The Transport and Optical Characteristics of a Metal Exposed to High-Density Energy Fluxes in Compressed and Expanded States of Matter
Abstract
1. Introduction
2. Results
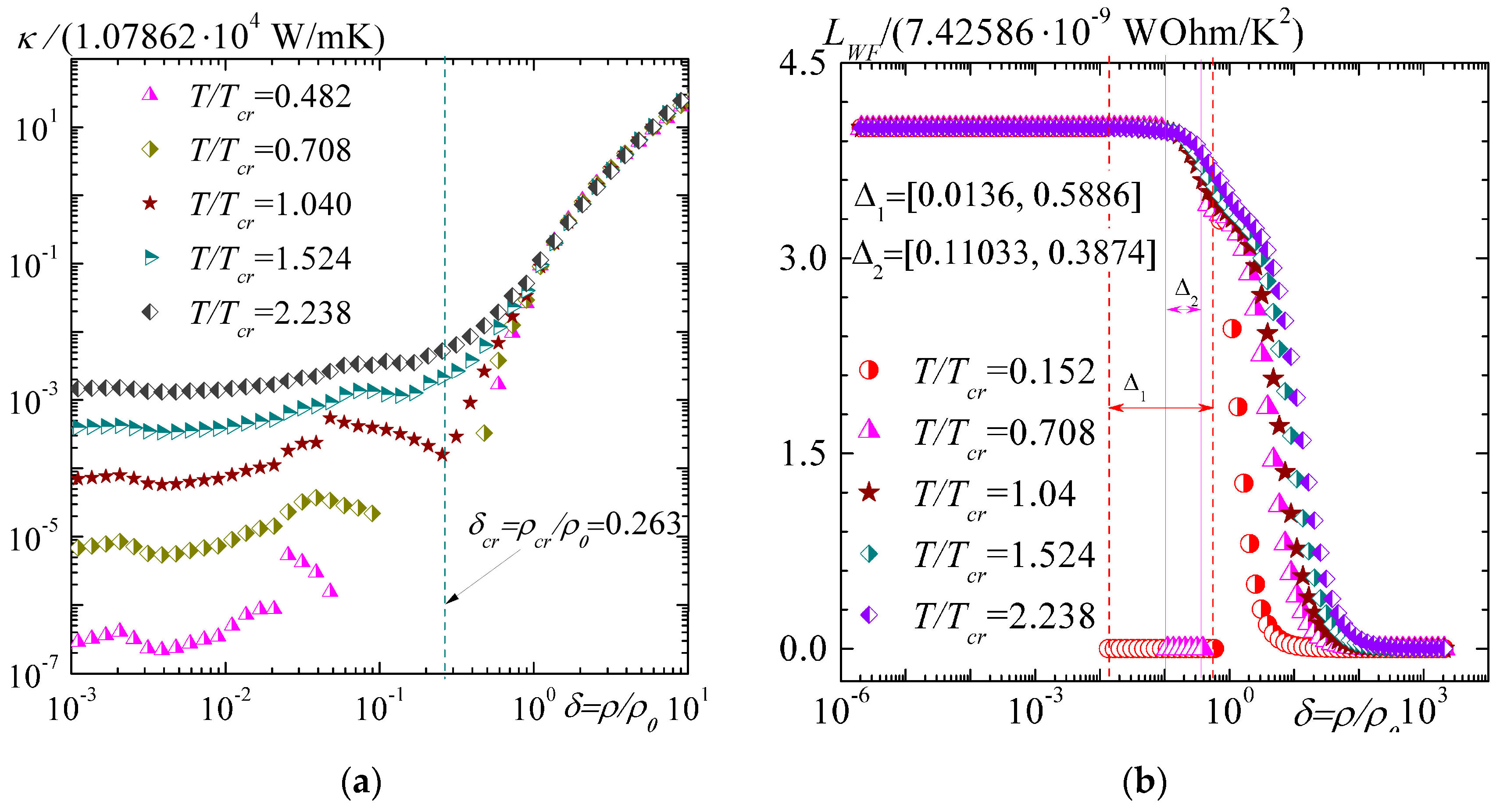
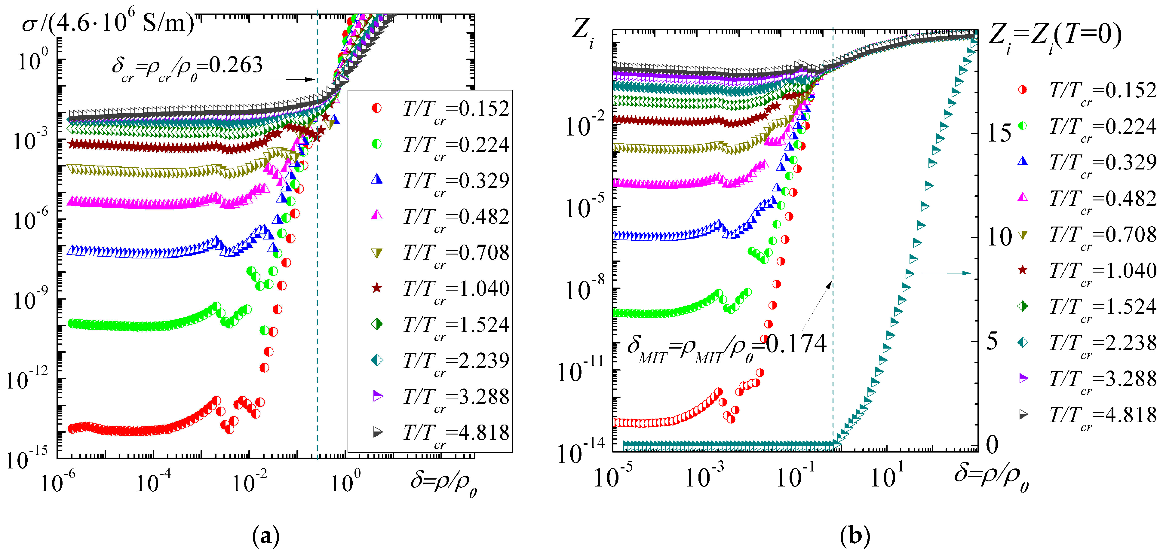
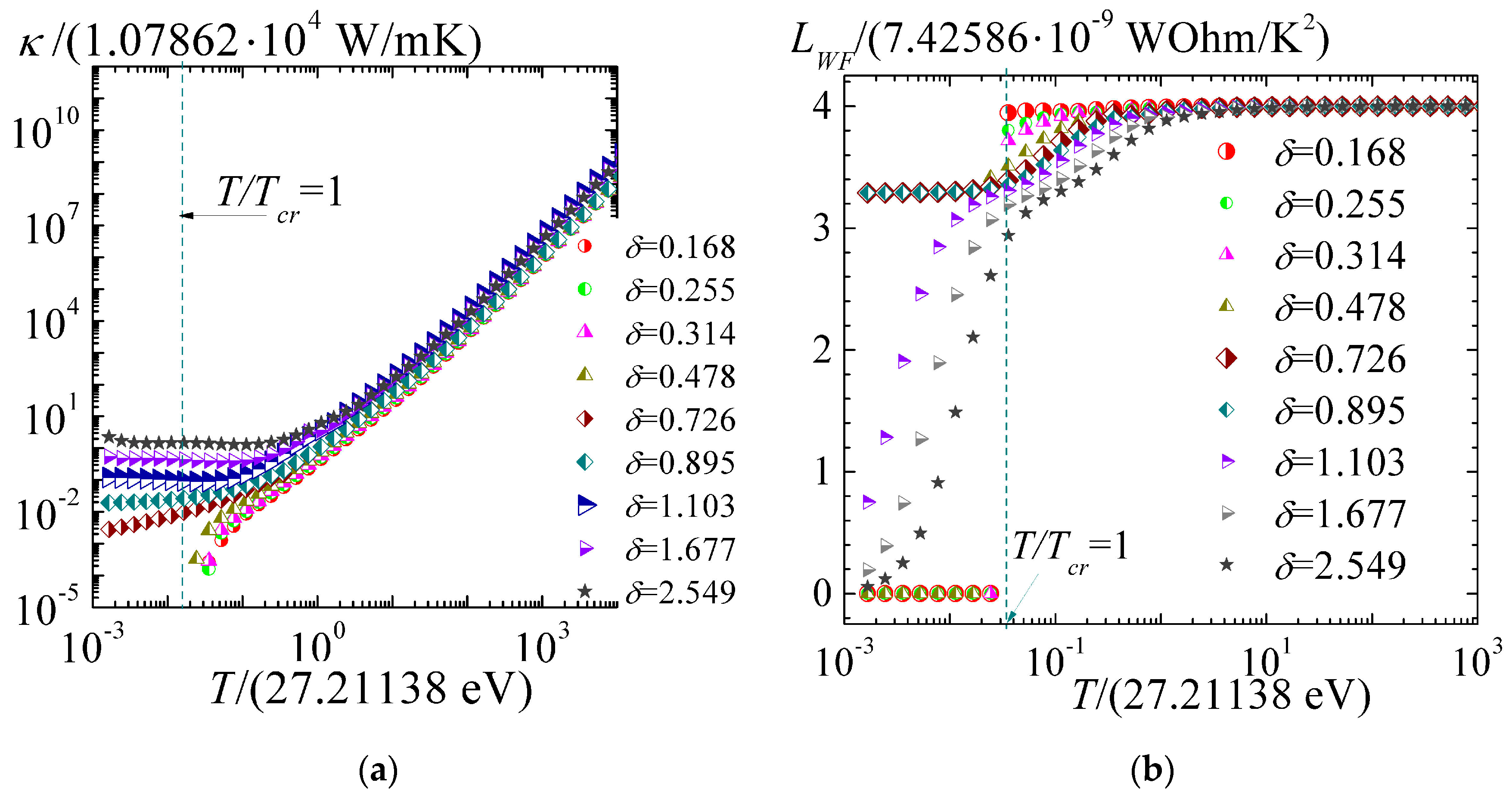
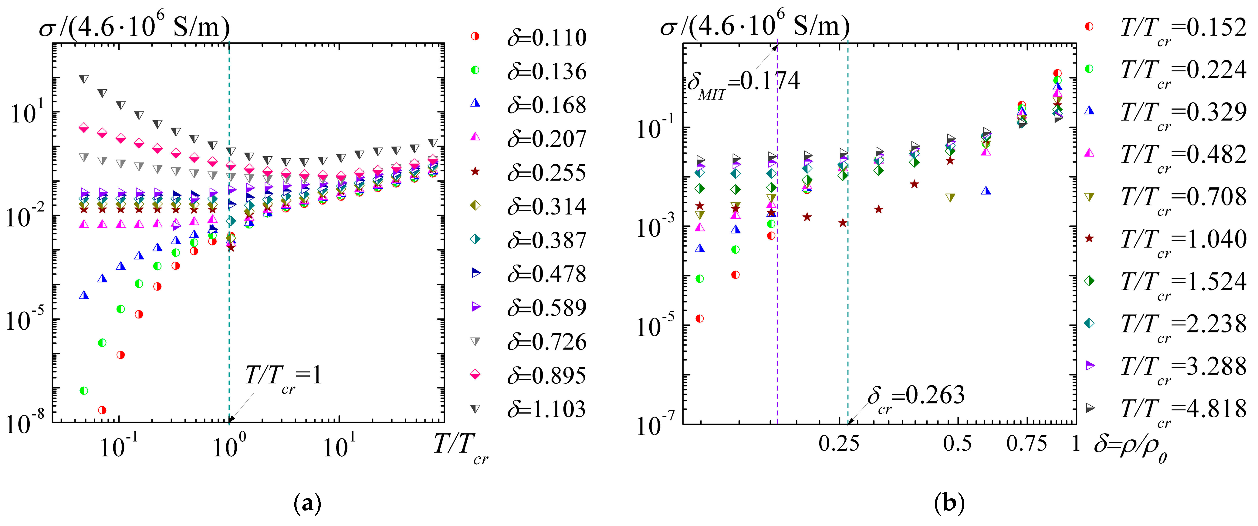
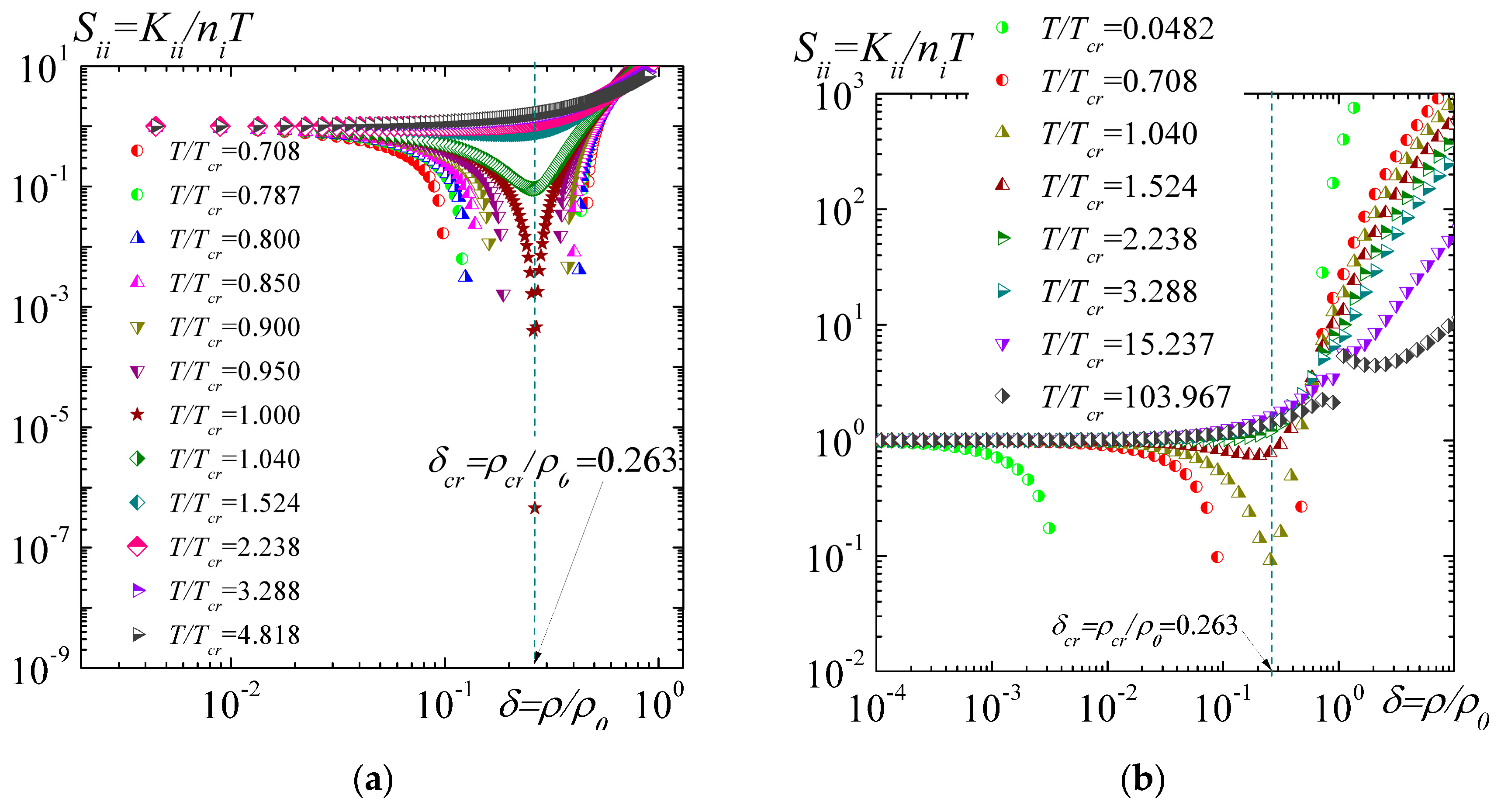
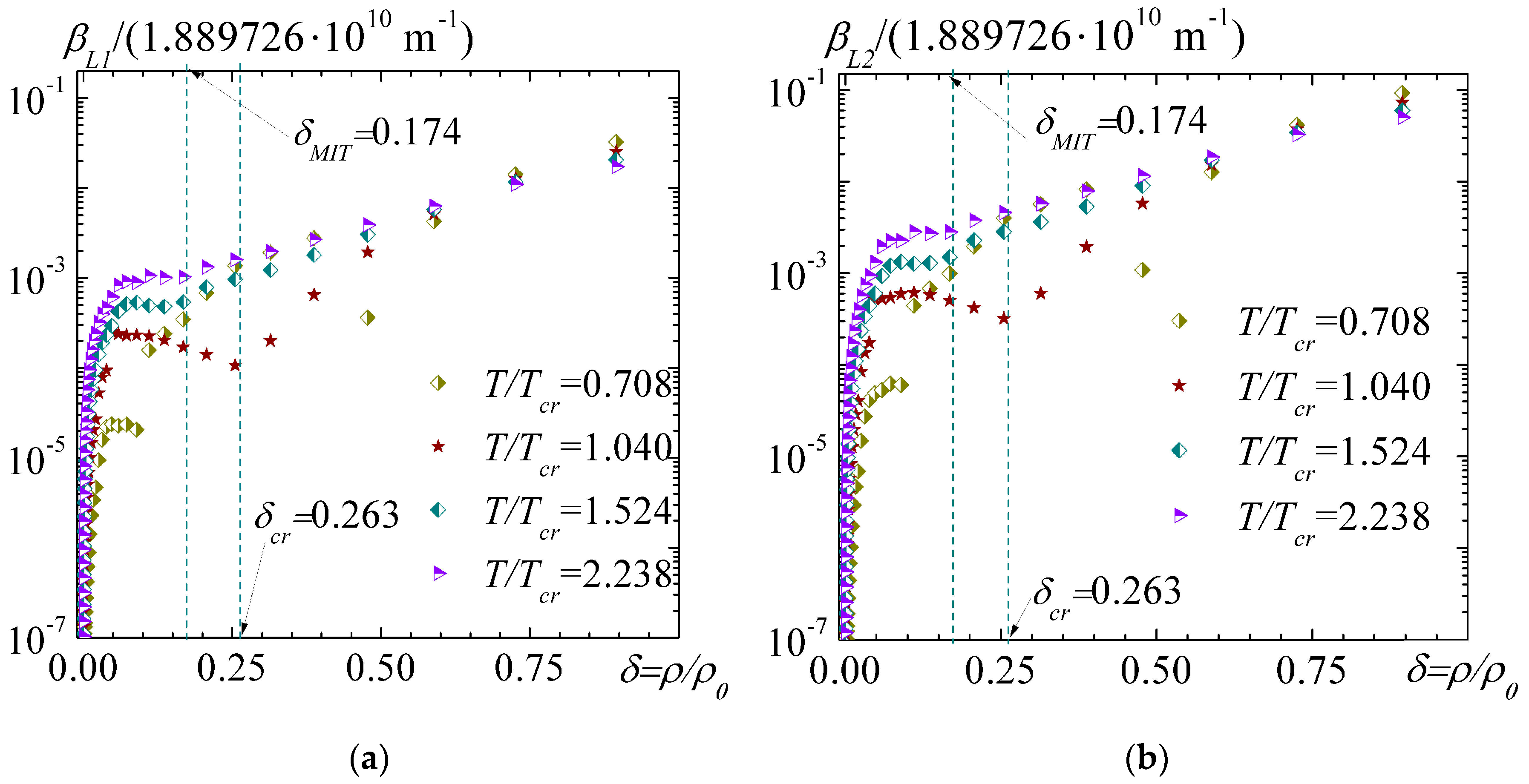
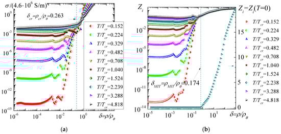
2.1. Transport Properties of Metal in a Quasi-Stationary Electromagnetic Field
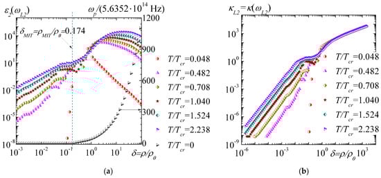
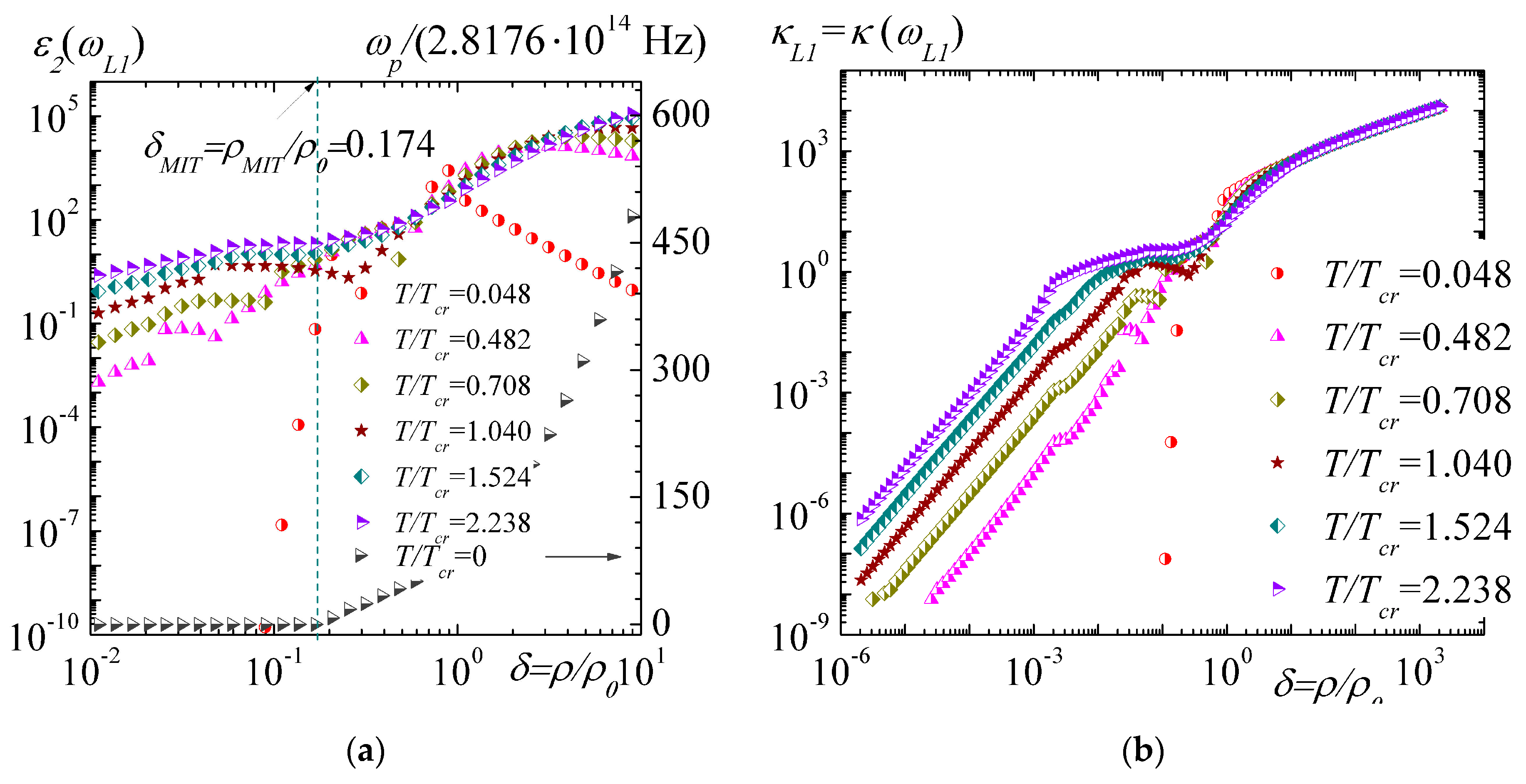
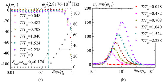
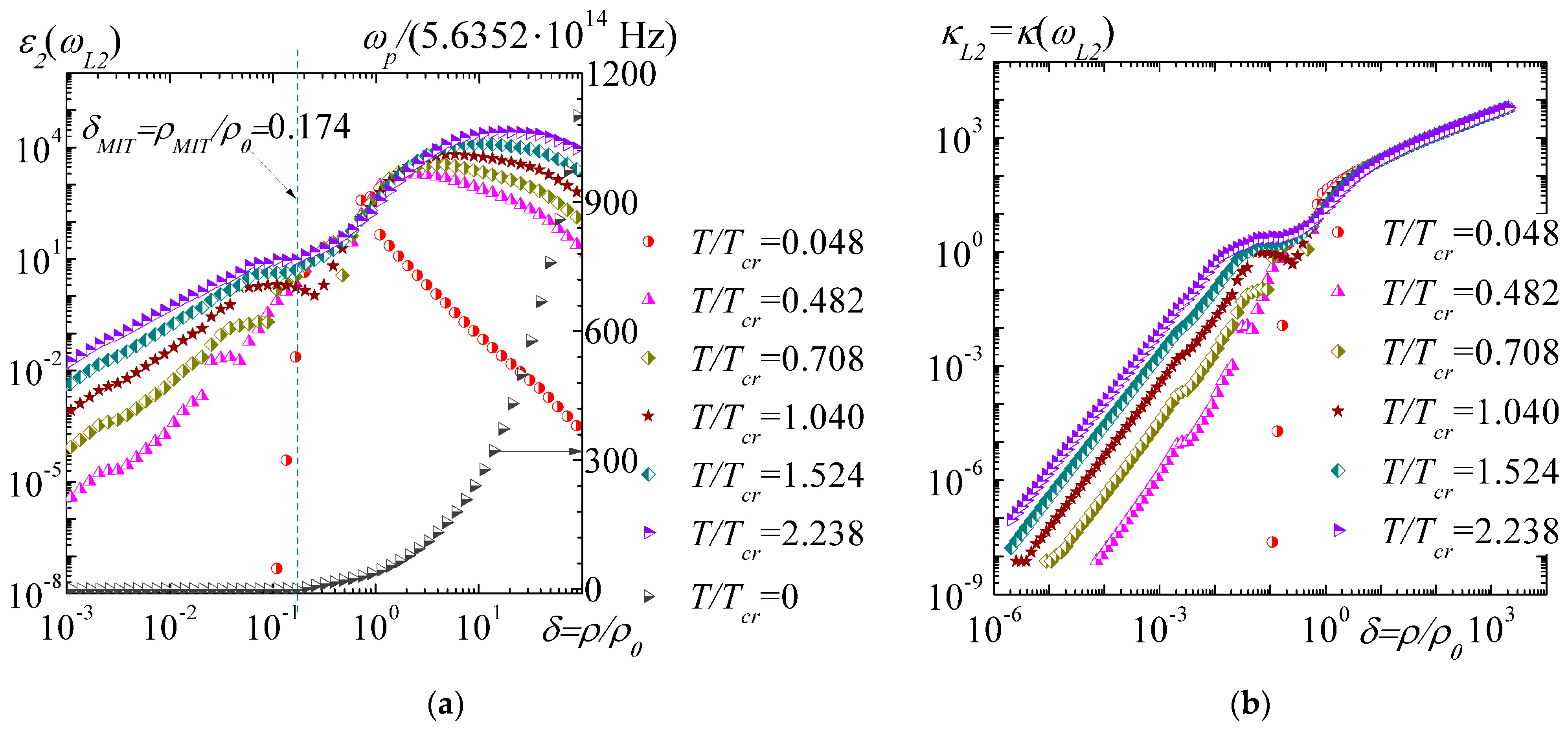
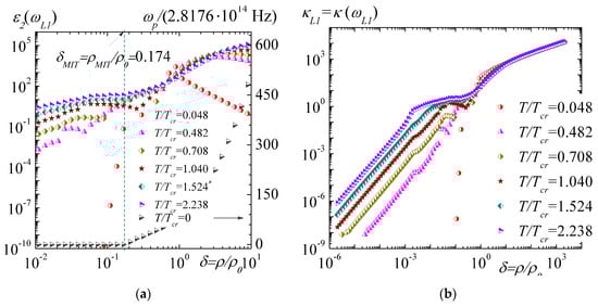
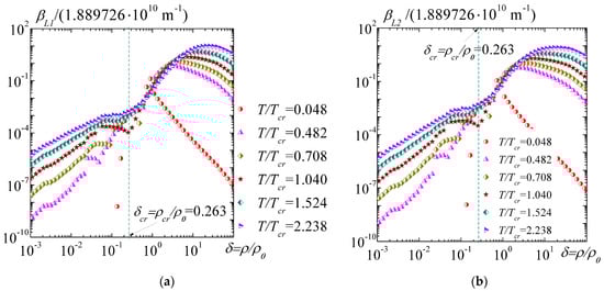
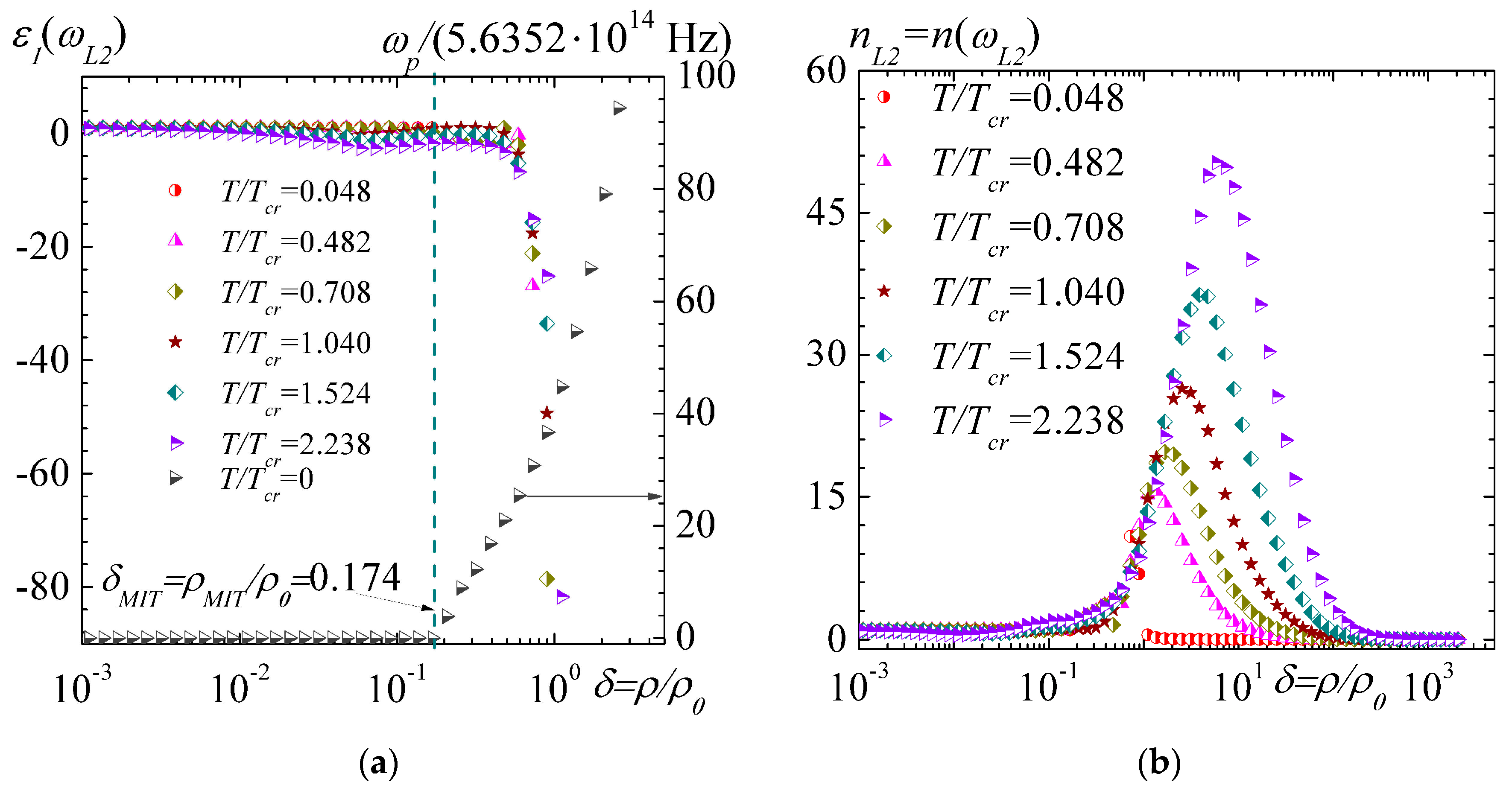
2.2. Optical Properties of Metal Irradiated by Pulsed Radiation from a Solid-State Laser
3. Discussion
4. Conclusions
Author Contributions
Funding
Data Availability Statement
Acknowledgments
Conflicts of Interest
Appendix A
| Unit Symbol and Definition | SGS | SI |
|---|---|---|
| Light velocity: c | 2.99792458 × 1010 cm/s | 2.99792458 × 108 m/s |
| Boltzmann constant: kB | 1.3806505 × 10−16 erg/K | 1.3806505 × 10−23 J/K |
| Reduced Planck constant: | 1.05457168 × 10−27 ergs | 1.05457168 × 10−27 Js |
| Electron mass: m | 9.1093826 × 10−28 g | 9.1093826 × 10−31 kg |
| Electron rest energy: E0 = mc2 | 8.187104787 × 10−7 erg | 8.187104787 × 10−14 J |
| Fine structure constant: αFSC | 7.297352568 × 10−3 | 7.297352568 × 10−3 |
| Elementary charge: e | 4.80332044 × 10−10 GSG | 1.60217653 × 10−19 C |
