Tc Saturation and Possible Electronic Phase Separation in Strongly Overdoped Cuprates
Abstract
1. The Unexpected Finding of High- Superconductivity in Strongly Overdoped Cuprates


2. Open Questions about the Strongly Overdoped Region of Cuprates
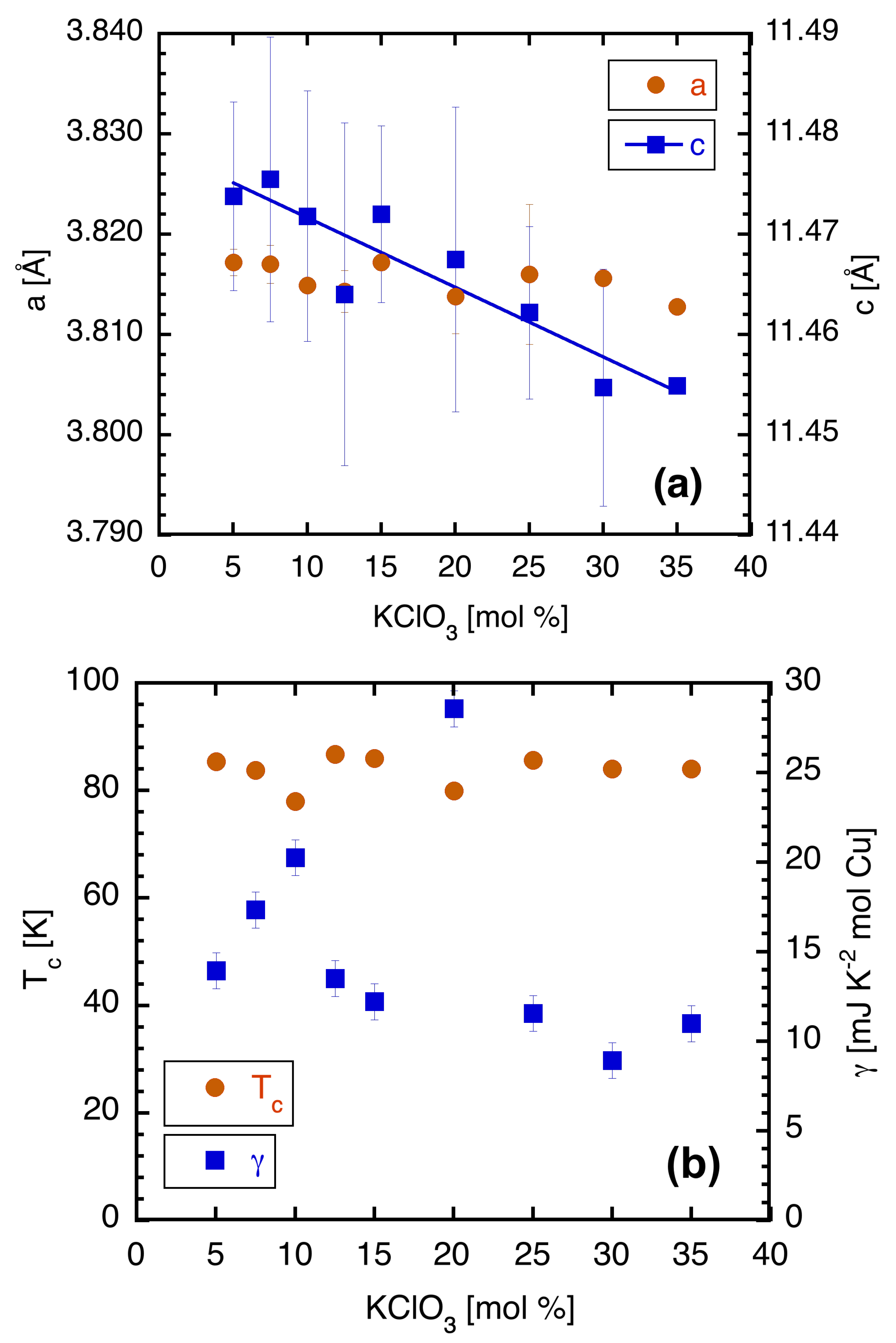
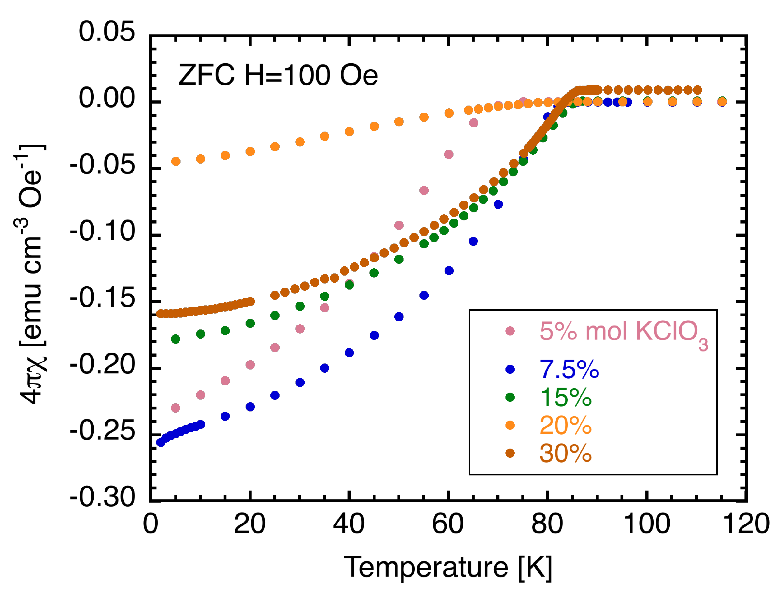
3. Results



4. Discussion
5. Materials and Methods
Author Contributions
Funding
Data Availability Statement
Acknowledgments
Conflicts of Interest
References
- Bednorz, G.; Müller, K.-A. Possible high Tc superconductivity in the Ba–La–Cu–O system. Z. Physik B—Condensed Matter 1986, 64, 189–193. [Google Scholar] [CrossRef]
- Zhang, H.; Sato, H. Universal relationship between Tc and the hole content in p-type cuprate superconductors. Phys. Rev. Lett. 1993, 70, 1697–1699. [Google Scholar] [CrossRef] [PubMed]
- Tallon, J.L.; Bernhard, C.; Shaked, H.; Hitterman, R.L.; Jorgensen, J.D. Generic superconducting phase behavior in high-Tc cuprates: Tc variation with hole concentration in YBa2Cu3O7−δ. Phys. Rev. B 1995, 51, 12911–12914. [Google Scholar] [CrossRef]
- Kim, G.; Rabinovich, K.S.; Boris, A.V.; Yaresko, A.N.; Suyolcu, Y.E.; Wu, Y.M.; van Aken, P.A.; Christiani, G.; Logvenov, G.; Keimer, B. Optical conductivity and superconductivity in highly overdoped La2−xCaxCuO4 thin films. Proc. Natl. Acad. Sci. USA 2021, 118, e2106170118. [Google Scholar] [CrossRef]
- Sederholm, L.; Conradson, S.D.; Geballe, T.H.; Jin, C.Q.; Gauzzi, A.; Gilioli, E.; Karppinen, M.; Baldinozzi, G. Extremely Overdoped Superconducting Cuprates via High Pressure Oxygenation Methods. Condens. Matter 2021, 6, 50. [Google Scholar] [CrossRef]
- Grigoraviciute, I.; Arai, M.; Yamauchi, H.; Karppinen, M. Superconductivity in the ‘triple-fluorite-layer’ copper oxides (Cu,M)-1232 (M = Mo, W, Re, Pb). Solid State Commun. 2006, 137, 601–605. [Google Scholar] [CrossRef]
- Chmaissem, O.; Grigoraviciute, I.; Yamauchi, H.; Karppinen, M.; Marezio, M. Superconductivity and oxygen ordering correlations in the homologous series of (Cu, Mo)Sr2(Ce, Y)sCu2O5+2s+δ. Phys. Rev. B 2010, 82, 104507. [Google Scholar] [CrossRef]
