High-Performance Natural Dye-Sensitized Solar Cells Employing a New Semiconductor: Gd2Ru2O7 Pyrochlore Oxide
Abstract
1. Introduction
2. Experimental Conditions
2.1. Chemical Coumpounds and Apparatus
2.2. Sample Growth and Analysis
3. Results and Discussion
3.1. Structural Properties
3.2. AFM Characterization
3.3. X-Ray Diffraction
3.4. Raman Spectroscopy
3.5. Optical Properties
3.6. Ellipsometry Measurement
4. Assembled Natural Dye-Sensitized Solar Cells
4.1. The Stacked Films in the DSSC-N Structure
4.2. I-V Measurements
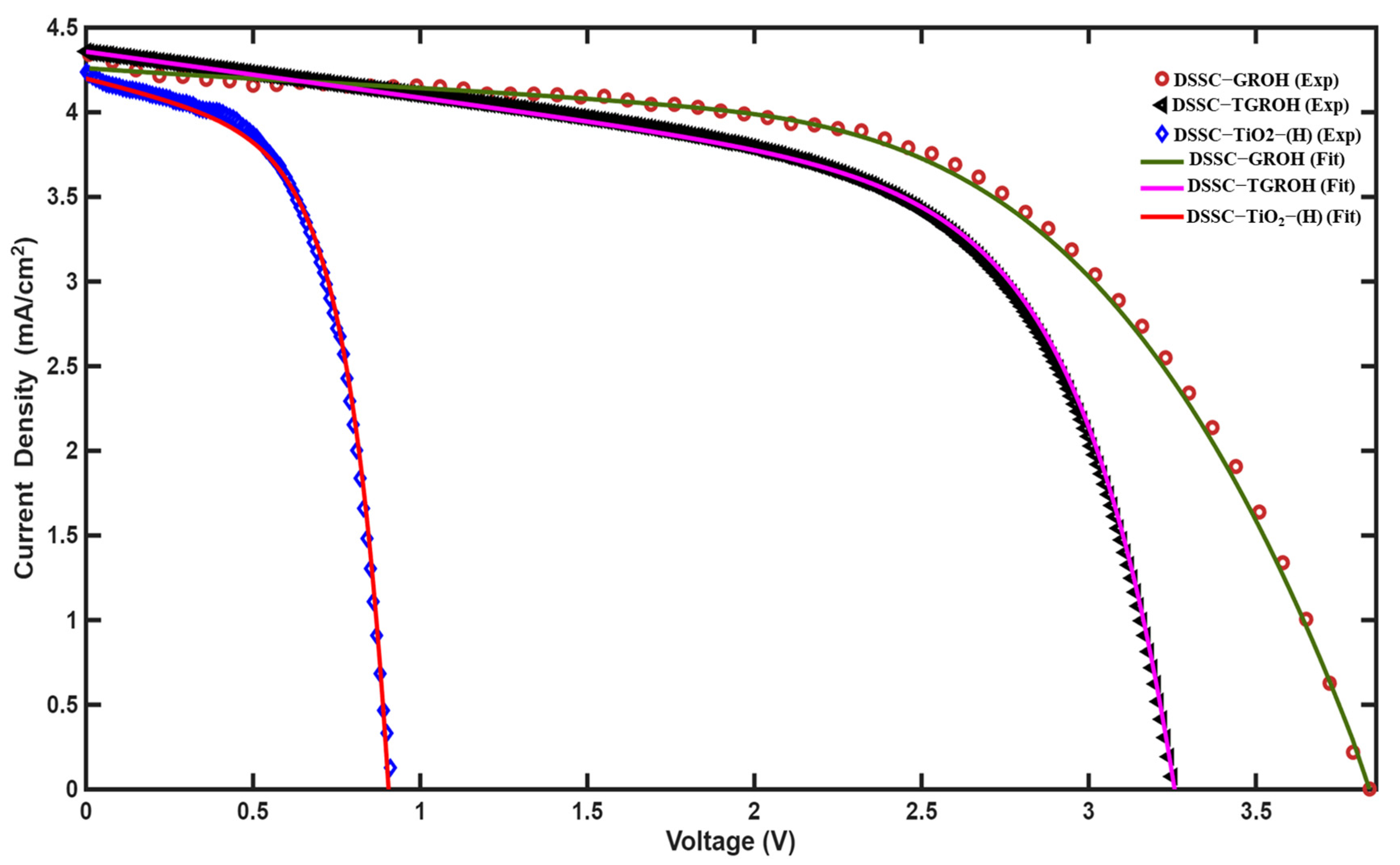
4.2.1. Results Obtained from DSSC-N Based on GRO
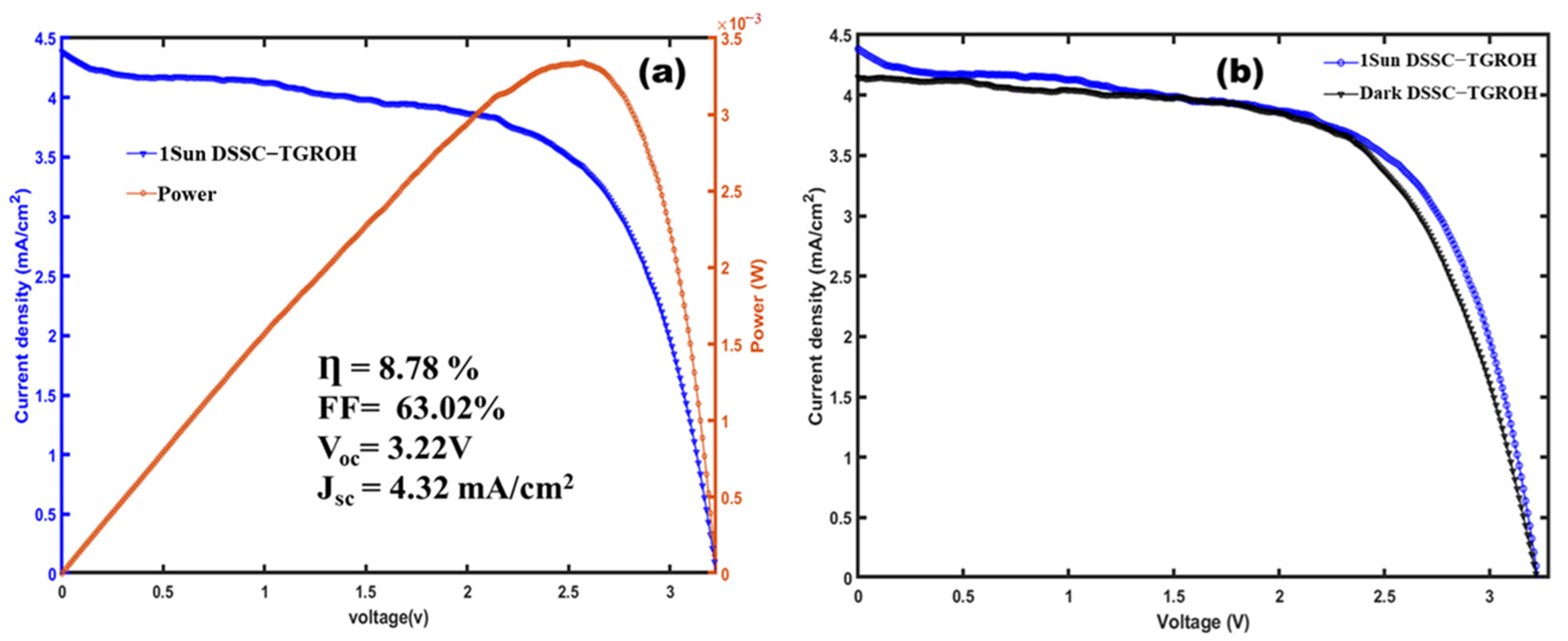
4.2.2. Results Obtained from DSSC-N Based on TGRO
4.3. Discussion
5. Electrical Measurements and Analysis
5.1. Impedance Spectroscopy
- -
- Ri represents pure resistance.
- -
- CPEi (ith Constant Phase Element) is an artificial impedance element known as Warburg impedance, with the expression:
- -
- For α = 0, the element behaves as a pure resistor.
- -
- For α = 1, it behaves as an ideal capacitor.
- -
- For intermediate values of α; when α is closer to 0, A is interpreted as an admittance, when closer to 1, it represents a capacitance.
- -
- Block 1 (R1, CPE1): models the DSSC response at high frequencies, attributed to the redox activity of the electrolyte couple (I−/I3−) and charge transfer at the interface with the platinum (Pt) counter-electrode.
- -
- Block 2 (R2, CPE2): represents the intermediate frequency response, associated with the redox interaction of the dye and the charge transfer at the interface between the photoanode (GRO) and the dye.
- -
- Block 3 (R3, CPE3): model diffusion and conduction in the low-frequency region, attributed to ionic conduction of residual charge carriers or defects in the DSSC structure.
- -
- It should be noted that the series resistance R4 is often attributed to losses due to the measurement system wiring and electrodes.