| Basic energy: EH = αFSC2E0 | 4.3597442 × 10−11 erg | 4.3597442 × 10−18 J |
| Bohr radius: aB | 5.2917721 × 10−11 cm | 5.2917721 × 10−9 m |
| Wavenumber: qB = aB−1 | 1.889726142 × 108 cm−1 | 1.889726142 × 1010 m−1 |
| Basic square: Sau = aB2 | 2.8 × 10−17 cm2 | 2.8 × 10−21 m2 |
| Basic volume: Vau = aB3 | 1.481847 × 10−25 cm3 | 1.481847 × 10−31 m3 |
| Particle concentration: N = 1/Vau | 6.748334685 × 1024 cm−3 | 6.748334685 × 1030 m−3 |
| Basic time: tau = /EH | 2.4188843 × 10−17 s | 2.4188843 × 10−17 s |
| Basic frequency: ωau = tau−1 | 4.134137372 × 1016 s−1 | 4.134137372 × 1016 s−1 |
| Basic velocity: vau = αFSCc | 2.187691263 × 108 cm/s | 2.187691263 × 106 m/s |
| Basic force: Fau = EH/aB | 8.238722577 × 10−3 dyn | 8.238722577 × 10−8 N |
| Basic pressure: Pau = EH/Vau | 294.2101296 Mbar | 29.42101296 TPa |
| Basic current: Iau = evau/aB | 1.985710681 × 107 SGS | 6.6236178688 × 10−3 A |
| Basic voltage: Uau = EH/e | 0.09076741 SGS | 27.211384712 V |
| Electric strength: Eau = EH/eaB | 1.715255461 × 107 SGS | 5.142206506 × 1011 V/m |
| Current density: Jau = Iau/Sau | 7.091101703 × 1023 SGS/cm2 | 2.365336324 × 1018 A/m2 |
| Electric conductivity: | ||
| σau = Jau/Eau | 4.134137372 × 1016 s−1 | 4.5998482 × 106 S/m |
| Thermal conductivity: | ||
| κen = 1/(aBtau) | 7.812387468 × 1024 (cms)−1 | 7.812387468 × 1026 (ms)−1 |
| κau = κenkB | 1.07861767 × 109 erg/(scmK) | 1.07861767 × 104 W/(mK) |
| Thermal power: αau = kB/e | 2.87443628 × 10−7 erg/(KSGS) | 8.61734318 × 10−5 J/(CK) |
References
- Volkov, N.B.; Lipchak, A.I. Thermodynamic functions of a metal exposed to high energy densities in composed and expanded states. Condens. Matter 2022, 7, 61. [Google Scholar] [CrossRef]