- Grigoraviciute, I.; Karppinen, M.; Chan, T.S.; Liu, R.S.; Chen, J.M.; Chmaissem, O.; Yamauchi, H. Electronic Structures, Hole-Doping, and Superconductivity of the s = 1, 2, 3, and 4 Members of the (Cu,Mo)-12s2 Homologous Series of Superconductive Copper Oxides. J. Am. Chem. Soc. 2010, 132, 838–841. [Google Scholar] [CrossRef]
- Marezio, M.; Chmaissem, O.; Bougerol, C.; Karppinen, M.; Yamauchi, H.; Geballe, T.H. Overdoped cuprates with high-temperature superconducting transitions. Appl. Phy. Lett. Mater. 2013, 1, 021103. [Google Scholar] [CrossRef]
- Marik, S.; Morán, E.; Labrugère, C.; Toulemonde, O.; Alario-Franco, M.A. MoxCu1−xSr2YCu2Oy (0.3 ≤ x ≤ 1) revisited: Superconductivity, magnetism and the molybdenum oxidation state. J. Solid State Chem. 2012, 191, 40–45. [Google Scholar] [CrossRef]
- Marezio, M.; Chmaissem, O.; Bougerol, C.; Karppinen, M.; Yamauchi, H.; Geballe, T.H. High-Tc Superconducting Cuprates, (Ce,Y)sO2s-2Sr2 (Cu2.75 Mo0.25)O6+δ: Tc increase with apical Cu-O decrease at constant Cu-O planar distance. J. Phys. Conf. Ser. 2014, 507, 012031. [Google Scholar] [CrossRef]
- Marik, S.; Santos-Garcia, A.J.D.; Labrugere, C.; Morán, E.; Toulemonde, O.; Alario-Franco, M.A. Oxidation induced superconductivity and Mo/Cu charge equilibrium in Mo0.3Cu0.7Sr2ErCu2Oy. Supercond. Sci. Technol. 2015, 28, 045007. [Google Scholar] [CrossRef]
- Gauzzi, A.; Klein, Y.; Nisula, M.; Karppinen, M.; Biswas, P.K.; Saadaoui, H.; Morenzoni, E.; Manuel, P.; Khalyavin, D.; Marezio, M.; et al. Bulk superconductivity at 84 K in the strongly overdoped regime of cuprates. Phys. Rev. B 2016, 94, 180509. [Google Scholar] [CrossRef]
- Li, W.M.; Zhao, J.F.; Cao, L.P.; Hu, Z.; Huang, Q.Z.; Wang, X.C.; Liu, Y.; Zhao, G.Q.; Zhang, J.; Liu, Q.Q.; et al. Superconductivity in a unique type of copper oxide. Proc. Natl. Acad. Sci. USA 2019, 116, 12156–12160. [Google Scholar] [CrossRef] [PubMed]
