Electromagnetic Field in Hybrid Quantum Plasmonic-Photonic Systems
Abstract
1. Introduction
2. Design of Artificial Solids with Special Optical Properties
3. Hybrid Plasmonic-SQD Platform
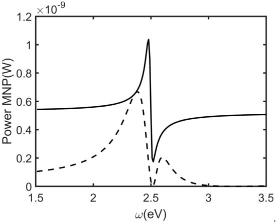
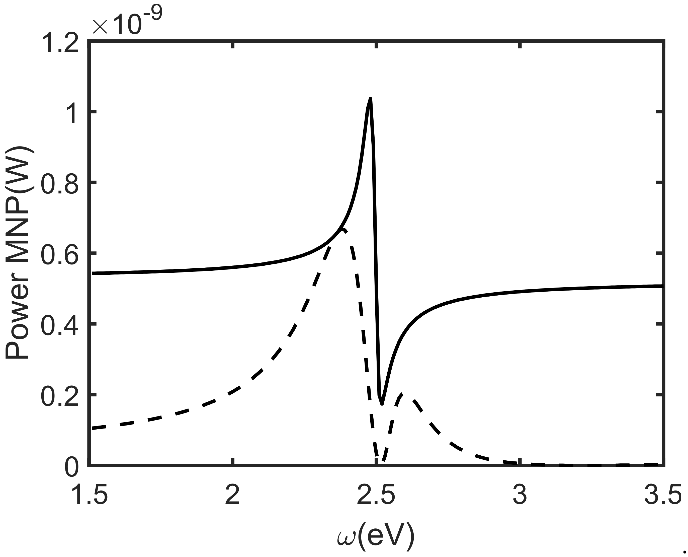
4. SERS and Electromagnetic Field Localization
5. Conclusions
Acknowledgments
Author Contributions
Conflicts of Interest
References
- Novotny, L.; van Hulst, N. Antennas for light. Nat. Photonics 2011, 5, 83–90. [Google Scholar] [CrossRef]
- Tame, M.S.; McEnery, K.R.; Özdemir, Ş.K.; Lee, J.; Maier, S.A.; Kim, M.S. Quantum plasmonics. Nat. Phys. 2013, 9, 329. [Google Scholar] [CrossRef]
- Cushing, S.K.; Li, J.; Meng, F.; Senty, T.R.; Suri, S.; Zhi, M.J.; Li, M.; Bristow, A.D.; Wu, N.Q. Photocatalytic activity enhanced by plasmonic resonant energy transfer from metal to semiconductor. J. Am. Chem. Soc. 2012, 134, 15033–15041. [Google Scholar] [CrossRef] [PubMed]
- Zhang, C.; Kinsey, N.; Chen, L.; Ji, C.G.; Xu, M.J.; Ferrera, M.; Pan, X.; Shalaev, V.M.; Boltasseva, A.; Guo, L.J. High-performance doped silver films: Overcoming fundamental material limits for nanophotonic applications. Adv. Mater. 2017, 29, 1605177. [Google Scholar] [CrossRef] [PubMed]
- Noginov, M.A. Demonstration of a spaser-based nanolaser. Nature 2009, 460, 1110–1112. [Google Scholar] [CrossRef] [PubMed]
- Yao, Y.; Yi, B.; Xiao, J.; Li, Z. Surface Plasmon resonance biosensors and its application. In Proceedings of the 2007 1st International Conference on Bioinformatics and Biomedical Engineering, Wuhan, China, 6–8 July 2007; pp. 1043–1046. [Google Scholar]
- Szunerits, S.; Boukherroub, R. Sensing using localised surface plasmon resonance sensors. Chem. Commun. 2012, 48, 8999–9010. [Google Scholar] [CrossRef] [PubMed]
- Nie, S.; Emory, S.R. Probing single molecules and single nanoparticles by surface-enhanced raman scattering. Science 1997, 275, 1102. [Google Scholar] [CrossRef] [PubMed]
- Kneipp, K. Surface-enhanced raman scattering. Phys. Today 2007, 60, 40. [Google Scholar] [CrossRef]
- Wang, Y.; Irudayaraj, J. Surface-enhanced raman spectroscopy at single-molecule scale and its implications in biology. Philos. Trans. R. Soc. B Biol. Sci. 2013, 368, 20120026. [Google Scholar] [CrossRef] [PubMed]
- Renugopalakrishnan, V.; Barbiellini, B.; King, C.; Molinari, M.; Mochalov, K.; Sukhanova, A.; Nabiev, I.; Fojan, P.; Tuller, H.L.; Chin, M. Engineering a robust photovoltaic device with quantum dots and bacteriorhodopsin. J. Phys. Chem. C 2014, 118, 16710–16717. [Google Scholar] [CrossRef] [PubMed]
- Somasundaran, P.; Chin, M.; Latosiewicz, U.T.; Tuller, H.L.; Barbiellini, B.; Renugopalakrishnan, V. Nanoscience and Engineering for Robust Biosolar Cells; CRC Press: Boca Raton, FL, USA, 2011. [Google Scholar]
