Size at Sexual Maturity of Deep-Sea Unexploited Caribbean Metanephrops binghami (Boone, 1927) and Overexploited Mediterranean Nephrops norvegicus (Linnaeus, 1758) Using Morphometric and Gonadal Staging Approaches
Abstract
1. Introduction
2. Materials and Methods
2.1. Data Collection for M. binghami and N. norvegicus
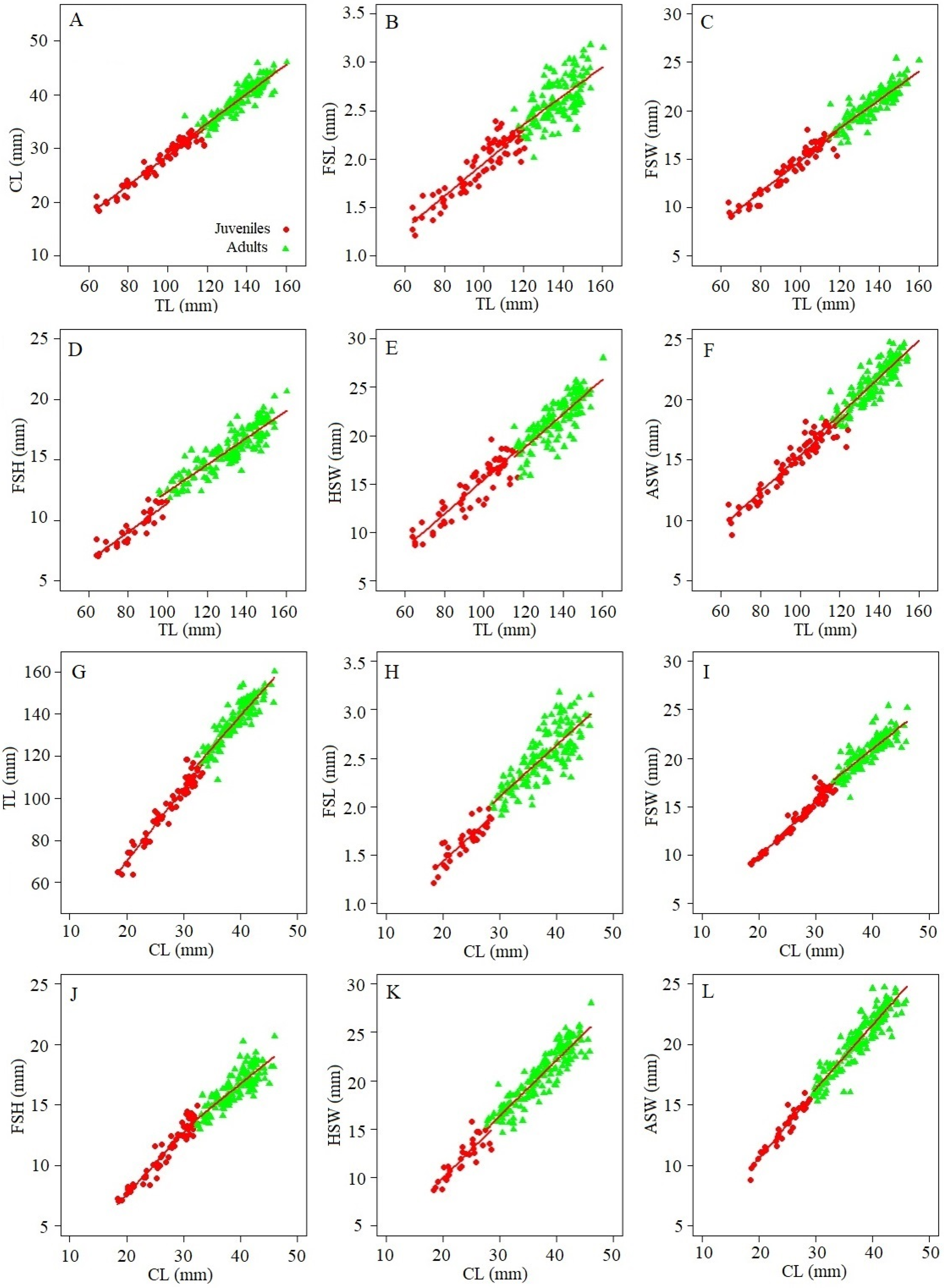
2.2. Morphometric Analysis Approach
2.3. Data Analysis
2.4. Gonadal Maturity Analysis Approach
3. Results
4. Discussion
5. Conclusions
Author Contributions
Funding
Institutional Review Board Statement
Data Availability Statement
Acknowledgments
Conflicts of Interest
References
- Chang, Y.J.; Sun, C.L.; Chen, Y.; Yeh, S.Z. Modelling the growth of crustacean species. Rev. Fish Biol. Fish. 2012, 22, 157–187. [Google Scholar] [CrossRef]
- Boenish, R.; Kritzer, J.P.; Kleisner, K.; Steneck, R.S.; Werner, K.M.; Zhu, W.; Schram, F.; Rader, D.; Cheung, W.; Ingles, J.; et al. The global rise of crustacean fisheries. Front. Ecol. Environ. 2022, 20, 102–110. [Google Scholar] [CrossRef]
- Aguzzi, J.; Violino, S.; Costa, C.; Bahamon, N.; Navarro, J.; Chatzievangelou, D.; Robinson, J.; Doyle, J.; Martinelli, M.; Lordan, C.; et al. Established and emerging research trends in Norway lobster, Nephrops norvegicus. Biology 2022, 12, 225. [Google Scholar] [CrossRef]
- Scientific, Technical and Economic Committee for Fisheries (STECF). Stocks Assessments: Demersal Stocks in the Western Mediterranean Sea (EWG-22-09); Publications Office of the European Union: Luxembourg, 2022. [Google Scholar]
- Paramo, J.; Saint-Paul, U. Spatial structure of deep sea lobster (Metanephrops binghami) in the Colombian Caribbean Sea. Helg. Mar. Res. 2012, 66, 25–31. [Google Scholar] [CrossRef][Green Version]
- Vigo, M.; Navarro, J.; Rotllant, G.; Bahamon, N.; Carreton, M.; Quevedo, J.; Rojas, A.; Company, J.B. Before-after control-impact (BACI) assessment of the effects of a deep-water no-take fishery reserve to recover Norway lobster (Nephrops norvegicus) overfished populations and coexisting megafauna. ICES J. Mar. Sci. 2023, 80, 2008–2023. [Google Scholar] [CrossRef]