- Gilioli, E.; Radaelli, P.; Gauzzi, A.; Licci, F.; Marezio, M. Structure and superconductivity of YSr2Cu3O7−d. Phys. C Supercond. 2000, 341–348, 605–606. [Google Scholar] [CrossRef]
- Scalapino, D.J. A different branch of the high Tc family? Proc. Natl. Acad. Sci. USA 2019, 116, 12129–12130. [Google Scholar] [CrossRef]
- Maier, T.; Berlijn, T.; Scalapino, D.J. Two pairing domes as Cu2+ varies to Cu3+. Phys. Rev. B 2019, 99, 224515. [Google Scholar] [CrossRef]
- Wang, Y.; Yan, J.; Shan, L.; Wen, H.H.; Tanabe, Y.; Adachi, T.; Koike, Y. Weak-coupling d-wave BCS superconductivity and unpaired electrons in overdoped La2−xSrxCuO4 single crystals. Phys. Rev. B 2007, 76, 064512. [Google Scholar] [CrossRef]
- Moler, K.A.; Sisson, D.L.; Urbach, J.S.; Beasley, M.R.; Kapitulnik, A.; Baar, D.J.; Liang, R.; Hardy, W.N. Specific heat of YBa2Cu3O7−δ. Phys. Rev. B 1997, 55, 3954–3965. [Google Scholar] [CrossRef]
- Emery, V.J.; Kivelson, S.A.; Lin, H.Q. Phase separation in the t-J model. Phys. Rev. Lett. 1990, 64, 475–478. [Google Scholar] [CrossRef]
- Di Castro, C.; Feiner, L.F.; Grilli, M. Symmetry of Hole States in Superconducting Oxides: Correlation with Tc. Phys. Rev. Lett. 1991, 66, 3209–3212. [Google Scholar] [CrossRef]
- Müller, K.A.; Benedek, G. Phase Separation in Cuprate Superconductors; World Scientific: Singapore, 1993; pp. 1–394. [Google Scholar] [CrossRef]
- Bianconi, A.; Saini, N.L.; Lanzara, A.; Missori, M.; Rossetti, T.; Oyanagi, H.; Yamaguchi, H.; Oka, K.; Ito, T. Determination of the Local Lattice Distortions in the CuO2 Plane of La1.85Sr0.15CuO4. Phys. Rev. Lett. 1996, 76, 3412–3415. [Google Scholar] [CrossRef] [PubMed]
- Howald, C.; Fournier, P.; Kapitulnik, A. Inherent inhomogeneities in tunneling spectra of Bi2Sr2CaCu2O8−x crystals in the superconducting state. Phys. Rev. B 2001, 64, 100504. [Google Scholar] [CrossRef]
- Pan, S.H.; O’Neal, J.P.; Badzey, R.L.; Chamon, C.; Ding, H.; Engelbrecht, J.R.; Wang, Z.; Eisaki, H.; Uchida, S.; Gupta, A.K.; et al. Microscopic electronic inhomogeneity in the high-Tc superconductor Bi2Sr2CaCu2O8+x. Nature 2001, 413, 282–285. [Google Scholar] [CrossRef]