- Crivelli, P.; Cooke, D.; Barbiellini, B.; Brown, B.L.; Feldblyum, J.I.; Guo, P.; Gidley, D.W.; Gerchow, L.; Matzger, A.J. Positronium emission spectra from self-assembled metal-organic frameworks. Phys. Rev. B 2014, 89, 241103. [Google Scholar] [CrossRef]
- Schachenmayer, J.; Genes, C.; Tignone, E.; Pupillo, G. Cavity-enhanced transport of excitons. Phys. Rev. Lett. 2015, 114, 196403. [Google Scholar] [CrossRef] [PubMed]
- Benniston, A.C.; Harriman, A. Artificial photosynthesis. Mater. Today 2008, 11, 26–34. [Google Scholar] [CrossRef]
- Orgui, E.; George, J.; Hutchison, J.A.; Devaux, E.; Dayen, J.F.; Doudin, B.; Stellacci, F.; Genet, C.; Schachenmayer, J.; Genes, C.; et al. Conductivity in organic semiconductors hybridized with the vacuum field. Nat. Mater. 2015, 14, 1123–1129. [Google Scholar] [CrossRef] [PubMed]
- Lidzey, D.G.; Bradley, D.D.C.; Skolnick, M.S.; Virgili, T.; Walker, S.; Whittaker, D.M. Strong excitonphoton coupling in an organic semiconductor microcavity. Nature 1998, 395, 53–55. [Google Scholar] [CrossRef]
- Dintinger, J.; Klein, S.; Bustos, F.; Barnes, W.L.; Ebbesen, T.W. Strong coupling between surface plasmon-polaritons and organic molecules in subwavelength hole arrays. Phy. Rev. B 2005, 71, 035424. [Google Scholar] [CrossRef]
- Bellessa, J.; Bonnand, C.; Plenet, J.C.; Mugnier, J. Strong coupling between surface plasmons and excitons in an organic semiconductor. Phys. Rev. Lett. 2004, 93, 03604. [Google Scholar] [CrossRef] [PubMed]
- Schwarz, T.; Hutchison, J.A.; Genet, C.; Ebbesen, T.W. Reversible switching of ultrastrong light-molecule coupling. Phys. Rev. Lett. 2011, 106, 196405. [Google Scholar] [CrossRef] [PubMed]
- Hutchison, J.A. Tuning the work-Function via strong coupling. Adv. Mater. 2013, 25, 2481–2485. [Google Scholar] [CrossRef] [PubMed]
- Feist, J.; Garcia-Vidal, F.J. Extraordinary exciton conductance induced by strong coupling. Phys. Rev. Lett. 2015, 114, 196402. [Google Scholar] [CrossRef] [PubMed]
- Agranovich, V.M.; Gartstein, Y.N.; Litinskaya, M. Hybrid resonant organic-inorganic nanostructures for optoelectronic applications. Chem. Rev. 2011, 111, 5179–5214. [Google Scholar] [CrossRef] [PubMed]
- Kamat, P.V. Quantum dot solar cells. Semiconductor nanocrystals as light harvesters. J. Phys. Chem. C 2008, 112, 18737–18753. [Google Scholar] [CrossRef]
- Kasprzak, J.; Richard, M.; Kundermann, S.; Baas, A.; Jeambrun, P.; Keeling, J.M.J.; Marchetti, F.M.; Szymańska, M.H.; André, R.; Staehli, J.L.; et al. Bose-Einstein condensation of exciton polaritons. Nature 2006, 443, 409–414. [Google Scholar] [CrossRef] [PubMed]
- Kéna-Cohen, S.; Forrest, S.R. Room-temperature polariton lasing in an organic single-crystal microcavity. Nat. Photonics 2010, 4, 371–375. [Google Scholar] [CrossRef]