- Maxwell, J.C. On the Dynamical Theory of Gases. In Scientific Papers of James Clark Maxwell, 2nd ed.; Two Volumes Bound As One; Niven, W.D., Ed.; Dover Publications, Inc.: Mineola, NY, USA, 1965; Volume 2, pp. 26–78. [Google Scholar]
- Boltzmann, L. Lectures on Gas Theory; Stephen, G. Brush, S.G., Translator; Dover Publications, Inc.: Mineola, NY, USA, 1995. [Google Scholar]
- Lorentz, H.A. The Theory of Electrons: Its Applications to the Phenomena of Light and Radiant Heat (Dover Books on Physics), 2nd ed.; Dover Publications, Inc.: Mineola, NY, USA, 2011. [Google Scholar]
- Abrikosov, A.A.; Gorkov, L.P.; Dzyaloshinskii, I.E. Methods of Quantum Field Theory in Statistical Physics; Pergamon Press Ltd.: Oxford, UK, 1963. [Google Scholar]
- Mahan, G.D. Many-Particle Physics, 3rd ed.; Kluwer Academic/Plenum Publishers: New York, NY, USA, 2000. [Google Scholar]
- Sadovskii, M.V. Diagrammatics: Lectures on Selected Problems in Condensed Matter Theory; World Scientific Publishing Co. Pte. LTD: Singapore, 2006. [Google Scholar]
- Mahan, G.D. Quantum transport equation for electric and magnetic fields. Phys. Rep. 1987, 145, 251–318. [Google Scholar] [CrossRef]
- Savrasov, S.Y. Linear-response theory and lattice dynamics: A muffin-orbital approach. Phys. Rev. B 1996, 54, 16470–16486. [Google Scholar] [CrossRef] [PubMed]
- Savrasov, S.Y.; Savrasov, D.Y. Electron-phonon interactions and related physical properties of metals from linear-response theory. Phys. Rev. B 1996, 54, 16487–16501. [Google Scholar] [CrossRef] [PubMed]
- Maksimov, E.G.; Savrasov, D.Y.; Savrasov, S.Y. The electron–phonon interaction and the physical properties of metals. Physics-Uspekhi 1997, 40, 337–358. [Google Scholar] [CrossRef]