- Sardà, F.; Aguzzi, J. A review of burrow counting as an alternative to other typical methods of assessment of Norway lobster populations. Rev. Fish Biol. Fish. 2012, 22, 409–422. [Google Scholar] [CrossRef]
- Cadrin, S.X. Morphometric landmarks. In Stock Identification Methods: Applications in Fishery Science; Cadrin, S.X., Friedland, K.D., Waldman, J.R., Eds.; Academic Press: London, UK, 2005; pp. 153–172. [Google Scholar]
- King, M. Fisheries Biology, Assessment and Management; Wiley–Blackwell: London, UK, 2007; p. 396. [Google Scholar]
- Farmer, A.S. The development of the external sexual characters of Nephrops norvegicus (L.) (Decapoda: Nephropidae). J. Nat. Hist. 1974, 8, 241–255. [Google Scholar] [CrossRef]
- Bianchini, M.L.; Di Stefano, L.; Ragonese, S. Size and age at onset of sexual maturity of female Norway lobster Nephrops norvegicus L. (Crustacea: Nephropidae) in the Strait of Sicily (Central Mediterranean Sea). Sci. Mar. 1998, 62, 151–159. [Google Scholar] [CrossRef]
- Orsi-Relini, L.; Zamboni, A.; Fiorentino, F.; Massi, D. Reproductive patterns in Norway lobster (Nephrops norvegicus L., Crustacea Decapoda Nephropidae) of different Mediterranean areas. Sci. Mar. 1998, 62, 25–41. [Google Scholar] [CrossRef]
- Lizárraga-Cubedo, H.A.; Pierce, G.J.; Santos, M.B. Reproduction of crustaceans in relation to fisheries. In Reproductive Biology of Crustaceans; Mente, E., Ed.; Science Publishers: Enfield, NH, USA, 2008; pp. 169–222. [Google Scholar]
- Haynes, P.S.; Browne, P.; Fullbrook, L.; Graham, C.T.; Hancox, L.; Johnson, M.P.; Lauria, V.; Power, A.M. Growth in Nephrops norvegicus from a tag-recapture experiment. Sci. Rep. 2016, 6, 35143. [Google Scholar] [CrossRef] [PubMed]
- Roth, V.L.; Mercer, J.M. Morphometrics in development and evolution. Am. Zool. 2015, 40, 801–810. [Google Scholar] [CrossRef]
- Torrejon-Magallanes, J. sizeMat: Estimate Size at Sexual Maturity. R Package Version 1.1.2. 2020. Available online: https://CRAN.R-project.org/package=sizeMat (accessed on 1 June 2022).
