Spin Transport in Magnetically Ordered Systems: Ferromagnets, Antiferromagnets and Frustrated Systems
Abstract
1. Introduction
2. Model and Method
2.1. Model
2.2. Simulation Method
- (i)
- We take a conduction spin and calculate its actual energy using the different interactions mentioned above.
- (ii)
- We make a trial move for the electron in a random direction between 0 and a, where a is the lattice constant. If the move takes the itinerant electron outside the sample, then we put it inside on the other sample end by virtue of the periodic boundary condition.
- (iii)
- We then calculate the new energy . If , then the trial position is accepted. Otherwise, it is accepted with the probability .
- (iv)
- We take another conduction electron and repeat the three steps above. We continue with other electrons until all electrons are considered: this accomplishes one MC step/spin. A large number of MC steps/spins are necessary to arrive at a steady current state. We next average physical quantities of interest at the temperature T under consideration.
- (v)
- We take another T and repeat the above four steps. We should cover the temperature region of interest.
3. Review
3.1. Spin Resistivity in Ferromagnets and Antiferromagnets
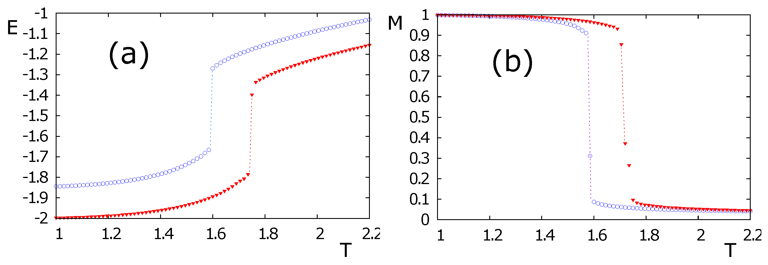
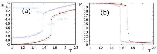
3.2. Frustrated Model on a Simple Cubic Lattice
- A.
- For :
- B.
- For :
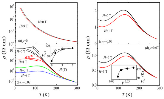
3.3. The Case of MnTe
4. Phase Transition and Spin Resistivity in the Ising HCP Lattice
4.1. Hamiltonian and Ground State
4.2. Phase Transition in the Case of Ising Spins on the HCP Lattice
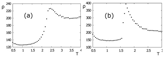
4.3. Spin Resistivity in the HCP Lattice with Ising Spins
- (i)
- At very low temperatures, the resistivity increases with decreasing temperature. This behavior can be understood by the freezing of the itinerant spins due to low T: the energy of itinerant spins is low; they occupy the low-energy positions in the periodic lattice; it is difficult to move them out by the insufficient thermal energy. They are somewhat frozen in almost periodic positions; namely, a pseudo crystallization occurs. Note that the increase of resistivity with decreasing T at very low T has been observed in many experiments on various materials and is not limited to ferromagnets [3,5,7,40]. This increase of with decreasing T in the quantum case has been explained by J. Kondo using a third-order perturbation theory [58]: the scattering of s-electrons by d-electrons of localized magnetic impurities gives rise to a resistivity minimum at a finite T. We have also found here this minimum of at low T with the classical spin model. The similarity with the quantum Kondo effect can be explained by the fact that an excited localized lattice down-spin (in a very small number at low T) can be viewed as an impurity that captures nearby conduction up-spins.
- (ii)
- Outside this low-T region, when T increases, the thermal energy progressively unfreezes the itinerant spins. As a consequence, decreases and passes through a minimum (see discussion above). However, at higher T, the scattering with the lattice spins is stronger; increases up to the transition temperature.
- (iii)
- At the transition temperature, shows a peak. The physical mechanism leading to the peak can be explained: in a previous work [21], it was found from our simulations that the peak is due to scattering of the itinerant spins by antiparallel-spin clusters that are numerous in the transition region. When one gets close to the transition point, the number of clusters of down spins are the most numerous, giving rise to the peak in . Note that the “defects” clusters (i.e., clusters of antiparallel spins) have an energy barrier to resist the passage of itinerant spins. This is also the origin of the extremely long relaxation time in the critical region.
- (iv)
- Well above the transition temperature, in the paramagnetic phase, as temperature increases, clusters of down and up spins are increasingly broken into independent disordered spins, namely, spins with zero energy; itinerant spins move easily on their trajectory, decreasing with the increasing T.