5.2. Electrical I-V Measurements and Analysis
- -
- A photogenerated current source (Iph), which represents the current generated by light absorption, which is proportional to the incident light irradiance.
- -
- Two diodes connected in parallel: the first diode models the main junction and recombination within the photoactive layer, and the second diode accounts for more complex recombination phenomena, such as those occurring in the electrolyte or material interfaces.
- -
- The overall circuit also includes two resistances: RS (series resistance), representing ohmic losses in electrodes, contacts, and connections and RSh (shunt resistance), simulating leakage current losses due to internal imperfections or short circuits.
- I01, I02: saturation currents of the diodes
- n1, n2: ideality factors (ranging from 1 to 2 for n1 and from 2 to 3 for n2)
- q: elementary charge (1.602 × 10−19 C)
- k: Boltzmann constant (1.381 × 10−23 SI units)
- T: temperature in Kelvin (T = 298 K)
- V: voltage across the cell terminals
- α1, α2: coefficients introduced to account for differences in the redox activity of the cell’s redox couples, with values between 0 and 1
5.3. Cyclic Voltammetry
6. Conclusions
Author Contributions
Funding
Data Availability Statement
Acknowledgments
Conflicts of Interest
References
- Ghazy, A.; Safdar, M.; Lastusaari, M.; Savin, H.; Karppinen, M. Advances in Upconversion Enhanced Solar Cell Performance. Sol. Energy Mater. Sol. Cells 2021, 230, 111234. [Google Scholar] [CrossRef]
- De Wild, J.; Meijerink, A.; Rath, J.K.; Van Sark, W.G.J.H.M.; Schropp, R.E.I. Upconverter Solar Cells: Materials and Applications. Energy Environ. Sci. 2011, 4, 4835. [Google Scholar] [CrossRef]
- Khan, M.; Iqbal, M.A.; Malik, M.; Hashmi, S.U.M.; Bakhsh, S.; Sohail, M.; Qamar, M.T.; Al-Bahrani, M.; Capangpangan, R.Y.; Alguno, A.C.; et al. Improving the Efficiency of Dye-Sensitized Solar Cells Based on Rare-Earth Metal Modified Bismuth Ferrites. Sci. Rep. 2023, 13, 3123. [Google Scholar] [CrossRef] [PubMed]
- Shougaijam, B.; Singh, S.S. Fabrication of Ag Nanoparticle Assisted TiO2 Nanowire Photoanode at Low Temperature for Flexible DSSC Applications. In Proceedings of the 2022 IEEE Silchar Subsection Conference (SILCON), Silchar, India, 4–6 November 2022; pp. 1–4. [Google Scholar]
- Nien, Y.-H.; Yong, Z.-R.; Chou, J.-C.; Lai, C.-H.; Kuo, P.-Y.; Ho, C.-S.; Lin, Y.-C.; Wu, Y.-T.; Syu, R.-H. The Photovoltaic Performance of the DSSC with the Photoanode Modified by γ-Fe2O3/TiO2 Nanofibers Under Low Illumination. IEEE J. Photovolt. 2022, 12, 618–624. [Google Scholar] [CrossRef]
- Lin, C.; Choudhury, B.D.; Ybarra, R.; Shawon, S.M.A.Z.; Majumder, H.; Soliz-Martinez, J.; Dimakis, N.; Lozano, K.; Uddin, M.J. Tailoring the Structure–Property Relationships of Innovative Flowerlike TiO2 Structures in a Fiber-Shaped Dye-Sensitized Solar Cell. ACS Appl. Energy Mater. 2024, 7, 2329–2337. [Google Scholar] [CrossRef]
- Najafabadi, H.A.; Ahmadi, M.; Ghanaatshoar, M. The Influence of Radio-Frequency Sputtered Blocking Layer on Boosting the Performance of BaSnO3-Based Dye-Sensitized Solar Cell. Thin Solid Films 2021, 717, 138346. [Google Scholar] [CrossRef]