- MacDiarmid, A.B.; Sainte-Marie, B. Reproduction. In Lobsters: Biology, Management, Aquaculture and Fisheries; Phillips, B.F., Ed.; Blackwell Publishing: Oxford, UK, 2006; pp. 45–77. [Google Scholar]
- Queirós, A.M.; Weetman, A.; McLay, H.A.; Dobby, H. Geographical variation in size at the onset of maturity of male and female Norway lobster Nephrops norvegicus (L., Homarida: Decapoda) in Scottish waters. Fish. Res. 2013, 139, 132–144. [Google Scholar] [CrossRef]
- Severino-Rodrigues, E.; Gomes-Furquim, L.; da Graça-Lopes, R.; Ferreira-Alves, P.M. Crescimento relativo e tamanho na maturidade sexual do lagostim Metanephrops rubellus (Moreira, 1903) desembarcado no litoral do estado de São Paulo, Brasil. Bol. Inst. Pesca. 2016, 42, 431–442. [Google Scholar] [CrossRef]
- Vigo, M.; Galimany, E.; Poch, P.; Santos, R.; Sala-Coromina, J.; Bahamon, N.; Aguzzi, J.; Navarro, J.; Company, J. An update on the biological parameters of the Norway lobster (Nephrops norvegicus) in the northwestern Mediterranean Sea. ICES J. Mar. Sci. 2024; In Press. [Google Scholar] [CrossRef]
- Hall, N.G.; Smith, K.D.; de Lestang, S.; Potter, I.C. Does the largest chela of the males of three crab species undergo an allometric change that can be used to determine morphometric maturity? ICES J. Mar. Sci. 2006, 63, 140–150. [Google Scholar] [CrossRef]
- Claverie, T.; Smith, I.P. Morphological maturity and allometric growth in the squat lobster Munida rugosa. J. Mar. Biol. Assoc. U. K. 2009, 89, 1189–1194. [Google Scholar] [CrossRef]
- Josileen, J. Morphometrics and length-weight relationship in the blue swimming crab Portunus pelagicus (L. 1758) (Decapoda: Brachyura) from the Mandapam coast, India. Crustaceana 2011, 84, 1665–1681. [Google Scholar] [CrossRef]
- Bailey, N.; Chapman, C.J. A comparison of density, length composition and growth of two Nephrops populations off the west coast of Scotland. In ICES CM/K42; Thunen Institute: Braunschweig, Germany, 1983; pp. 1–18. [Google Scholar]
- Sigwart, J.D.; Lundy, M.; Dick, J.T.A.; Becker, C. Declining female size at onset of maturity in Nephrops norvegicus in long-term surveys (1997–2016). ICES J. Mar. Sci. 2020, 77, 3031–3038. [Google Scholar] [CrossRef]
- Pérez, D.; Paramo, J.; Vargas, Y.; Rodriguez, A.; Atencia, M.; Hurtado, M.; Marín, D.; Jiménez, O.; Arango, N.; Bustos-Montes, D. Aspectos Reproductivos de los Crustáceos de Aguas Profundas de Importancia Comercial en el Caribe Norte Colombiano; Aunap-Unimagdalena-Citept: Santa Marta, Colombia, 2022; p. 35. ISBN 978-958-746-511-2. [Google Scholar]
- ICATMAR. Institut Català de Recerca per a la Governança del Mar. 2023. Available online: www.icatmar.cat (accessed on 10 December 2023).