- Giustino, F. Electron–phonon interactions from first principles. Rev. Mod. Phys. 2017, 89, 015003. [Google Scholar] [CrossRef]
- Ichimaru, S. Strongly coupled plasmas: High-density classical plasmas and degenerate electron liquids. Rev. Mod. Phys. 1982, 54, 1017–1059. [Google Scholar] [CrossRef]
- Kraeft, W.-D.; Kremp, D.; Ebeling, W.; Roepke, G. Quantum Statistics of Charged Particle Systems; Akademy-Verlag: Berlin, Germany, 1986. [Google Scholar]
- Ebeling, W.; Foerster, A.; Fortov, V.E.; Gryaznov, V.K.; Polishchuk, A.Y. Thermophysical Properties of Hot Dense Plasmas; B.G. Teubner Verlagsgeselschaft: Stuttgart, Germany, 1991. [Google Scholar]
- Ebeling, W.; Fortov, V.E.; Filinov, V.S. Quantum Statistics of Dense Gases and Nonideal Plasmas; Springer Int. Publishing AG: Berlin/Heidelberg, Germany, 2017. [Google Scholar]
- Fortov, V.E.; Filinov, V.S.; Larkin, A.S.; Ebeling, W. Statistical Physics of Dense Gases and Nonideal Plasmas; Fizmatlit: Moscow, Russia, 2020. [Google Scholar]
- Povarnitsyn, M.E.; Knyazev, D.V.; Levashov, P.R. Ab initio simulation of complex dielectric function for dense aluminum plasma. Contrib. Plasma Phys. 2012, 52, 145–148. [Google Scholar] [CrossRef][Green Version]
- Knyazev, D.V.; Levashov, P.R. Ab initio calculation of transport and optical properties of aluminum: Influence of simulation parameters. Comput. Mater. Sci. 2013, 79, 817–829. [Google Scholar] [CrossRef]
- Knyazev, D.V.; Levashov, P.R. Transport and optical properties of warm dense aluminum in two-temperature regime: Ab initio calculation and semi-empirical approximation. Phys. Plasmas 2014, 21, 073302. [Google Scholar] [CrossRef]