- Uehara, M.; Mori, S.; Chen, C.H.; Cheong, S.W. Percolative phase separation underlies colossal magnetoresistance in mixed-valent manganites. Nature 1999, 399, 560–563. [Google Scholar] [CrossRef]
- Kagan, M.Y.; Kugel, K.I.; Khomskii, D.I. Phase separation in systems with charge ordering. J. Exp. Theor. Phys. 2001, 93, 415–423. [Google Scholar] [CrossRef]
- Kagan, M.; Kugel, K.; Rakhmanov, A. Electronic phase separation: Recent progress in the old problem. Phys. Rep. 2021, 916, 1–105. [Google Scholar] [CrossRef]
- Campi, G.; Bianconi, A. Evolution of Complexity in Out-of-Equilibrium Systems by Time-Resolved or Space-Resolved Synchrotron Radiation Techniques. Condens. Matter 2019, 4, 32. [Google Scholar] [CrossRef]
- Conradson, S.D.; Geballe, T.H.; Gauzzi, A.; Karppinen, M.; Jin, C.; Baldinozzi, G.; Li, W.; Cao, L.; Gilioli, E.; Jiang, J.M.; et al. Local lattice distortions and dynamics in extremely overdoped superconducting YSr2Cu2.75Mo0.25O7.54. Proc. Natl. Acad. Sci. USA 2020, 117, 4559–4564. [Google Scholar] [CrossRef]
- Conradson, S.D.; Geballe, T.H.; Jin, C.Q.; Cao, L.P.; Gauzzi, A.; Karppinen, M.; Baldinozzi, G.; Li, W.M.; Gilioli, E.; Jiang, J.M.; et al. Nonadiabatic coupling of the dynamical structure to the superconductivity in YSr2Cu2.75Mo0.25O7.54 and Sr2CuO3.3. Proc. Natl. Acad. Sci. USA 2020, 117, 33099–33106. [Google Scholar] [CrossRef]
- Cava, R.; Hewat, A.; Hewat, E.; Batlogg, B.; Marezio, M.; Rabe, K.; Krajewski, J.; Peck, W.; Rupp, L. Structural anomalies, oxygen ordering and superconductivity in oxygen deficient Ba2YCu3Ox. Phys. C Supercond. 1990, 165, 419–433. [Google Scholar] [CrossRef]
- Junod, A.; Wang, K.Q.; Tsukamoto, T.; Triscone, G.; Revaz, B.; Walker, E.; Muller, J. Specific heat up to 14 tesla and magnetization of a Bi2Sr2CaCu2O8 single crystal thermodynamics of a 2D superconductor. Phys. C Supercond. 1994, 229, 209–230. [Google Scholar] [CrossRef]
- Loram, J.; Mirza, K.; Wade, J.; Cooper, J.; Liang, W. The electronic specific heat of cuprate superconductors. Phys. C Supercond. 1994, 235–240 Pt 1, 134–137. [Google Scholar] [CrossRef]