5. Conclusions
Author Contributions
Funding
Data Availability Statement
Conflicts of Interest
References
- Xia, J.; Siemons, W.; Koster, G.; Beasley, M.R.; Kapitulnik, A. Critical thickness for itinerant ferromagnetism in ultrathin films of SrRuO3. Phys. Rev. B 2009, 79, R140407. [Google Scholar] [CrossRef]
- Lu, C.L.; Chen, X.; Dong, S.; Wang, K.F.; Cai, H.L.; Liu, J.-M.; Li, D.; Zhang, Z.D. Ru-doping-induced ferromagnetism in charge-ordered La0.4Ca0.6MnO3. Phys. Rev. B 2009, 79, 245105. [Google Scholar] [CrossRef]
- Du, J.; Li, D.; Li, Y.B.; Sun, N.K.; Li, J.; Zhang, Z.D. Abnormal magnetoresistance in epsilon—[Mn1-xFex]3.25Ge antiferromagnets. Phys. Rev. B 2007, 76, 094401. [Google Scholar] [CrossRef]
- Zhang, Y.Q.; Zhang, Z.D.; Aarts, J. Charge-order melting and magnetic phase separation in thin films of Pr0.7Ca0.3MnO3. Phys. Rev. B 2009, 79, 224422. [Google Scholar] [CrossRef]
- Wang, X.F.; Wu, T.; Wu, G.; Chen, H.; Xie, Y.L.; Ying, J.J.; Yan, Y.J.; Liu, R.H.; Chen, X.H. Anisotropy in the Electrical Resistivity and Susceptibility of Superconducting BaFe2As2 Single Crystals. Phys. Rev. Lett. 2009, 102, 117005. [Google Scholar] [CrossRef]
- McGuire, M.; Christianson, A.D.; Sefat, A.S.; Sales, B.C.; Lumsden, M.D.; Jin, R.; Payzant, E.A.; Mandrus, D.; Luan, Y.; Keppens, V.; et al. Phase transitions in LaFeAsO: Structural, magnetic, elastic, and transport properties, heat capacity and Mössbauer spectra. Phys. Rev. B 2008, 78, 094517. [Google Scholar] [CrossRef]
- Santos, T.S.; May, S.J.; Robertson, J.L.; Bhattacharya, A. Tuning between the metallic antiferromagnetic and ferromagnetic phases of La1-xSrxMnO3 near x = 0.5 by digital synthesis. Phys. Rev. B 2009, 80, 155114–155120. [Google Scholar] [CrossRef]
- Matsukura, F.; Ohno, H.; Shen, A.; Sugawara, Y. Transport properties and origin of ferromagnetism in (Ga,Mn)As. Phys. Rev. B 1998, 57, R2037. [Google Scholar] [CrossRef]
- Petrova, A.E.; Bauer, E.D.; Krasnorussky, V.; Stishov, S.M. Behavior of the electrical resistivity of MnSi at the ferromagnetic phase transition. Phys. Rev. B 2006, 74, 092401. [Google Scholar] [CrossRef]
- Schwerer, F.C.; Cuddy, L.J. Spin-Disorder Scattering in Iron- and Nickel-Base Alloys. Phys. Rev. B 1970, 2, 1575. [Google Scholar] [CrossRef]
- Kasuya, T. Electrical resistance of ferromagnetic metals. Prog. Theor. Phys. 1956, 16, 58. [Google Scholar] [CrossRef]
- de Gennes, P.-G.; Friedel, J. Anomalies de résistivité dans certains métaux magnétiques. J. Phys. Chem. Solids 1958, 4, 71. [Google Scholar] [CrossRef]
- Fisher, M.E.; Langer, J.S. Resistive Anomalies at Magnetic Critical Points. Phys. Rev. Lett. 1968, 20, 665. [Google Scholar] [CrossRef]
- Kataoka, M. Resistivity and magnetoresistance of ferromagnetic metals with localized spins. Phys. Rev. B 2001, 63, 134435. [Google Scholar] [CrossRef]
- Zarand, G.; Moca, C.P.; Janko, B. Scaling Theory of Magnetoresistance in Disordered Local Moment Ferromagnets. Phys. Rev. Lett. 2005, 94, 247202. [Google Scholar] [CrossRef]
- Baibich, M.N.; Broto, J.M.; Fert, A.; Nguyen Van Dau, F.; Petroff, F.; Etienne, P.; Creuzet, G.; Friederich, A.; Chazelas, J. Giant Magnetoresistance of (001)Fe/(001)Cr Magnetic Superlattices. Phys. Rev. Lett. 1988, 61, 2472–2475. [Google Scholar] [CrossRef]