- McQuaid, N.; Briggs, R.P.; Roberts, D. Estimation of the size of onset of sexual maturity in Nephrops norvegicus (L.). Fish. Res. 2006, 81, 26–36. [Google Scholar] [CrossRef]
- Cusba, J.; Paramo, J. Morphometric relation. ships and size at sexual maturity of the deep-sea Caribbean lobster Metanephrops binghami (Decapoda: Nephropidae) in the Colombian Caribbean. Univ. Sci. 2017, 22, 145–160. [Google Scholar] [CrossRef]
- Tzeng, T.D.; Chiu, C.S.; Yeh, S.Y. Morphometric variation in red-spot prawn (Metapenaeopsis barbata) in different geographic waters off Taiwan. Fish. Res. 2001, 53, 211–217. [Google Scholar] [CrossRef]
- Tzeng, T.D.; Yeh, S.Y. Multivariate allometric comparisons for kuruma shrimp (Penaeus japonicus) off Taiwan. Fish. Res. 2002, 59, 279–288. [Google Scholar] [CrossRef]
- Corgos, A.; Freire, J. Morphometric and gonad maturity in the spider crab Maja brachydactyla: A comparison of methods for estimating size at maturity in species with determinate growth. ICES J. Mar. Sci. 2006, 63, 851–859. [Google Scholar] [CrossRef]
- Somerton, D.A. A computer technique for estimating the size of sexual maturity in crabs. Can. J. Fish. Aquat. Sci. 1980, 37, 1488–1494. [Google Scholar] [CrossRef]
- Roa, R.; Ernst, B.; Tapia, F. Estimation of size at sexual maturity: An evaluation of analytical and resampling procedures. Fish. Bull. 1999, 97, 570–580. [Google Scholar]
- Zar, J.H. Biostatistical Analysis, 5th ed.; Prentice Hall: Bergen, NJ, USA, 2010; p. 944. [Google Scholar]
- McQuaid, N.; Briggs, R. Sexual Maturity of Male Nephrops norvegicus (L.) in the Irish Sea, 2004. Available online: https://www.ices.dk/sites/pub/CM%20Doccuments/2005/Q/Q3005ABS.pdf (accessed on 1 June 2023).
- Rotllant, G.; Ribes, E.; Company, J.B.; Durfort, M. The ovarian maturation cycle of the Norway lobster Nephrops norvegicus (Linnaeus, 1758) (Crustacea, Decapoda) from the western Mediterranean Sea. Invertebr. Reprod. Dev. 2005, 48, 161–169. [Google Scholar] [CrossRef]
- Kuparinen, A.; O’Hara, R.B.; Merilä, J. The role of growth history in determining age and size at maturation in exploited fish populations. Fish Fish 2008, 9, 201–207. [Google Scholar] [CrossRef]
- de Roos, A.M.; Boukal, D.S.; Persson, L. Evolutionary regime shifts in age and size at maturation of exploited fish stocks. Proc. R. Soc. B. 2006, 273, 1873–1880. [Google Scholar] [CrossRef]
- Conover, D.O.; Clarke, L.M.; Munch, S.B.; Wagner, G.N. Spatial and temporal scales of adaptive divergence in marine fishes and the implications for conservation. J. Fish Biol. 2006, 69, 21–47. [Google Scholar] [CrossRef]
- Jones, J.B. Environmental impact of trawling on the seabed: A review. N. Z. J. Mar. Freshwater Res. 1992, 26, 59–67. [Google Scholar] [CrossRef]