- Mahmood, F.; He, X.; Božović, I.; Armitage, N.P. Locating the Missing Superconducting Electrons in the Overdoped Cuprates La2−xSrxCuO4. Phys. Rev. Lett. 2019, 122, 027003. [Google Scholar] [CrossRef] [PubMed]

Disclaimer/Publisher’s Note: The statements, opinions and data contained in all publications are solely those of the individual author(s) and contributor(s) and not of MDPI and/or the editor(s). MDPI and/or the editor(s) disclaim responsibility for any injury to people or property resulting from any ideas, methods, instructions or products referred to in the content. |
© 2023 by the authors. Licensee MDPI, Basel, Switzerland. This article is an open access article distributed under the terms and conditions of the Creative Commons Attribution (CC BY) license (https://creativecommons.org/licenses/by/4.0/).
Share and Cite
Hemmatzade, A.; Medina, E.; Delbes, L.; Baptiste, B.; Hrabovsky, D.; Klein, Y.; Conradson, S.D.; Karppinen, M.; Gauzzi, A. Tc Saturation and Possible Electronic Phase Separation in Strongly Overdoped Cuprates. Condens. Matter 2023, 8, 56. https://doi.org/10.3390/condmat8030056
Hemmatzade A, Medina E, Delbes L, Baptiste B, Hrabovsky D, Klein Y, Conradson SD, Karppinen M, Gauzzi A. Tc Saturation and Possible Electronic Phase Separation in Strongly Overdoped Cuprates. Condensed Matter. 2023; 8(3):56. https://doi.org/10.3390/condmat8030056
Chicago/Turabian StyleHemmatzade, Amirreza, Elena Medina, Ludovic Delbes, Benoît Baptiste, David Hrabovsky, Yannick Klein, Steven D. Conradson, Maarit Karppinen, and Andrea Gauzzi. 2023. "Tc Saturation and Possible Electronic Phase Separation in Strongly Overdoped Cuprates" Condensed Matter 8, no. 3: 56. https://doi.org/10.3390/condmat8030056
APA StyleHemmatzade, A., Medina, E., Delbes, L., Baptiste, B., Hrabovsky, D., Klein, Y., Conradson, S. D., Karppinen, M., & Gauzzi, A. (2023). Tc Saturation and Possible Electronic Phase Separation in Strongly Overdoped Cuprates. Condensed Matter, 8(3), 56. https://doi.org/10.3390/condmat8030056

