Possible Realization of Hyperbolic Plasmons in Few-Layered Rhenium Disulfide
Abstract
1. Introduction
2. Atomic Structure, Theoretical and Computational Details
2.1. Atomic Structure
2.2. Computational Details
LDA, QSGW, and QSG Self-Consistency
2.3. Theory and Numerical Implementation
3. Results
3.1. Quasiparticle Energies and Band Structure
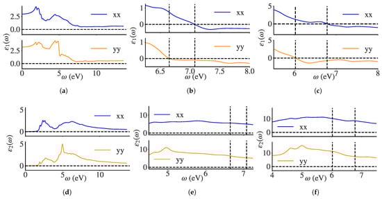
3.2. Optical Absorption Spectra: Hyperbolic Plasmons
4. Conclusions
Author Contributions
Funding
Data Availability Statement
Acknowledgments
Conflicts of Interest
References
- Gomez-Diaz, J.S.; Tymchenko, M.; Alu, A. Hyperbolic plasmons and topological transitions over uniaxial metasurfaces. Phys. Rev. Lett. 2015, 114, 233901. [Google Scholar] [CrossRef] [PubMed]
- Ruta, F.L.; Shao, Y.; Acharya, S.; Mu, A.; Jo, N.H.; Ryu, S.H.; Balatsky, D.; Su, Y.; Pashov, D.; Kim, B.S.; et al. Good plasmons in a bad metal. Science 2025, 387, 786–791. [Google Scholar] [CrossRef] [PubMed]
- Wang, C.; Huang, S.; Xing, Q.; Xie, Y.; Song, C.; Wang, F.; Yan, H. Van der Waals thin films of WTe2 for natural hyperbolic plasmonic surfaces. Nat. Commun. 2020, 11, 1158. [Google Scholar] [CrossRef] [PubMed]
- Shao, Y.; Sternbach, A.J.; Kim, B.S.; Rikhter, A.A.; Xu, X.; De Giovannini, U.; Jing, R.; Chae, S.H.; Sun, Z.; Lee, S.H.; et al. Infrared plasmons propagate through a hyperbolic nodal metal. Sci. Adv. 2022, 8, eadd6169. [Google Scholar] [CrossRef] [PubMed]
- Dai, S.; Fei, Z.; Ma, Q.; Rodin, A.; Wagner, M.; McLeod, A.; Liu, M.; Gannett, W.; Regan, W.; Watanabe, K.; et al. Tunable phonon polaritons in atomically thin van der Waals crystals of boron nitride. Science 2014, 343, 1125–1129. [Google Scholar] [CrossRef] [PubMed]
- Zheng, Z.; Xu, N.; Oscurato, S.L.; Tamagnone, M.; Sun, F.; Jiang, Y.; Ke, Y.; Chen, J.; Huang, W.; Wilson, W.L.; et al. A mid-infrared biaxial hyperbolic van der Waals crystal. Sci. Adv. 2019, 5, eaav8690. [Google Scholar] [CrossRef] [PubMed]
- Ma, W.; Alonso-González, P.; Li, S.; Nikitin, A.Y.; Yuan, J.; Martín-Sánchez, J.; Taboada-Gutiérrez, J.; Amenabar, I.; Li, P.; Vélez, S.; et al. In-plane anisotropic and ultra-low-loss polaritons in a natural van der Waals crystal. Nature 2018, 562, 557–562. [Google Scholar] [CrossRef] [PubMed]
- Yermakov, O.Y.; Ovcharenko, A.I.; Song, M.; Bogdanov, A.A.; Iorsh, I.V.; Kivshar, Y.S. Hybrid waves localized at hyperbolic metasurfaces. Phys. Rev. B 2015, 91, 235423. [Google Scholar] [CrossRef]
- Samusev, A.; Mukhin, I.; Malureanu, R.; Takayama, O.; Permyakov, D.V.; Sinev, I.S.; Baranov, D.; Yermakov, O.; Iorsh, I.V.; Bogdanov, A.A.; et al. Polarization-resolved characterization of plasmon waves supported by an anisotropic metasurface. Opt. Express 2017, 25, 32631–32639. [Google Scholar] [CrossRef]
- Li, P.; Dolado, I.; Alfaro-Mozaz, F.J.; Casanova, F.; Hueso, L.E.; Liu, S.; Edgar, J.H.; Nikitin, A.Y.; Vélez, S.; Hillenbrand, R. Infrared hyperbolic metasurface based on nanostructured van der Waals materials. Science 2018, 359, 892–896. [Google Scholar] [CrossRef] [PubMed]
- Poddubny, A.; Iorsh, I.; Belov, P.; Kivshar, Y. Hyperbolic metamaterials. Nat. Photonics 2013, 7, 948–957. [Google Scholar] [CrossRef]