- Coles, D.M.; Somaschi, N.; Michetti, P.; Clark, C.; Lagoudakis, P.G.; Savvidis, P.G.; Lidzey, D. Polariton-mediated energy transfer between organic dyes in a strongly coupled optical microcavity. Nat. Mater. 2014, 13, 712–719. [Google Scholar] [CrossRef] [PubMed]
- King, C.; Barbiellini, B.; Moser, D.; Renugopalakrishnan, V. Exactly soluble model of resonant energy transfer between molecules. Phys. Rev. B 2012, 85, 125106. [Google Scholar] [CrossRef]
- Romero, E.; Augulis, R.; Grondelle, R.V. Quantum coherence in photosynthesis for efficient solar-energy conversion. Nat. Phys. 2014, 10, 676–682. [Google Scholar] [CrossRef] [PubMed]
- Cao, E.; Lin, W.; Sun, M.; Liang, W.; Song, Y. Exciton-plasmon coupling interactions: From principle to applications. Nanophotonics 2018, 7, 145. [Google Scholar] [CrossRef]
- Hayati, L.; Lane, C.; Barbiellini, B.; Bansil, A.; Mosallaei, H. Self-consistent scheme for optical response of large hybrid networks of semiconductor quantum dots and plasmonic metal nanoparticles. Phys. Rev. B 2016, 93, 245411. [Google Scholar] [CrossRef]
- Miroshnichenko, A.E.; Flach, S.; Kivshar, Y.S. Fano resonances in nanoscale structures. Rev. Mod. Phys. 2010, 82, 2257–2298. [Google Scholar] [CrossRef]
- Artuso, R.D.; Bryant, G.W. Optical response of strongly coupled quantum dot-metal nanoparticle systems: Double peaked fano structure and bistability. Nano Lett. 2008, 8, 2106–2111. [Google Scholar] [CrossRef] [PubMed]
- Harutyunan, H.; Martinson, A.B.F.; Rosenmann, D.; Khorashad, L.K.; Besteiro, L.V.; Govorov, A.O.; Wiederrecht, G.P. Anomalous ultrafast dynamics of hot plasmonic electrons in nanostructures with hot spots. Nat. Nanotechnol. 2015, 10, 770–774. [Google Scholar] [CrossRef] [PubMed]
- Mukherjee, S.; Nadesalingam, M.P.; Guagliardo, P.; Sergeant, A.D.; Barbiellini, B.; Williams, J.F.; Fazleev, N.G.; Weiss, A.H. Auger-mediated sticking of positrons to surfaces: Evidence for a single-step transition from a scattering state to a surface image potential bound state. Phys. Rev. Lett. 2010, 104, 247403. [Google Scholar] [CrossRef] [PubMed]
- Barbiellini, B.; Platzman, P.M. The healing mechanism for excited molecules near metallic surfaces. New J. Phys. 2006, 8, 20. [Google Scholar] [CrossRef][Green Version]
- Vittorini-Orgeas, A.; Bianconi, A. From Majorana theory of atomic autoionization to Feshbach resonances in high temperature superconductors. J. Supercond. Nov. Magn. 2009, 22, 215–221. [Google Scholar] [CrossRef]
- Chirayath, V.A.; Callewaert, V.; Fairchild, A.J.; Chrysler, M.D.; Gladen, R.W.; Mcdonald, A.D.; Imam, S.K.; Shastry, K.; Koymen, A.R.; Saniz, R.; et al. Auger electron emission initiated by the creation of valence-band holes in graphene by positron annihilation. Nat. commun. 2017, 8, 16116. [Google Scholar] [CrossRef] [PubMed]