- Aguilar, T.; Navas, J.; De Los Santos, D.M.; Sánchez-Coronilla, A.; Fernández-Lorenzo, C.; Alcántara, R.; Gallardo, J.J.; Blanco, G.; Martín-Calleja, J. TiO2 and Pyrochlore Tm2Ti2O7 Based Semiconductor as a Photoelectrode for Dye-Sensitized Solar Cells. J. Phys. Appl. Phys. 2015, 48, 145102. [Google Scholar] [CrossRef]
- Banerjee, A. Stability of the Pyrochlore Tm2Ru2O7(s) & Comparison of Its Stability with Other Heavy Rare Earth Ruthenium Pyrochlores. Solid State Ion. 2019, 332, 63–69. [Google Scholar] [CrossRef]
- Abbas, Z.; Naz, A.; Hussain, S.; Muhammad, S.; Algarni, H.; Ali, A.; Jung, J. First-Principles Calculations to Investigate Structural, Electronic, Optical and Magnetic Properties of Pyrochlore Oxides Eu2Tm2O7 (Tm = Hf, Sn, Zr) for Energy Applications. Inorganics 2023, 11, 193. [Google Scholar] [CrossRef]
- Kraidy, A.F.; Yapi, A.S.; El Marssi, M.; Penton Madrigal, A.; Gagou, Y. Structural Refinement and Optoelectrical Properties of Nd2Ru2O7 and Gd2Ru2O7 Pyrochlore Oxides for Photovoltaic Applications. Materials 2024, 17, 2571. [Google Scholar] [CrossRef]
- Munawar, K.; Mansoor, M.A.; Olmstead, M.M.; Yusof, F.B.; Misran, M.B.; Basirun, W.J.; Mazhar, M. Pyrochlore-Structured Y2Ti2O7–2TiO2 Composite Thin Films for Photovoltaic Applications. J. Aust. Ceram. Soc. 2019, 55, 921–932. [Google Scholar] [CrossRef]
- Saud, P.S.; Bist, A.; Kim, A.A.; Yousef, A.; Abutaleb, A.; Park, M.; Park, S.-J.; Pant, B. Dye-Sensitized Solar Cells: Fundamentals, Recent Progress, and Optoelectrical Properties Improvement Strategies. Opt. Mater. 2024, 150, 115242. [Google Scholar] [CrossRef]
- Zhang, Y.; Zhang, S.; Wang, K.; Ding, F.; Wu, J. Surfactant-Free Solvothermal Method for Synthesis of Mesoporous Nanocrystalline TiO2 Microspheres with Tailored Pore Size. J. Nanomater. 2013, 2013, 294020. [Google Scholar] [CrossRef]
- Greul, E.; Docampo, P.; Bein, T. Synthesis of Hybrid Tin Halide Perovskite Solar Cells with Less Hazardous Solvents: Methanol and 1,4-Dioxane. Z. Anorg. Allg. Chem. 2017, 643, 1704–1711. [Google Scholar] [CrossRef]
- Wang, C.-C.; Ying, J.Y. Sol−Gel Synthesis and Hydrothermal Processing of Anatase and Rutile Titania Nanocrystals. Chem. Mater. 1999, 11, 3113–3120. [Google Scholar] [CrossRef]
- Lavudya, P.; Pant, H.; Srikanth, V.V.S.S.; Ammanabrolu, R. Mesoporous and Phase Pure Anatase TiO2 Nanospheres for Enhanced Photocatalysis. Inorg. Chem. Commun. 2023, 152, 110699. [Google Scholar] [CrossRef]
- Nakamoto, T.; Higuchi, K.; Taguchi, K. Investigation of Rutile and Anatase Mesoporous SiO2@TiO2 Particles in the Scattering Layer of Dye-Sensitized Solar Cells. IEEJ Trans. Electr. Electron. Eng. 2024, 19, 285–287. [Google Scholar] [CrossRef]
- Diallo, A.; Zongo, S.; Mthunzi, P.; Rehman, S.; Alqaradawi, S.Y.; Soboyejo, W.; Maaza, M. Z-Scan and Optical Limiting Properties of Hibiscus Sabdariffa Dye. Appl. Phys. B 2014, 117, 861–867. [Google Scholar] [CrossRef]
- Narayan, M.R. Review: Dye Sensitized Solar Cells Based on Natural Photosensitizers. Renew. Sustain. Energy Rev. 2011, 16, 208–215. [Google Scholar] [CrossRef]
- Grajeda-Iglesias, C.; Figueroa-Espinoza, M.C.; Barouh, N.; Baréa, B.; Fernandes, A.; De Freitas, V.; Salas, E. Isolation and Characterization of Anthocyanins from Hibiscus sabdariffa Flowers. J. Nat. Prod. 2016, 79, 1709–1718. [Google Scholar] [CrossRef]