- Pusceddu, A.; Bianchelli, S.; Martín, J.; Puig, P.; Palanques, A.; Masqué, P.; Danovaro, R. Chronic and intensive bottom trawling impairs deep-sea biodiversity and ecosystem functioning. Proc. Natl. Acad. Sci. USA 2014, 111, 8861–8866. [Google Scholar] [CrossRef]
- Romano, C.; Fanelli, E.; D’Anna, G.; Pipitone, C.; Vizzini, S.; Mazzola, A.; Badalamenti, F. Spatial variability of soft-bottom macrobenthic communities in northern Sicily (Western Mediterranean): Contrasting trawled vs. untrawled areas. Mar. Environ. Res. 2016, 122, 113–125. [Google Scholar] [CrossRef]
- Aguzzi, J.; Costa, C.; Antonucci, F.; Company, J.B.; Menesatti, P.; Sardá, F. Influence of diel behaviour in the morphology of decapod Natantia. Biol. J. Linn. Soc. 2008, 96, 517–532. [Google Scholar] [CrossRef]
- Yang, C.P.; Li, H.X.; Li, L.; Xu, J.; Yan, Y. Population Structure, Morphometric Analysis and Reproductive Biology of Portunus sanguinolentus (Herbst, 1783) (Decapoda: Brachyura: Portunidae) in Honghai Bay, South China Sea. J. Crust. Biol. 2014, 34, 722–730. [Google Scholar] [CrossRef]
- Ribeiro, F.B.; Cascon, H.M.; Bezerra, L.E.A. Morphometric sexual maturity and allometric growth of the crab Sesarma rectum Randall, 1840 (Crustacea: Sesarmidae) in an impacted tropical mangrove in northeast Brazil. Lat. Am. J. Aquat. Res. 2013, 41, 361–368. [Google Scholar] [CrossRef]
- Marković, O.; Ikica, Z.; Đurović, M.; Mandić, M.; Pešić, A.; Petović, S.; Joksimović, A. Some preliminary data about reproductive activity of female of Nephrops norvegicus (Linnaeus, 1758), in the South Adriatic Sea (Montenegro). Turkish J. Fish. Aquat. Sci. 2016, 16, 743–748. [Google Scholar] [CrossRef]
- Di Salvatore, P.; Sacristán, H.J.; Florentín, O.; Varisco, M.; Lovrich, G.A. Female reproductive output and potential recruitment of three fished southern king crab stocks from the Southern Atlantic Ocean. ICES J. Mar. Sci. 2021, 78, 2628–2642. [Google Scholar] [CrossRef]
- Galimany, E.; Baeta, M.; Durfort, M.; Lleonart, J.; Ramón, M. Reproduction and size at first maturity in a Mediterranean exploited Callista chione bivalve bed. Sci. Mar. 2015, 79, 233–242. [Google Scholar] [CrossRef]
- Molinet, C.; Olguín, A.; Gebauer, P.; Díaz, P.A.; Díaz, M.; Matamala, T.; Mora, P.; Paschke, K. Upswing and expansion of the southern king crab (Lithodes santolla) fishery in Northwest Patagonia: Drivers, trends and opportunities for management. Reg. Stud. Mar. Sci. 2020, 34, 101073. [Google Scholar] [CrossRef]
- Le Bris, A.; Pershing, A.; Gaudette, J.; Pugh, T.L.; Reardon, K.M. Multi-scale quantification of the effects of temperature on size at maturity in the American lobster (Homarus americanus). Fish. Res. 2017, 186, 397–406. [Google Scholar] [CrossRef]