- Novotny, L.; Hecht, B. Principles of Nano-optics; Cambridge University Press: London, UK, 2012. [Google Scholar]
- Hutchison, J.A. Modifying chemical landscapes by coupling to vacuum fields. Angew. Chem. 2012, 51, 1592–1596. [Google Scholar] [CrossRef] [PubMed]
- Pelton, M. Modified spontaneous emission in nanophotonic structures. Nat. Photonics 2015, 9, 427–435. [Google Scholar] [CrossRef]
- Hoang, T.B.; Akselrod, G.M.; Mikkelsen, M.H. Ultrafast room-temperature single photon emission from quantum dots coupled to plasmonic nanocavities. Nano Lett. 2016, 16, 270–275. [Google Scholar] [CrossRef] [PubMed]
- Lu, Y.-J.; Sokhoyan, R.; Cheng, W.-H.; Shirmanesh, G.K.; Davoyan, A.R.; Pala, R.A.; Thyagarajan, K.; Atwater, H.A. Dynamically controlled Purcell enhancement of visible spontaneous emission in a gated plasmonic heterostructure. Nat. Commun. 2017, 8, 1631. [Google Scholar] [CrossRef] [PubMed]
- Masiello, D.J. Multiscale theory and simulation of plasmon-enhanced molecular optical processes. Int. J. Quantum Chem. 2014, 114, 1413–1420. [Google Scholar] [CrossRef]
- Kediziora, G.; Schatz, G. Calculating dipole and quadrupole polarizabilities relevant to surface enhanced Raman spectroscopy. Spectrochim. Acta Part A 1999, 55, 625–638. [Google Scholar] [CrossRef]
- Barbiellini, B. Enhancement of Raman scattering from molecules placed near metal nanoparticles. Low Temp. Phys. 2017, 43, 159–161. [Google Scholar] [CrossRef][Green Version]
- Barbiellini, B.; Nicolini, P. Enhancement of Compton scattering by an effective coupling constant. Phys. Rev. A 2011, 84, 22509. [Google Scholar] [CrossRef]
- Kneipp, K.; Wang, Y.; Kneipp, H.; Perelman, L.T.; Itzkan, I.; Dasari, R.R.; Feld, M.S. Single molecule detection using surface-enhanced Raman scattering (SERS). Phys. Rev. Lett. 1996, 78, 1667. [Google Scholar] [CrossRef]
- Barbiellini, B.; Hancock, J.N.; Monney, C.; Joly, Y.; Ghiringhelli, G.; Braicovich, L.; Schmitt, T. Inelastic X-ray scattering from valence electrons near absorption edges of FeTe and TiSe2. Phys. Rev. B 2014, 89, 235138. [Google Scholar] [CrossRef]
- Barbiellini, B.; Joly, Y.; Tamasaku, K. Explaining the X-ray nonlinear susceptibility of diamond and silicon near absorption edges. Phys. Rev. B 2015, 92, 155119. [Google Scholar] [CrossRef]
- Melvin, M.A. The new classical electrodynamics. Nature 1953, 171, 890. [Google Scholar] [CrossRef]
- Enz, C.P. On Preparata’s theory of a superradiant phase transition. Helv. Phys. Acta 1997, 70, 141–153. [Google Scholar]
- Arbab, A.I. On the refractive index and photon mass. Opt. Int. J. Light Electron Opt. 2016, 127, 6682–6687. [Google Scholar] [CrossRef]
- Arbab, A.I. On Compton scattering in dielectric medium. Opt. Int. J. Light Electron Opt. 2016, 127, 8536–8541. [Google Scholar] [CrossRef]