- Syafinar, R.; Gomesh, N.; Irwanto, M.; Fareq, M.; Irwan, Y.M. Optical characterization using nature based dye extracted from hibiscus’s flower. ARPN J. Eng. Appl. Sci. 2015, 10, 6336–6340. [Google Scholar]
- Giusti, M.M.; Wrolstad, R.E. Characterization and Measurement of Anthocyanins by UV-Visible Spectroscopy. Curr. Protoc. Food Anal. Chem. 2001, F1.2.1–F1.2.13. [Google Scholar] [CrossRef]
- Yuniati, Y.; Elim, P.E.; Alfanaar, R.; Kusuma, H.S.; Mahfud. Extraction of Anthocyanin Pigment from Hibiscus Sabdariffa l. by Ultrasonic-Assisted Extraction. IOP Conf. Ser. Mater. Sci. Eng. 2021, 1010, 012032. [Google Scholar] [CrossRef]
- Mahajan, U.; Prajapat, K.; Dhonde, M.; Sahu, K.; Shirage, P.M. Natural Dyes for Dye-Sensitized Solar Cells (DSSCs): An Overview of Extraction, Characterization and Performance. Nano-Struct. Nano-Objects 2024, 37, 101111. [Google Scholar] [CrossRef]
- Cui, T.; Su, Y.; Fu, X.; Zhu, Y.; Zhang, Y. The Key Role of Surface Hydroxyls on the Activity and Selectivity in Photocatalytic Degradation of Organic Pollutants and NO Removal. J. Alloys Compd. 2022, 921, 165931. [Google Scholar] [CrossRef]
- Makuła, P.; Pacia, M.; Macyk, W. How To Correctly Determine the Band Gap Energy of Modified Semiconductor Photocatalysts Based on UV–Vis Spectra. J. Phys. Chem. Lett. 2018, 9, 6814–6817. [Google Scholar] [CrossRef]
- Gu, P.; Yang, D.; Zhu, X.; Sun, H.; Wangyang, P.; Li, J.; Tian, H. Influence of Electrolyte Proportion on the Performance of Dye-Sensitized Solar Cells. AIP Adv. 2017, 7, 105219. [Google Scholar] [CrossRef]
- Sadek, O.; Touhtouh, S.; Rkhis, M.; Anoua, R.; El Jouad, M.; Belhora, F.; Hajjaji, A. Synthesis by Sol-Gel Method and Characterization of Nano-TiO2 Powders. Mater. Today Proc. 2022, 66, 456–458. [Google Scholar] [CrossRef]
- Icli, K.C.; Yavuz, H.I.; Ozenbas, M. Production of Core–Shell Type Conducting FTO/TiO2 Photoanode for Dye Sensitized Solar Cells. J. Solid State Chem. 2014, 210, 22–29. [Google Scholar] [CrossRef]
- Castro, A.A.; Rosas-Huerta, J.L.; Escamilla, R. Effect of Mo Substitution on the Structure and Electrical Properties of Gd2Ru2O7 Pyrochlore. Phys. B Condens. Matter 2021, 619, 413227. [Google Scholar] [CrossRef]
- Ohsaka, T.; Izumi, F.; Fujiki, Y. Raman Spectrum of Anatase, TiO2. J. Raman Spectrosc. 1978, 7, 321–324. [Google Scholar] [CrossRef]
- Ali, S.M. An Approach for CdS-QD-Based Layered Heterostructure Electrodes for Supercapacitor Applications. J. Electron. Mater. 2024, 53, 207–216. [Google Scholar] [CrossRef]
- Le Luyer, C.; García-Murillo, A.; Bernstein, E.; Mugnier, J. Waveguide Raman Spectroscopy of Sol–Gel Gd2O3 Thin Films. J. Raman Spectrosc. 2003, 34, 234–239. [Google Scholar] [CrossRef]
- Korotcov, A.V.; Huang, Y.; Tiong, K.; Tsai, D. Raman Scattering Characterization of Well-aligned RuO2 and IrO2 Nanocrystals. J. Raman Spectrosc. 2007, 38, 737–749. [Google Scholar] [CrossRef]
- Meng, L. Raman Spectroscopy Analysis of Magnetron Sputtered RuO2 Thin Films. Thin Solid Films 2003, 442, 93–97. [Google Scholar] [CrossRef]
- Yang, L.; Yin, D.; Shen, Y.; Yang, M.; Li, X.; Han, X.; Jiang, X.; Zhao, B. Mesoporous Semiconducting TiO2 with Rich Active Sites as a Remarkable Substrate for Surface-Enhanced Raman Scattering. Phys. Chem. Chem. Phys. 2017, 19, 18731–18738. [Google Scholar] [CrossRef]