- Cortes, C.; Newman, W.; Molesky, S.; Jacob, Z. Quantum nanophotonics using hyperbolic metamaterials. J. Opt. 2012, 14, 063001. [Google Scholar] [CrossRef]
- Shekhar, P.; Atkinson, J.; Jacob, Z. Hyperbolic metamaterials: Fundamentals and applications. Nano Converg. 2014, 1, 14. [Google Scholar] [CrossRef] [PubMed]
- Ferrari, L.; Wu, C.; Lepage, D.; Zhang, X.; Liu, Z. Hyperbolic metamaterials and their applications. Prog. Quantum Electron. 2015, 40, 1–40. [Google Scholar] [CrossRef]
- Códova-Castro, R.M.; Casavola, M.; van Schilfgaarde, M.; Krasavin, A.; Green, M.A.; Richards, D.; Zayats, A. Anisotropic Plasmonic CuS Nanocrystals as a Natural Electronic Material with Hyperbolic Optical Dispersion. ACS Nano. 2019, 13, 6550. [Google Scholar] [CrossRef] [PubMed]
- Palermo, G.; Lio, G.E.; Esposito, M.; Ricciardi, L.; Manoccio, M.; Tasco, V.; Passaseo, A.; De Luca, A.; Strangi, G. Biomolecular sensing at the interface between chiral metasurfaces and hyperbolic metamaterials. ACS Appl. Mater. Interfaces 2020, 12, 30181–30188. [Google Scholar] [CrossRef] [PubMed]
- Chen, H.; Gong, P.; Lin, Z.; Kang, L. Can Low Structural Anisotropy Produce High Optical Anisotropy? Anomalous Giant Optical Birefringent Effect in PI4AlI4 in Focus. J. Am. Chem. Soc. 2025, 147, 3438–3449. [Google Scholar] [CrossRef] [PubMed]
- Lin, D.Y.; Huang, T.P.; Wu, F.L.; Lin, C.M.; Huang, Y.S.; Tiong, K.K. Anisotropy of Photoluminescence in Layered Semiconductors ReS2 and ReS2: Au. Solid State Phenom. 2011, 170, 135–138. [Google Scholar] [CrossRef]
- Friemelt, K.; Lux-Steiner, M.C.; Bucher, E. Optical properties of the layered transition-metal-dichalcogenide ReS2: Anisotropy in the van der Waals plane. J. Appl. Phys. 1993, 74, 5266–5268. [Google Scholar] [CrossRef]
- Liu, E.; Fu, Y.; Wang, Y.; Feng, Y.; Liu, H.; Wan, X.; Zhou, W.; Wang, B.; Shao, L.; Ho, C.H.; et al. Integrated digital inverters based on two-dimensional anisotropic ReS2 field-effect transistors. Nat. Commun. 2015, 6, 6991. [Google Scholar] [CrossRef] [PubMed]
- Nemilentsau, A.; Low, T.; Hanson, G. Anisotropic 2D materials for tunable hyperbolic plasmonics. Phys. Rev. Lett. 2016, 116, 066804. [Google Scholar] [CrossRef] [PubMed]
- Van Veen, E.; Nemilentsau, A.; Kumar, A.; Roldán, R.; Katsnelson, M.I.; Low, T.; Yuan, S. Tuning two-dimensional hyperbolic plasmons in black phosphorus. Phys. Rev. Appl. 2019, 12, 014011. [Google Scholar] [CrossRef]
- Low, T.; Chaves, A.; Caldwell, J.D.; Kumar, A.; Fang, N.X.; Avouris, P.; Heinz, T.F.; Guinea, F.; Martin-Moreno, L.; Koppens, F. Polaritons in layered two-dimensional materials. Nat. Mater. 2017, 16, 182–194. [Google Scholar] [CrossRef] [PubMed]
- Sun, J.; Litchinitser, N.M.; Zhou, J. Indefinite by nature: From ultraviolet to terahertz. ACS Photonics 2014, 1, 293–303. [Google Scholar] [CrossRef]
- Echeverry, J.; Gerber, I. Theoretical investigations of the anisotropic optical properties of distorted 1T ReS2 and ReSe2 monolayers, bilayers, and in the bulk limit. Phys. Rev. B 2018, 97, 075123. [Google Scholar] [CrossRef]