- Sbrana, M.; Zupa, W.; Ligas, A.; Capezzuto, F.; Chatzispyrou, M.; Follesa, C.; Gancitano, V.; Guijarro, B.; Isajlovic, I.; Jadaud, A.; et al. Spatiotemporal abundance pattern of deep-water rose shrimp, Parapenaus longirostris, and Norway lobster, Nephrops norvegicus, in European Mediterranean waters. Sci. Mar. 2019, 83, 71–80. [Google Scholar] [CrossRef]
- Bahamon, N.; Aguzzi, J.; Ahumada-Sempoal, M.A.; Bernardello, R.; Reuschel, C.; Company, J.B.; Peters, F.; Gordoa, A.; Navarro, J.; Velásquez, Z.; et al. Stepped Coastal Water Warming Revealed by Multiparametric Monitoring at NW Mediterranean Fixed Stations. Sensors 2020, 20, 2658. [Google Scholar] [CrossRef] [PubMed]
- Muggeo, V.M.R. Segmented: An R package to fit regression models with broken-line relationships. R News 2008, 8, 20–25. [Google Scholar]
- Rudolph, E. New records of intersexuality in the freshwater crayfish Samastacus spinifrons (Philippi 1882) (Decapoda, Parastacidae). J. Crust. Biol. 2002, 22, 377–389. [Google Scholar] [CrossRef]
- Williner, V.; Torres, M.V.; Carvalho, D.A.; König, N. Relative growth and morphological sexual maturity size of the freshwater crab Trichodactylus borellianus (Crustacea, Decapoda, Trichodactylidae) in the Middle Paraná River, Argentina. ZooKeys 2014, 457, 159–170. [Google Scholar] [CrossRef] [PubMed]
- Viau, V.; López, G.L.; Bond-Buckup, G.; Rodríguez, E. Size at the onset of sexual maturity in the anomuran crab, Aegla uruguayana (Aeglidae). Acta Zool. 2006, 87, 253–264. [Google Scholar] [CrossRef]
- Tuck, I.D.; Atkinson, R.J.A.; Chapman, C.J. Population biology of the Norway lobster, Nephrops norvegicus (L.) in the Firth of Clyde, Scotland II: Fecundity and size at onset of sexual maturity. ICES J. Mar. Sci. 2000, 57, 1227–1239. [Google Scholar] [CrossRef]
- European Parliament and Council. Regulation (EU) 2019/1022 of the European Parliament and of the Council of 20 June 2019 establishing a multiannual plan for the fisheries exploiting demersal stocks in the western Mediterranean Sea and amending Regulation (EU) No 508/2014. Off. J. Eur. Union 2019.
- Da Silva-Santana, C.A.; Lordan, C.; Power, A.M. Theoretical size at the onset of maturity and its density-dependent variability as an option in crustacean fisheries management. ICES J. Mar. Sci. 2021, 78, 1421–1433. [Google Scholar] [CrossRef]






| Relationship | Characteristic | N | N (%) | Intercept (a) | Slope (b) | r2 | p (ANCOVA) | |
|---|---|---|---|---|---|---|---|---|
| Intercept | Slope | |||||||
| TL vs. CL | Juveniles | 91 | 37.92 | 3.258 | 0.244 | 0.93 | 0.000 | 0.940 |
| Adults | 149 | 62.08 | 2.062 | 0.271 | 0.83 | |||