- Park, M.J.; Kim, S.K.; Pode, R.; Kwon, J.H. Low Absorption Semi-Transparent Cathode for Micro-Cavity Top-Emitting Organic Light Emitting Diodes. Org. Electron. 2018, 52, 153–158. [Google Scholar] [CrossRef]
- Szkoda, M.; Lisowska-Oleksiak, A.; Grochowska, K.; Skowroński, Ł.; Karczewski, J.; Siuzdak, K. Semi-Transparent Ordered TiO2 Nanostructures Prepared by Anodization of Titanium Thin Films Deposited onto the FTO Substrate. Appl. Surf. Sci. 2016, 381, 36–41. [Google Scholar] [CrossRef]
- Ball, J.M.; Stranks, S.D.; Hörantner, M.T.; Hüttner, S.; Zhang, W.; Crossland, E.J.W.; Ramirez, I.; Riede, M.; Johnston, M.B.; Friend, R.H.; et al. Optical Properties and Limiting Photocurrent of Thin-Film Perovskite Solar Cells. Energy Environ. Sci. 2015, 8, 602–609. [Google Scholar] [CrossRef]
- Vedam, K. Spectroscopic Ellipsometry: A Historical Overview. Thin Solid Films 1998, 313–314, 1–9. [Google Scholar] [CrossRef]
- Drude, P. Ueber die Gesetze der Reflexion und Brechung des Lichtes an der Grenze Absorbirender Krystalle. Ann. Phys. 1887, 268, 584–625. [Google Scholar] [CrossRef]
- Eiamchai, P.; Chindaudom, P.; Pokaipisit, A.; Limsuwan, P. A Spectroscopic Ellipsometry Study of TiO2 Thin Films Prepared by Ion-Assisted Electron-Beam Evaporation. Curr. Appl. Phys. 2009, 9, 707–712. [Google Scholar] [CrossRef]
- Franta, D.; Ohlídal, I.; Petrýdes, D. Optical Characterization of TiO2 Thin Films by the Combined Method of Spectroscopic Ellipsometry and Spectroscopic Photometry. Vacuum 2005, 80, 159–162. [Google Scholar] [CrossRef]
- Jiang, H.-Q.; Wei, Q.; Cao, Q.-X.; Yao, X. Spectroscopic Ellipsometry Characterization of TiO2 Thin Films Prepared by the Sol–Gel Method. Ceram. Int. 2008, 34, 1039–1042. [Google Scholar] [CrossRef]
- Liao, H.-S.; Cheng, S.-H.; Hwu, E.-T. Method for Film Thickness Mapping with an Astigmatic Optical Profilometer. Sensors 2022, 22, 2865. [Google Scholar] [CrossRef] [PubMed]
- El-Ahmar, M.H.; El-Sayed, A.-H.M.; Hemeida, A.M. Mathematical Modeling of Photovoltaic Module and Evalute the Effect of Varoius Paramenters on Its Performance. In Proceedings of the 2016 Eighteenth International Middle East Power Systems Conference (MEPCON), Cairo, Egypt, 27–29 December 2016; pp. 741–746. [Google Scholar]
- Belghachi, A. Theoretical Calculation of the Efficiency Limit for Solar Cells. In Solar Cells—New Approaches and Reviews; Kosyachenko, L.A., Ed.; InTech: London, UK, 2015; ISBN 978-953-51-2184-8. [Google Scholar]
- Alhamed, M.; Issa, A.S.; Doubal, A.W. Studying of natural dyes properties as photo-sensitizer for dye sensitized solar cells (DSSC). J. Electron Devices 2012, 16, 1370–1383. [Google Scholar]
- Hendi, A.A.; Alanazi, M.M.; Alharbi, W.; Ali, T.; Awad, M.A.; Ortashi, K.M.; Aldosari, H.; Alfaifi, F.S.; Qindeel, R.; Naz, G.; et al. Dye-Sensitized Solar Cells Constructed Using Titanium Oxide Nanoparticles and Green Dyes as Photosensitizers. J. King Saud Univ.-Sci. 2023, 35, 102555. [Google Scholar] [CrossRef]
- Nasyori, A.; Noor, F.A.; Abidin, K. Improved the DSSCs Performance by Sensitizing Eight Natural Dyes and Varying the Annealing Process on the TiO2. Mol. Cryst. Liq. Cryst. 2024, 768, 32–46. [Google Scholar] [CrossRef]
- Santos, F.; Ivanou, D.; Mendes, A. Solid-State Monolithic Dye-Sensitized Solar Cell Exceeding 10% Efficiency Using a Copper-Complex Hole Transport Material and a Carbon Counter-Electrode. Sol. RRL 2024, 8, 2300574. [Google Scholar] [CrossRef]