- Volkov, N.B.; Chingina, E.A.; Yalovets, A.P. Dynamical equations and transport coefficients for the metals at high pulse electromagnetic fields. J. Phys. Conf. Ser. 2016, 774, 012147. [Google Scholar] [CrossRef]
- Volkov, N.B.; Nemirovsky, A.Z. The ionic composition of the non-ideal plasma produced by a metallic sphere isothermally expanding into vacuum. J. Phys. D Appl. Phys. 1991, 24, 693–701. [Google Scholar] [CrossRef]
- Shabanskii, V.P. Transfer processes in conductors with regard to nonlinear effects. Sov. Phys. JETP 1957, 4, 497–508. [Google Scholar]
- Volkov, N.B. Nonlinear Dynamics of Current-Carrying Plasma-Like Media. Habilitation Thesis, Institute of Electrophysics UB RAS, Ekaterinburg, Russia, 1999. [Google Scholar]
- Ginzburg, V.L. The Propagation of Electromagnetic Waves in Plasmas, 2nd ed.; Pergamon Press LTD: Oxford, UK, 1970. [Google Scholar]
- Volkov, N.B. A plasma model of the conductivity of metals. Zhurnal Tekhnicheskoj Fiz. 1979, 49, 2000–2002. [Google Scholar]
- Landau, L.D.; Lifshitz, E.M. Statistical Physics, Part 1. In Course of Theoretical Physics, 3rd ed.; Pergamon Press LTD: Oxford, UK, 1980; Volume 5. [Google Scholar]
- Lifshitz, E.M.; Pitaevskii, L.P. Physical Kinetics. In Landau and Lifshitz: Course of Theoretical Physics; Pergamon Press LTD.: Oxford, UK, 1981; Volume 10. [Google Scholar]
- Martienssen, W.; Warlimont, H. (Eds.) Springer Handbook of Condensed Matter and Materials Data; Springer: Berlin/ Heidelberg, Germany, 2005. [Google Scholar]
- Ziman, J.M. Principles of the Theory of Solids, 2nd ed.; Cambridge University Press: London, UK, 1972. [Google Scholar]