- Zhang, E.; Jin, Y.; Yuan, X.; Wang, W.; Zhang, C.; Tang, L.; Liu, S.; Zhou, P.; Hu, W.; Xiu, F. ReS2-based field-effect transistors and photodetectors. Adv. Funct. Mater. 2015, 25, 4076–4082. [Google Scholar] [CrossRef]
- Pashov, D.; Acharya, S.; Lambrecht, W.R.; Jackson, J.; Belashchenko, K.D.; Chantis, A.; Jamet, F.; van Schilfgaarde, M. Questaal: A package of electronic structure methods based on the linear muffin-tin orbital technique. Comput. Phys. Commun. 2020, 249, 107065. [Google Scholar] [CrossRef]
- Momma, K.; Izumi, F. VESTA 3 for three-dimensional visualization of crystal, volumetric and morphology data. J. Appl. Crystallogr. 2011, 44, 1272–1276. [Google Scholar] [CrossRef]
- van Schilfgaarde, M.; Kotani, T.; Faleev, S. Quasiparticle self-consistent GW theory. Phys. Rev. Lett. 2006, 96, 226402. [Google Scholar] [CrossRef] [PubMed]
- Cunningham, B.; Grüning, M.; Azarhoosh, P.; Pashov, D.; Van Schilfgaarde, M. Effect of ladder diagrams on optical absorption spectra in a quasiparticle self-consistent GW framework. Phys. Rev. Mater. 2018, 2, 034603. [Google Scholar] [CrossRef]
- Cunningham, B.; Grüning, M.; Pashov, D.; van Schilfgaarde, M. QSG: Quasiparticle self-consistent GW with ladder diagrams in W. Phys. Rev. B 2023, 108, 165104. [Google Scholar] [CrossRef]
- Hirata, S.; Head-Gordon, M. Time-dependent density functional theory within the Tamm–Dancoff approximation. Chem. Phys. Lett. 1999, 314, 291–299. [Google Scholar] [CrossRef]
- Qiu, D.Y.; Felipe, H.; Louie, S.G. Optical spectrum of MoS2: Many-body effects and diversity of exciton states. Phys. Rev. Lett. 2013, 111, 216805. [Google Scholar] [CrossRef] [PubMed]
- Acharya, S.; Pashov, D.; Rudenko, A.N.; Rösner, M.; Schilfgaarde, M.v.; Katsnelson, M.I. Real-and momentum-space description of the excitons in bulk and monolayer chromium tri-halides. NPJ 2D Mater. Appl. 2022, 6, 33. [Google Scholar] [CrossRef]
- Hedin, L. New Method for Calculating the One-Particle Green’s Function with Application to the Electron-Gas Problem. Phys. Rev. 1965, 139, A796–A823. [Google Scholar] [CrossRef]
- Schwinger, J. On the Greens functions of quantized fields. I. Proc. Natl. Acad. Sci. USA 1951, 37, 452–455. [Google Scholar] [CrossRef] [PubMed]
- Martin, P.C.; Schwinger, J. Theory of Many-Particle Systems. I. Phys. Rev. 1959, 115, 1342–1373. [Google Scholar] [CrossRef]
- Onida, G.; Reining, L.; Rubio, A. Electronic excitations: Density-functional versus many-body Green’s-function approaches. Rev. Mod. Phys. 2002, 74, 601–659. [Google Scholar] [CrossRef]
- Louie, S.G.; Chelikowsky, J.R.; Cohen, M.L. Local-Field Effects in the Optical Spectrum of Silicon. Phys. Rev. Lett. 1975, 34, 155–158. [Google Scholar] [CrossRef]
- Zhang, H.; Zhu, M.; Jiang, L.; Zheng, Y. High-frequency plasmonic excitation in the two-dimensional MBenes Ti2B2 and Mo2B2. Phys. Rev. B 2025, 111, 085418. [Google Scholar] [CrossRef]
- Caruso, F.; Amsalem, P.; Ma, J.; Aljarb, A.; Schultz, T.; Zacharias, M.; Tung, V.; Koch, N.; Draxl, C. Two-dimensional plasmonic polarons in n-doped monolayer MoS2. Phys. Rev. B 2021, 103, 205152. [Google Scholar] [CrossRef]