- Masud; Kim, H.K. Redox Shuttle-Based Electrolytes for Dye-Sensitized Solar Cells: Comprehensive Guidance, Recent Progress, and Future Perspective. ACS Omega 2023, 8, 6139–6163. [Google Scholar] [CrossRef]
- Azeez, J.; Kolawole, T. Fabrication of Dye Sensitized Solar Cell Using Baccate (Berry) and Citrullus Lanatus (Water Melon) as Dye. Int. J. Res. Innov. Appl. Sci. 2024, 9, 105–116. [Google Scholar] [CrossRef]
- Alenazi, N.A.; Abualnaja, M.M.; El-Metwaly, N.M. Development of Organic Co-Sensitizers Based on Piperonal for over 10% Efficient Ruthenium Complex Dye-Sensitized Solar Cells. J. Mol. Liq. 2024, 398, 124337. [Google Scholar] [CrossRef]
- Hsu, C.-Y.; Al-Salman, H.N.K.; Mahmoud, Z.H.; Ahmed, R.M.; Dawood, A.F. Improvement of the Photoelectric Dye Sensitized Solar Cell Performance Using Fe/S–TiO2 Nanoparticles as Photoanode Electrode. Sci. Rep. 2024, 14, 4931. [Google Scholar] [CrossRef] [PubMed]
- Kumar, T.S.; Shalini, S.; Roy, T.A.; Prasanna, S.; Balasundaraprabhu, R.; Sundaram, S. Solvent Selection for Anthrocyanin Dye Extraction from Kigelia Africana and Hibiscus Sabdariffa for Dye Sensitized Solar Cells. J. Photochem. Photobiol. 2024, 20, 100233. [Google Scholar] [CrossRef]
- Shan, C.-H.; Zhang, H.; Chen, W.-L.; Su, Z.-M.; Wang, E.-B. Pure Inorganic D–A Type Polyoxometalate/Reduced Graphene Oxide Nanocomposite for the Photoanode of Dye-Sensitized Solar Cells. J. Mater. Chem. A 2016, 4, 3297–3303. [Google Scholar] [CrossRef]
- Omar, A.; Ali, M.S.; Abd Rahim, N. Electron Transport Properties Analysis of Titanium Dioxide Dye-Sensitized Solar Cells (TiO2-DSSCs) Based Natural Dyes Using Electrochemical Impedance Spectroscopy Concept: A Review. Sol. Energy 2020, 207, 1088–1121. [Google Scholar] [CrossRef]
- Frank, A.J.; Kopidakis, N.; Lagemaat, J.V.D. Electrons in Nanostructured TiO2 Solar Cells: Transport, Recombination and Photovoltaic Properties. Coord. Chem. Rev. 2004, 248, 1165–1179. [Google Scholar] [CrossRef]
- Laschuk, N.O.; Easton, E.B.; Zenkina, O.V. Reducing the Resistance for the Use of Electrochemical Impedance Spectroscopy Analysis in Materials Chemistry. RSC Adv. 2021, 11, 27925–27936. [Google Scholar] [CrossRef]
- Ming, W.; Sun, P.; Zhang, Z.; Qiu, W.; Du, J.; Li, X.; Zhang, Y.; Zhang, G.; Liu, K.; Wang, Y.; et al. A Systematic Review of Machine Learning Methods Applied to Fuel Cells in Performance Evaluation, Durability Prediction, and Application Monitoring. Int. J. Hydrogen Energy 2023, 48, 5197–5228. [Google Scholar] [CrossRef]
- Haeverbeke, M.V.; Stock, M.; De Baets, B. Equivalent Electrical Circuits and Their Use Across Electrochemical Impedance Spectroscopy Application Domains. IEEE Access 2022, 10, 51363–51379. [Google Scholar] [CrossRef]
- Gaberšček, M. Impedance Spectroscopy of Battery Cells: Theory versus Experiment. Curr. Opin. Electrochem. 2022, 32, 100917. [Google Scholar] [CrossRef]
- Iurilli, P.; Brivio, C.; Wood, V. On the Use of Electrochemical Impedance Spectroscopy to Characterize and Model the Aging Phenomena of Lithium-Ion Batteries: A Critical Review. J. Power Sources 2021, 505, 229860. [Google Scholar] [CrossRef]