- Berman, R. Thermal Conduction in Solids, 2nd ed.; Oxford University Press: Oxford, UK, 1980. [Google Scholar]
- Harrison, W.A. Pseudopotentials in the Theory of Metals; W. A. Benjamin, INC: New York, NY, USA, 1966. [Google Scholar]
- Frenkel, J.I. Wave Mechanics: Elementary Theory, 2nd ed.; Dover Publications, INC: Mineola, NY, USA, 1950; Chapter 6. [Google Scholar]
- Radtsig, A.A.; Smirnov, B.M. Reference Book on Atomic and Molecular Physics; Atomizdat: Moscow, Russia, 1980. [Google Scholar]
- Kittel, C. Introduction to Solid State Physics, 8th ed.; John Wiley and Sons, Inc.: New York, NY, USA, 2005. [Google Scholar]
- Chapman, S.; Cowling, T.G. The Mathematical Theory of Non-Uniform Gases, 3rd ed.; Cambridge University Press: Cambridge, UK, 1991. [Google Scholar]
- Landau, L.D.; Lifshitz, E.M. Electrodynamics of Continuous Media. In Course of Theoretical Physics, 2nd ed.; Pergamon Press LTD: Oxford, UK, 1984; Volume 8. [Google Scholar]
- Afanasiev, Y.V.; Krokhin, O.N. High-temperature and plasma phenomena arising from the interaction of high-power laser radiation with matter. In Physics of High Energy Densities; International School of Physics “Enrico Fermi” Course, 48; Caldirola, P., Knoepfel, H., Eds.; Academic Press: New York, NY, USA, 1971; Chapter 10. [Google Scholar]
- Hora, H. Physics of Laser Driven Plasma; John Wiley and Sons, Inc.: New York, NY, USA, 1981. [Google Scholar]
- Korobenko, V.N.; Rakhel, A.D. Transition of expanded liquid iron to the nonmetallic state under supercritical pressure. J. Exp. Theor. Phys. 2011, 112, 649–655. [Google Scholar] [CrossRef]