| TL vs. FSL | Juveniles | 72 | 36.18 | 0.263 | 0.017 | 0.82 | 0.000 | 0.148 |
| Adults | 127 | 63.82 | 0.567 | 0.015 | 0.40 | |||
| TL vs. FSW | Juveniles | 87 | 36.25 | 0.506 | 0.136 | 0.91 | 0.000 | 0.034 |
| Adults | 153 | 63.75 | 1.177 | 0.142 | 0.76 | |||
| TL vs. FSH | Juveniles | 83 | 34.58 | 0.126 | 0.112 | 0.81 | 0.000 | 0.000 |
| Adults | 157 | 65.42 | 1.197 | 0.111 | 0.80 | |||
| TL vs. HSW | Juveniles | 88 | 36.67 | 0.918 | 0.139 | 0.82 | 0.000 | 0.100 |
| Adults | 152 | 63.33 | 0.742 | 0.154 | 0.65 | |||
| TL vs. ASW | Juveniles | 101 | 42.08 | 1.029 | 0.140 | 0.89 | 0.000 | 0.975 |
| Adults | 139 | 57.92 | 0.824 | 0.149 | 0.77 | |||
| CL vs. TL | Juveniles | 91 | 37.92 | 4.926 | 3.406 | 0.93 | 0.000 | 0.038 |
| Adults | 149 | 62.08 | 14.061 | 3.125 | 0.83 | |||
| CL vs. FSL | Juveniles | 34 | 17.00 | 0.361 | 0.054 | 0.75 | 0.000 | 0.367 |
| Adults | 166 | 83.00 | 0.501 | 0.053 | 0.65 | |||
| CL vs. FSW | Juveniles | 68 | 27.87 | −0.252 | 0.515 | 0.95 | 0.000 | 0.032 |
| Adults | 176 | 72.13 | 1.198 | 0.494 | 0.73 | |||
| CL vs. FSH | Juveniles | 90 | 36.89 | −0.932 | 0.445 | 0.93 | 0.000 | 0.000 |
| Adults | 154 | 63.11 | 2.086 | 0.366 | 0.69 | |||
| CL vs. HSW | Juveniles | 108 | 44.44 | −0.337 | 0.553 | 0.75 | 0.000 | 0.024 |
| Adults | 135 | 55.56 | 0.190 | 0.550 | 0.83 | |||
| CL vs. ASW | Juveniles | 92 | 37.86 | −0.184 | 0.548 | 0.93 | 0.000 | 0.097 |
| Adults | 151 | 62.14 | 0.750 | 0.521 | 0.85 | |||
| Relationship | Characteristic | N | N (%) | Intercept (a) | Slope (b) | r2 | p (ANCOVA) | |
|---|---|---|---|---|---|---|---|---|
| Intercept | Slope | |||||||
| TL vs. CL | Juveniles | 38 | 32.48 | 1.972 | 0.271 | 0.86 | 0.000 | 0.965 |
| Adults | 79 | 67.52 | 2.187 | 0.277 | 0.91 | |||
| TL vs. FSL | Juveniles | 52 | 44.44 | 0.268 | 0.064 | 0.41 | 0.000 | 0.119 |
| Adults | 65 | 55.56 | 0.900 | 0.059 | 0.72 | |||
| TL vs. FSW | Juveniles | 41 | 35.04 | −1.341 | 0.161 | 0.84 | 0.000 | 0.702 |
| Adults | 76 | 64.96 | −1.529 | 0.166 | 0.94 | |||
| TL vs. FSH | Juveniles | 46 | 39.32 | −0.729 | 0.141 | 0.63 | 0.000 | 0.527 |
| Adults | 71 | 60.68 | −3.797 | 0.177 | 0.81 | |||
| TL vs. HSW | Juveniles | 55 | 47.01 | 1.968 | 0.110 | 0.61 | 0.000 | 0.210 |
| Adults | 62 | 52.99 | 3.182 | 0.108 | 0.81 | |||
| TL vs. ASW | Juveniles | 34 | 29.06 | 0.680 | 0.043 | 0.22 | 0.008 | 0.598 |
| Adults | 83 | 70.94 | 1.104 | 0.049 | 0.38 | |||
| CL vs. TL | Juveniles | 38 | 32.48 | 7.194 | 3.111 | 0.86 | 0.000 | 0.382 |
| Adults | 79 | 67.52 | 2.455 | 3.294 | 0.91 | |||
| CL vs. FSL | Juveniles | 38 | 32.48 | 0.449 | 0.211 | 0.16 | 0.000 | 0.157 |
| Adults | 79 | 67.52 | 0.272 | 0.218 | 0.71 | |||
| CL vs. FSW | Juveniles | 38 | 32.48 | −0.700 | 0.521 | 0.93 | 0.000 | 0.719 |