- Fert, A. Nobel Lecture: Origin, development, and future of spintronics. Rev. Mod. Phys. 2008, 80, 1517–1530. [Google Scholar] [CrossRef]
- Binasch, G.; Grünberg, P.; Saurenbach, F.; Zinn, W. Enhanced magnetoresistance in layered magnetic structures with antiferromagnetic interlayer exchange. Phys. Rev. B 1989, 39, 4828. [Google Scholar] [CrossRef]
- Akabli, K.; Diep, H.T.; Reynal, S. Spin transport in magnetic multilayers. J. Phys. Condens. Matter 2007, 19, 356204. [Google Scholar] [CrossRef]
- Akabli, K.; Diep, H.T. Effects of ferromagnetic ordering and phase transition on the resistivity of spin current. J. Appl. Phys. 2008, 103, 07F307. [Google Scholar] [CrossRef]
- Akabli, K.; Diep, H.T. Temperature dependence of the spin resistivity in ferromagnetic thin films: Monte Carlo simulations. Phys. Rev. B 2008, 77, 165433. [Google Scholar] [CrossRef]
- Akabli, K.; Magnin, Y.; Oko, M.; Harada, I.; Diep, H.T. Theory and simulation of spin transport in antiferromagnetic semiconductors: Application to MnTe. Phys. Rev. B 2011, 84, 024428. [Google Scholar] [CrossRef]
- Magnin, Y.; Akabli, K.; Diep, H.T.; Harada, I. Monte Carlo study of the spin transport in magnetic materials. Comput. Mater. Sci. 2010, 49, S204–S209. [Google Scholar] [CrossRef]
- Magnin, Y.; Hoang, D.-T.; Diep, H.T. Spin Transport in Magnetically Ordered Systems: Effect of the Lattice Relaxation Time. Mod. Phys. Lett. B 2011, 25, 1029. [Google Scholar] [CrossRef]
- Magnin, Y.; Diep, H.T. Monte Carlo Study of Magnetic Resistivity in Semiconducting MnTe. Phys. Rev. B 2012, 85, 184413. [Google Scholar] [CrossRef]
- Magnin, Y.; Akabli, K.; Diep, H.T. Spin resistivity in frustrated antiferromagnets. Phys. Rev. B 2011, 83, 144406. [Google Scholar] [CrossRef]
- Hoang, D.-T.; Magnin, Y.; Diep, H.T. Spin Resistivity in the Frustrated J1-J2 Model. Mod. Phys. Lett. B 2011, 25, 937. [Google Scholar] [CrossRef]
- Diep, H.T. (Ed.) Frustrated Spin Systems, 3rd ed.; World Scientific: Singapore, 2020. [Google Scholar]
- Haas, C. Spin-Disorder Scattering and Magnetoresistance of Magnetic Semiconductors. Phys. Rev. 1968, 168, 531. [Google Scholar] [CrossRef]
- Hohenberg, P.C.; Halperin, B.I. Theory of dynamic critical phenomena. Rev. Mod. Phys. 1977, 49, 435. [Google Scholar] [CrossRef]
- Peczak, P.; Landau, D.P. Monte Carlo study of critical relaxation in the 3D Heisenberg model. J. Appl. Phys. 1990, 67, 5427. [Google Scholar] [CrossRef]
- Prudnikov, V.V.; Prudnikov, P.V.; Krinitsyn, A.S.; Vakilov, A.N.; Pospelov, E.A.; Rychkov, M.V. Short-time dynamics and critical behavior of the three-dimensional site-diluted Ising model. Phys. Rev. E 2010, 81, 011130. [Google Scholar] [CrossRef] [PubMed]
- Ngo, V.T.; Diep, H.T. Effects of frustrated surface in Heisenberg thin films. Phys. Rev. B 2007, 75, 035412. [Google Scholar] [CrossRef]
- Pinettes, C.; Diep, H.T. Phase transition and phase diagram of the J1–J2 Heisenberg model on a simple cubic lattice. J. Appl. Phys. 1998, 83, 6317. [Google Scholar] [CrossRef]
