativecommons.org/licenses/by/4.0/).
Share and Cite
González, J.; González, J.; Durán, F.; Salas, C.; Gómez, J. Effect of the Spatially-Varied Electron Mean Free Path on Vortex Matter in a Superconducting Pb Island Grown on Si (111). Condens. Matter 2023, 8, 77. https://doi.org/10.3390/condmat8030077
González J, González J, Durán F, Salas C, Gómez J. Effect of the Spatially-Varied Electron Mean Free Path on Vortex Matter in a Superconducting Pb Island Grown on Si (111). Condensed Matter. 2023; 8(3):77. https://doi.org/10.3390/condmat8030077
Chicago/Turabian StyleGonzález, Jesús, Jader González, Fernando Durán, Carlos Salas, and Jorge Gómez. 2023. "Effect of the Spatially-Varied Electron Mean Free Path on Vortex Matter in a Superconducting Pb Island Grown on Si (111)" Condensed Matter 8, no. 3: 77. https://doi.org/10.3390/condmat8030077
APA StyleGonzález, J., González, J., Durán, F., Salas, C., & Gómez, J. (2023). Effect of the Spatially-Varied Electron Mean Free Path on Vortex Matter in a Superconducting Pb Island Grown on Si (111). Condensed Matter, 8(3), 77. https://doi.org/10.3390/condmat8030077