- Ali, S.; Chang, S.; Imran, M.; Shi, Q.; Chen, Y.; Zhong, H. Impedance Spectroscopy: A Versatile Technique to Understand Solution-Processed Optoelectronic Devices. Phys. Status Solidi RRL—Rapid Res. Lett. 2019, 13, 1800580. [Google Scholar] [CrossRef]




















| Photoanode/Dye | Jsc (mA/cm2) | Voc (V) | FF (%) | Ƞ (%) | Ref: |
|---|---|---|---|---|---|
| TiO2/Hibiscus Sabdariffa | 4.10 | 0.41 | 46.04 | 0.77 | [57] |
| TiO2/Hibiscus Sabdariffa | 4.24 | 0.91 | 57.09 | 2.21 | This work |
| GRO/Hibiscus Sabdariffa | 4.35 | 3.82 | 57.93 | 9.65 | This work |
| TGRO/Hibiscus Sabdariffa | 4.32 | 3.22 | 63.02 | 8.78 | This work |
| Parameters | R1 (kΩ) | A1 (pF) | α1 | R2 (kΩ) | A2 (µF) | α2 | R3 (kΩ) | A3 (µF)/ (µΩ−1) | α3 | R4 (kΩ) |
|---|---|---|---|---|---|---|---|---|---|---|
| TGROH | 25 | 55 | 0.85 | 3 | 9 | 0.72 | 42 | 3.3 | 0.59 | ± 18.70 |
| GROH | 5.83 | 220 | 0.96 | 3.4 | 5.8 | 0.88 | 300 | 14.5 | 0.42 | ± 2.51 |
| Fitted Parameters | PV Characteristics | ||||||
|---|---|---|---|---|---|---|---|
| TGROH | GROH | TiO2 | TGROH | GROH | TiO2 | ||
| Iph (mA) | 1.667 | 1.682 | 1.596 | Isc (mA) | 1.667 | 1.692 | 1.603 |
| I01(nA) | 0.00012 | 352 | 708 | Voc (V) | 3.260 | 3.980 | 0.910 |
| n1 | 1.98 | 1.71 | 1.23 | Vmax (V) | 2.550 | 2.930 | 0.670 |
| I02 (nA) | 13.53 | 1.09 | 736 | Imax (mA) | 1.275 | 1.170 | 1.253 |
| n2 | 2.98 | 2.59 | 1.75 | Pmax (mW) | 3.251 | 3.428 | 0.839 |
| γ1 | 0.27 | 0.09 | 0.26 | FF (%) | 59.82 | 50.92 | 57.56 |
| γ2 | 0.27 | 0.09 | 0.26 | η (%) | 8.55 | 9.03 | 2.21 |
| Rs (Ω) | 0.00 | 0.04 | 2.39 | ||||
| Rsh (Ω) | 8975 | 7941 | 5472 | ||||
Disclaimer/Publisher’s Note: The statements, opinions and data contained in all publications are solely those of the individual author(s) and contributor(s) and not of MDPI and/or the editor(s). MDPI and/or the editor(s) disclaim responsibility for any injury to people or property resulting from any ideas, methods, instructions or products referred to in the content. |
© 2025 by the authors. Licensee MDPI, Basel, Switzerland. This article is an open access article distributed under the terms and conditions of the Creative Commons Attribution (CC BY) license (https://creativecommons.org/licenses/by/4.0/).
Share and Cite
Kraidy, A.F.; Yapi, A.S.; Datte, J.K.; Voue, M.; El Marssi, M.; Ferri, A.; Gagou, Y. High-Performance Natural Dye-Sensitized Solar Cells Employing a New Semiconductor: Gd2Ru2O7 Pyrochlore Oxide. Condens. Matter 2025, 10, 38. https://doi.org/10.3390/condmat10030038
Kraidy AF, Yapi AS, Datte JK, Voue M, El Marssi M, Ferri A, Gagou Y. High-Performance Natural Dye-Sensitized Solar Cells Employing a New Semiconductor: Gd2Ru2O7 Pyrochlore Oxide. Condensed Matter. 2025; 10(3):38. https://doi.org/10.3390/condmat10030038
Chicago/Turabian StyleKraidy, Assohoun F., Abé S. Yapi, Joseph K. Datte, Michel Voue, Mimoun El Marssi, Anthony Ferri, and Yaovi Gagou. 2025. "High-Performance Natural Dye-Sensitized Solar Cells Employing a New Semiconductor: Gd2Ru2O7 Pyrochlore Oxide" Condensed Matter 10, no. 3: 38. https://doi.org/10.3390/condmat10030038
APA StyleKraidy, A. F., Yapi, A. S., Datte, J. K., Voue, M., El Marssi, M., Ferri, A., & Gagou, Y. (2025). High-Performance Natural Dye-Sensitized Solar Cells Employing a New Semiconductor: Gd2Ru2O7 Pyrochlore Oxide. Condensed Matter, 10(3), 38. https://doi.org/10.3390/condmat10030038