- Hennion, B.; Szuszkiewicz, W.; Dynowska, E.; Janik, E.; Wojtowicz, T. Spin-wave measurements on MBE-grown zinc-blende structure MnTe by inelastic neutron scattering. Phys. Rev. B 2002, 66, 224426. [Google Scholar] [CrossRef]
- Szuszkiewicz, W.; Dynowska, E.; Witkowska, B.; Hennion, B. Spin-wave measurements on hexagonal MnTe of NiAs-type structure by inelastic neutron scattering. Phys. Rev. B 2006, 73, 104403. [Google Scholar] [CrossRef]
- Mobasser, S.R.; Hart, T.R. Raman Scattering From Phonons And Magnons In Magnetic Semiconductor MnTe. In Spectroscopic Characterization Techniques for Semiconductor Technology II, Proceedeedings of the SPIE Los Angeles Technical Symposium, Los Angeles, LA, USA, 21 January 1985; Conference Series; SPIE: Bellingham, WA, USA, 1985; Volume 524, pp. 137–144. [Google Scholar]
- Allen, J.W.; Locovsky, G.; Mikkelsen, J.C., Jr. Optical properties and electronic structure of crossroads material MnTe. Solid State Commun. 1977, 24, 367. [Google Scholar] [CrossRef]
- Chandra, S.; Malhotra, L.K.; Dhara, S.; Rastogi, A.C. Low-temperature dynamic susceptibility of thin Cd1-xMnxTe films. Phys. Rev. B 1996, 54, 13694. [Google Scholar] [CrossRef]
- Li, Y.B.; Zhang, Y.Q.; Sun, N.K.; Zhang, Q.; Li, D.; Li, J.; Zhang, Z.D. Ferromagnetic semiconducting behavior of Mn1-xCrxTe compounds. Phys. Rev. B 2005, 72, 193308. [Google Scholar] [CrossRef]
- Aplesnin, S.S.; Ryabinkina, L.I.; Romanova, O.B.; Balaev, D.A.; Demidenko, O.F.; Yanushkevich, K.I.; Miroshnichenko, N.S. Effect of the orbital ordering on the transport and magnetic properties of MnSe and MnTe. Phys. Solid State 2007, 49, 2080–2085. [Google Scholar] [CrossRef]
- Efrem D’Sa, J.B.C.; Bhobe, P.A.; Priolkar, K.R.; Das, A.; Paranjpe, S.K.; Prabhu, R.P.; Sarode, P.R. Low-temperature neutron diffraction study of MnTe. J. Magn. Magn. Mater. 2005, 285, 267. [Google Scholar] [CrossRef][Green Version]
- He, X.; Zhang, Y.Q.; Zhang, Z.D. Magnetic and Electrical Behavior of MnTe1-xSbx Alloys. J. Mater. Sci. Technol. 2011, 27, 64. [Google Scholar] [CrossRef]
- Yahyauoi, S.; Kallel, S.; Diep, H.T. Magnetic properties of perovskites La0.7Sr0.3Mn3+0.7Mn4+ 0.3-x TixO3: Monte Carlo simulation versus experiments. J. Magn. Magn. Mater. 2016, 416, 441–448. [Google Scholar] [CrossRef]
- Diep, H.T. First-order transition in the hexagonal-close-packed lattice with vector spins. Phys. Rev. B 1992, 45, 2863. [Google Scholar] [CrossRef] [PubMed]
- Hoang, D.-T.; Diep, H.T. Hexagonal-close-packed lattice: Ground state and phase transition. Phys. Rev. E 2012, 85, 041107. [Google Scholar] [CrossRef] [PubMed]
- Itakura, M. Monte Carlo renormalization group study of the Heisenberg and the XY antiferromagnet on the stacked triangular lattice and the chiral ϕ4 model. J. Phys. Soc. Jpn. 2003, 72, 74–82. [Google Scholar] [CrossRef]
- Bekhechi, S.; Southern, B.W.; Peles, A.; Mouhanna, D. Short-time dynamics of a family of XY noncollinear magnets. Phys. Rev. E 2006, 74, 016109. [Google Scholar] [CrossRef]
- Ngo, V.T.; Diep, H.T. Stacked triangular XY antiferromagnets: End of a controversial issue on the phase transition. J. Appl. Phys. 2008, 103, 07C712. [Google Scholar] [CrossRef]