- Tongay, S.; Sahin, H.; Ko, C.; Luce, A.; Fan, W.; Liu, K.; Zhou, J.; Huang, Y.S.; Ho, C.H.; Yan, J.; et al. Monolayer behaviour in bulk ReS2 due to electronic and vibrational decoupling. Nat. Commun. 2014, 5, 3252. [Google Scholar] [CrossRef] [PubMed]
- Ho, C.; Liao, P.; Huang, Y.; Yang, T.R.; Tiong, K.K. Optical absorption of ReS2 and ReSe2 single crystals. J. Appl. Phys. 1997, 81, 6380–6383. [Google Scholar] [CrossRef]
- Ho, C.; Liao, P.; Huang, Y.; Tiong, K.K. Temperature dependence of energies and broadening parameters of the band-edge excitons of ReS2 and ReSe2. Phys. Rev. B 1997, 55, 15608. [Google Scholar] [CrossRef]
- Aslan, O.B.; Chenet, D.A.; Van Der Zande, A.M.; Hone, J.C.; Heinz, T.F. Linearly polarized excitons in single-and few-layer ReS2 crystals. ACS Photonics 2016, 3, 96–101. [Google Scholar] [CrossRef]
- Gutiérrez-Lezama, I.; Reddy, B.A.; Ubrig, N.; Morpurgo, A.F. Electroluminescence from indirect band gap semiconductor ReS2. 2D Mater. 2016, 3, 045016. [Google Scholar] [CrossRef]
- Acharya, S.; Pashov, D.; Cunningham, B.; Rudenko, A.N.; Rösner, M.; Grüning, M.; van Schilfgaarde, M.; Katsnelson, M.I. Electronic Structure of Chromium Trihalides beyond Density Functional Theory. Phys. Rev. B 2021, 104, 155109. [Google Scholar] [CrossRef]
- Zhong, H.X.; Gao, S.; Shi, J.J.; Yang, L. Quasiparticle band gaps, excitonic effects, and anisotropic optical properties of the monolayer distorted 1 T diamond-chain structures ReS2 and ReSe2. Phys. Rev. B 2015, 92, 115438. [Google Scholar] [CrossRef]
- Grzeszczyk, M.; Novoselov, K.; Koperski, M. ZnPSe3 as ultrabright indirect band-gap system with microsecond excitonic lifetimes. Proc. Natl. Acad. Sci. USA 2022, 119, e2207074119. [Google Scholar] [CrossRef] [PubMed]
- Ho, C.; Huang, C. Optical property of the near band-edge transitions in rhenium disulfide and diselenide. J. Alloys Compd. 2004, 383, 74–79. [Google Scholar] [CrossRef]
- Rudenko, A.N.; Acharya, S.; Tasnádi, F.; Pashov, D.; Ponomareva, A.V.; Van Schilfgaarde, M.; Abrikosov, I.A.; Katsnelson, M.I. Electronic and optical properties of crystalline nitrogen versus black phosphorus: A comparative first-principles study. Phys. Rev. B 2022, 105, 205135. [Google Scholar] [CrossRef]
- Ji, C.; Adeleke, A.A.; Yang, L.; Wan, B.; Gou, H.; Yao, Y.; Li, B.; Meng, Y.; Smith, J.S.; Prakapenka, V.B.; et al. Nitrogen in black phosphorus structure. Sci. Adv. 2020, 6, eaba9206. [Google Scholar] [CrossRef] [PubMed]
- Laniel, D.; Winkler, B.; Fedotenko, T.; Pakhomova, A.; Chariton, S.; Milman, V.; Prakapenka, V.; Dubrovinsky, L.; Dubrovinskaia, N. High-Pressure Polymeric Nitrogen Allotrope with the Black Phosphorus Structure. Phys. Rev. Lett. 2020, 124, 216001. [Google Scholar] [CrossRef] [PubMed]
- Biehs, S.A.; Tschikin, M.; Ben-Abdallah, P. Hyperbolic metamaterials as an analog of a blackbody in the near field. Phys. Rev. Lett. 2012, 109, 104301. [Google Scholar] [CrossRef] [PubMed]
- Riley, C.T.; Smalley, J.S.; Brodie, J.R.; Fainman, Y.; Sirbuly, D.J.; Liu, Z. Near-perfect broadband absorption from hyperbolic metamaterial nanoparticles. Proc. Natl. Acad. Sci. USA 2017, 114, 1264–1268. [Google Scholar] [CrossRef] [PubMed]