- Lee, J.; Tymchenko, M.; Argyropoulos, C.; Chen, P.Y.; Lu, F.; Demmerle, F.; Boehm, G.; Amann, M.-C.; Alù, A.; Belkin, M.A. Giant nonlinear response from plasmonic metasurfaces coupled to intersubband transitions. Nature 2014, 511, 65–69. [Google Scholar] [CrossRef] [PubMed]
- Wolf, O.; Campione, S.; Benz, A.; Ravikumar, A.P.; Liu, S.; Luk, T.S.; Kadlec, E.A.; Shaner, E.A.; Klem, J.F.; Sinclair, M.B.; et al. Phased-array sources based on nonlinear metamaterial nanocavities. Nat. Commun. 2015, 6, 7667. [Google Scholar] [CrossRef] [PubMed]
- Wuestner, S.; Pusch, A.; Tsakmakidis, K.L.; Hamm, J.M.; Hess, O. Gain and plasmon dynamics in active negative-index metamaterials. Philos. Trans. R. Soc. A 2011, 369, 3525–3550. [Google Scholar] [CrossRef] [PubMed]
- Rose, A.; Huang, D.; Smith, D.R. Controlling the second harmonic in a phase-matched negative-index metamaterial. Phys. Rev. Lett. 2011, 107, 063902. [Google Scholar] [CrossRef] [PubMed]
- Yang, J.-L.; Xu, J.; Ren, H.; Sun, L.; Xu, Q.-C.; Zhang, H.; Li, J.-F.; Tian, Z.-Q. In situ SERS study of surface plasmon resonance enhanced photocatalytic reactions using bifunctional Au@CdS core-shell nanocomposites. Nanoscale 2017, 9, 6254–6258. [Google Scholar] [CrossRef] [PubMed]
- Suchowsk, H.; O’Brien, K.; Wong, Z.J.; Salandrino, A.; Yin, X.; Zhang, X. Phase mismatch-free nonlinear propagation in optical zero-index materials. Science 2013, 342, 1223–1226. [Google Scholar] [CrossRef] [PubMed]
- Noubir, G.; Barbiellini, B. Biologically-Enabled Wireless Networks Design and Modeling; National Science Foundation: Alexandria, VA, USA, 2011. [Google Scholar]




© 2018 by the authors. Licensee MDPI, Basel, Switzerland. This article is an open access article distributed under the terms and conditions of the Creative Commons Attribution (CC BY) license (http://creativecommons.org/licenses/by/4.0/).
Share and Cite
Barbiellini, B.; Das, S.; Renugopalakrishnan, V.; Somasundaran, P. Electromagnetic Field in Hybrid Quantum Plasmonic-Photonic Systems. Condens. Matter 2018, 3, 10. https://doi.org/10.3390/condmat3020010
Barbiellini B, Das S, Renugopalakrishnan V, Somasundaran P. Electromagnetic Field in Hybrid Quantum Plasmonic-Photonic Systems. Condensed Matter. 2018; 3(2):10. https://doi.org/10.3390/condmat3020010
Chicago/Turabian StyleBarbiellini, Bernardo, Subhabrata Das, Venkatesan Renugopalakrishnan, and Ponniseril Somasundaran. 2018. "Electromagnetic Field in Hybrid Quantum Plasmonic-Photonic Systems" Condensed Matter 3, no. 2: 10. https://doi.org/10.3390/condmat3020010
APA StyleBarbiellini, B., Das, S., Renugopalakrishnan, V., & Somasundaran, P. (2018). Electromagnetic Field in Hybrid Quantum Plasmonic-Photonic Systems. Condensed Matter, 3(2), 10. https://doi.org/10.3390/condmat3020010