- Ngo, V.T.; Diep, H.T. Phase transition in Heisenberg stacked triangular antiferromagnets: End of a controversy. Phys. Rev. E 2008, 78, 031119. [Google Scholar] [CrossRef]
- Delamotte, B.; Mouhanna, D.; Tissier, M. Renormalization Group Approaches to Frustrated Magnets in D = 3. In Frustrated Spin Systems, Diep, H.T., Ed.; 3rd ed.; World Scientific: Singapore, 2020. [Google Scholar]
- Diep, H.T.; Kawamura, H. First-order phase transition in the fcc Heisenberg antiferromagnet. Phys. Rev. B 1989, 40, 7019. [Google Scholar] [CrossRef]
- Blankschtein, D.; Ma, M.; Berker, A.N. Fully and partially frustrated simple-cubic Ising models: Landau-Ginzburg-Wilson theory. Phys. Rev. B 1984, 30, 1362. [Google Scholar] [CrossRef]
- Ngo, V.T.; Hoang, D.T.; Diep, H.T. First-order transition in the XY model on a fully frustrated simple cubic lattice. Phys. Rev. E 2010, 82, 041123. [Google Scholar] [CrossRef] [PubMed]
- Ngo, V.T.; Hoang, D.T.; Diep, H.T. Phase Transition In The Heisenberg Fully-Frustrated Simple Cubic Lattice. Mod. Phys. Lett. B 2011, 25, 929. [Google Scholar] [CrossRef]
- Ngo, V.T.; Hoang, D.T.; Diep, H.T. Flat energy-histogram simulation of the phase transition in an Ising fully frustrated lattice. J. Phys. Cond. Matt. 2011, 23, 226002. [Google Scholar]
- Diep, H.T. Magnetic transitions in helimagnets. Phys. Rev. B 1989, 39, 397. [Google Scholar] [CrossRef] [PubMed]
- “Kondo Effect—40 Years after the Discovery”, a Special Issue with Reviews from World Top Scientists: Jun Kondo, Philippe Nozières, A.C. Hewson, Yukihiro Shimizu and Osamu Sakai, Ian Affleck amongst Others. Available online: https://journals.jps.jp/toc/jpsj/2005/74/1 (accessed on 25 December 2022).




















Disclaimer/Publisher’s Note: The statements, opinions and data contained in all publications are solely those of the individual author(s) and contributor(s) and not of MDPI and/or the editor(s). MDPI and/or the editor(s) disclaim responsibility for any injury to people or property resulting from any ideas, methods, instructions or products referred to in the content. |
© 2022 by the authors. Licensee MDPI, Basel, Switzerland. This article is an open access article distributed under the terms and conditions of the Creative Commons Attribution (CC BY) license (https://creativecommons.org/licenses/by/4.0/).
Share and Cite
Hoang, D.-T.; Diep, H.T. Spin Transport in Magnetically Ordered Systems: Ferromagnets, Antiferromagnets and Frustrated Systems. Condens. Matter 2023, 8, 3. https://doi.org/10.3390/condmat8010003
Hoang D-T, Diep HT. Spin Transport in Magnetically Ordered Systems: Ferromagnets, Antiferromagnets and Frustrated Systems. Condensed Matter. 2023; 8(1):3. https://doi.org/10.3390/condmat8010003
Chicago/Turabian StyleHoang, Danh-Tai, and Hung T. Diep. 2023. "Spin Transport in Magnetically Ordered Systems: Ferromagnets, Antiferromagnets and Frustrated Systems" Condensed Matter 8, no. 1: 3. https://doi.org/10.3390/condmat8010003
APA StyleHoang, D.-T., & Diep, H. T. (2023). Spin Transport in Magnetically Ordered Systems: Ferromagnets, Antiferromagnets and Frustrated Systems. Condensed Matter, 8(1), 3. https://doi.org/10.3390/condmat8010003