- Ross-Harvey, G.; Iurov, A.; Zhemchuzhna, L.; Gumbs, G.; Huang, D.; Fekete, P. Dynamical polarization function, anisotropic plasmon modes, and dephasing rates for interacting electrons in semi-Dirac bands. Phys. Rev. B 2025, 111, 045413. [Google Scholar] [CrossRef]
- Iurov, A.; Zhemchuzhna, L.; Gumbs, G.; Huang, D.; Fekete, P.; Anwar, F.; Dahal, D.; Weekes, N. Tailoring plasmon excitations in α − 3 armchair nanoribbons. Sci. Rep. 2021, 11, 20577. [Google Scholar] [CrossRef] [PubMed]
- Iurov, A.; Zhemchuzhna, L.; Gumbs, G.; Huang, D.; Dahal, D.; Abranyos, Y. Finite-temperature plasmons, damping, and collective behavior in the α − 3 model. Phys. Rev. B 2022, 105, 245414. [Google Scholar] [CrossRef]





| Structure | a(Å) | b(Å) | c(Å) | (°) | (°) | (°) |
|---|---|---|---|---|---|---|
| Bulk | 6.41695 | 6.52047 | 7.28252 | 91.8128 | 103.5630 | 118.8390 |
| ML | 6.41910 | 6.52306 | 45 | 90.7434 | 95.7909 | 118.8366 |
| BL | 6.41910 | 6.52306 | 28.66062 | 84.0127 | 89.7412 | 61.1634 |
| Band Gap (eV) | |||
|---|---|---|---|
| Theory | LDA | QSGW | QSG |
| Bulk | 1.15 | 1.75 | 1.7 |
| ML | 1.29 | 2.75 | 2.66 |
| BL | 1.23 | 2.35 | 2.3 |
| Dielectric Constant (eV) | |||||
|---|---|---|---|---|---|
| Plasmonic Frequency Range (eV) | Exciton Binding Energy (eV) | ||||
| Bulk | 9.67 | 9.37 | 6.21 | 6.02–6.78 (0.76) | 0.1 |
| BL | 6.97 | 7.09 | 2.66 | 6.65–7.08 (0.43) | 0.3 |
| ML | 2.97 | 3.19 | 1.42 | - | 0.74 |
Disclaimer/Publisher’s Note: The statements, opinions and data contained in all publications are solely those of the individual author(s) and contributor(s) and not of MDPI and/or the editor(s). MDPI and/or the editor(s) disclaim responsibility for any injury to people or property resulting from any ideas, methods, instructions or products referred to in the content. |
© 2025 by the authors. Licensee MDPI, Basel, Switzerland. This article is an open access article distributed under the terms and conditions of the Creative Commons Attribution (CC BY) license (https://creativecommons.org/licenses/by/4.0/).
Share and Cite
Kiran, R.; Pashov, D.; van Schilfgaarde, M.; Katsnelson, M.I.; Taraphder, A.; Acharya, S. Possible Realization of Hyperbolic Plasmons in Few-Layered Rhenium Disulfide. Condens. Matter 2025, 10, 40. https://doi.org/10.3390/condmat10030040
Kiran R, Pashov D, van Schilfgaarde M, Katsnelson MI, Taraphder A, Acharya S. Possible Realization of Hyperbolic Plasmons in Few-Layered Rhenium Disulfide. Condensed Matter. 2025; 10(3):40. https://doi.org/10.3390/condmat10030040
Chicago/Turabian StyleKiran, Ravi, Dimitar Pashov, Mark van Schilfgaarde, Mikhail I. Katsnelson, Arghya Taraphder, and Swagata Acharya. 2025. "Possible Realization of Hyperbolic Plasmons in Few-Layered Rhenium Disulfide" Condensed Matter 10, no. 3: 40. https://doi.org/10.3390/condmat10030040
APA StyleKiran, R., Pashov, D., van Schilfgaarde, M., Katsnelson, M. I., Taraphder, A., & Acharya, S. (2025). Possible Realization of Hyperbolic Plasmons in Few-Layered Rhenium Disulfide. Condensed Matter, 10(3), 40. https://doi.org/10.3390/condmat10030040