- Korobenko, V.N.; Rakhel, A.D. Observation of a first-order metal-to-nonmetal phase transition in fluid iron. Phys. Rev. B 2012, 85, 014208. [Google Scholar] [CrossRef]
- Lipchak, A.I.; Barakhvostov, S.V. An investigation of the stability of turning a high-current pulse accelerator on with an optical control. Instrum. Exp. Tech. 2021, 64, 376–380. [Google Scholar] [CrossRef]
- Lipchak, A.I.; Barakhvostov, S.V.; Volkov, N.B.; Chingina, E.A.; Turmyshev, I.S. The study of instabilities role of plasma in the high-voltage discharge formation initiated by optical radiation at high pressures in high-voltage optical triggered switches. J. Phys. Conf. Series 2021, 2064, 012098. [Google Scholar] [CrossRef]
- Zeldovich, Y.B.; Landau, L.D. On the relationship between the liquid and gaseous states of metals. Zh. Exp. Teor. Fiz. 1944, 14, 32. [Google Scholar]
- Fortov, V.E.; Iakubov, I.T. Non-Ideal Plasma; Pergamon Press LTD: New York, NY, USA, 2000. [Google Scholar]
- Brazhkin, V.V. Phase transformations in liquids and the liquid-gas transition in fluids at supercritical pressures. Phys.-Uspekhi 2017, 60, 954–957. [Google Scholar] [CrossRef]
- Mott, N.V. Metal-Insulator Transitions; Taylor and Fransis Ltd.: London, UK, 1974. [Google Scholar]
- Ziman, J.M. Models of Disorder; Cambridge University Press: Cambridge, UK, 1979. [Google Scholar]
- Lifshits, I.M.; Gredeskul, S.A.; Pastur, L.A. Introduction to the Theory of Disorder Systems; John Wiley and Sons, Inc.: New York, NY, USA, 1988. [Google Scholar]
- Gantmakher, V.F. Electrons and Disorder in Solids. In International Series of Monographs on Physics; Oxford University Press: Oxford, UK, 2005; Volume 130. [Google Scholar]













Disclaimer/Publisher’s Note: The statements, opinions and data contained in all publications are solely those of the individual author(s) and contributor(s) and not of MDPI and/or the editor(s). MDPI and/or the editor(s) disclaim responsibility for any injury to people or property resulting from any ideas, methods, instructions or products referred to in the content. |
© 2023 by the authors. Licensee MDPI, Basel, Switzerland. This article is an open access article distributed under the terms and conditions of the Creative Commons Attribution (CC BY) license (https://creativecommons.org/licenses/by/4.0/).
Share and Cite
Volkov, N.B.; Lipchak, A.I. The Transport and Optical Characteristics of a Metal Exposed to High-Density Energy Fluxes in Compressed and Expanded States of Matter. Condens. Matter 2023, 8, 70. https://doi.org/10.3390/condmat8030070
Volkov NB, Lipchak AI. The Transport and Optical Characteristics of a Metal Exposed to High-Density Energy Fluxes in Compressed and Expanded States of Matter. Condensed Matter. 2023; 8(3):70. https://doi.org/10.3390/condmat8030070
Chicago/Turabian StyleVolkov, Nikolay B., and Alexander I. Lipchak. 2023. "The Transport and Optical Characteristics of a Metal Exposed to High-Density Energy Fluxes in Compressed and Expanded States of Matter" Condensed Matter 8, no. 3: 70. https://doi.org/10.3390/condmat8030070
APA StyleVolkov, N. B., & Lipchak, A. I. (2023). The Transport and Optical Characteristics of a Metal Exposed to High-Density Energy Fluxes in Compressed and Expanded States of Matter. Condensed Matter, 8(3), 70. https://doi.org/10.3390/condmat8030070