| Adults | 79 | 67.52 | −1.689 | 0.563 | 0.89 | |||
| CL vs. FSH | Juveniles | 51 | 43.59 | 0.605 | 0.424 | 0.76 | 0.000 | 0.330 |
| Adults | 66 | 56.41 | −2.043 | 0.548 | 0.75 | |||
| CL vs. HSW | Juveniles | 38 | 32.48 | −0.216 | 0.460 | 0.65 | 0.000 | 0.612 |
| Adults | 79 | 67.52 | 0.215 | 0.449 | 0.77 | |||
| CL vs. ASW | Juveniles | 36 | 30.77 | 0.688 | 0.147 | 0.31 | 0.009 | 0.051 |
| Adults | 81 | 69.23 | 0.934 | 0.171 | 0.40 | |||
| Species | Relationship | a | b | L50% | C.I. L50% | r2 |
|---|---|---|---|---|---|---|
| M. binghami | TL vs. CL | −33.812 | 0.298 | 113.54 | 111.40 to 115.80 | 0.89 |
| TL vs. FSL | −80.267 | 0.674 | 118.56 | 117.00 to 120.00 | 0.96 | |
| TL vs. FSW | −33.103 | 0.297 | 112.05 | 109.70 to 114.00 | 0.89 | |
| TL vs. FSH | −49.059 | 0.447 | 110.49 | 108.70 to 112.40 | 0.93 | |
| TL vs. HSW | −25.682 | 0.229 | 112.33 | 110.00 to 114.40 | 0.85 | |
| TL vs. ASW | −42.749 | 0.367 | 117.30 | 115.00 to 119.20 | 0.92 | |
| CL vs. TL | −291.793 | 9.190 | 31.75 | 31.70 to 31.80 | 0.99 | |
| CL vs. FSL | −3599.811 | 125.883 | 28.60 | 28.58 to 28.60 | 1.00 | |
| CL vs. FSW | −67.876 | 2.305 | 29.45 | 29.40 to 29.45 | 0.95 | |
| CL vs. FSH | −259.571 | 8.247 | 31.47 | 31.45 to 31.50 | 0.99 | |
| CL vs. HSW | −103.206 | 3.046 | 33.89 | 33.89 to 33.90 | 0.97 | |
| CL vs. ASW | −5405.663 | 170.208 | 31.76 | 31.75 to 31.80 | 1.00 | |
| N. norvegicus | TL vs. CL | −1850.197 | 19.523 | 94.77 | 94.80 to 94.80 | 1.00 |
| TL vs. FSL | −46.534 | 0.502 | 92.85 | 90.60 to 95.00 | 0.90 | |
| TL vs. FSW | −106.388 | 1.088 | 97.82 | 97.80 to 97.80 | 0.97 | |
| TL vs. FSH | −2297.428 | 23.819 | 96.45 | 96.50 to 96.50 | 1.00 | |
| TL vs. HSW | −58.452 | 0.589 | 98.84 | 96.60 to 100.80 | 0.93 | |
| TL vs. ASW | −37.089 | 0.369 | 100.65 | 98.20 to 103.10 | 0.87 | |
| CL vs. TL | −83.222 | 2.893 | 28.77 | 28.80 to 28.80 | 0.95 | |
| CL vs. FSL | −456.153 | 16.772 | 27.20 | 27.20 to 27.20 | 0.98 | |
| CL vs. FSW | −162.028 | 5.541 | 29.24 | 29.20 to 29.20 | 0.97 | |
| CL vs. FSH | −55.302 | 1.859 | 29.67 | 29.10 to 30.30 | 0.93 | |
| CL vs. HSW | −42.464 | 1.431 | 29.44 | 28.70 to 30.20 | 0.90 | |
| CL vs. ASW | −36.346 | 1.190 | 30.40 | 29.60 to 31.10 | 0.86 |
Disclaimer/Publisher’s Note: The statements, opinions and data contained in all publications are solely those of the individual author(s) and contributor(s) and not of MDPI and/or the editor(s). MDPI and/or the editor(s) disclaim responsibility for any injury to people or property resulting from any ideas, methods, instructions or products referred to in the content. |
© 2024 by the authors. Licensee MDPI, Basel, Switzerland. This article is an open access article distributed under the terms and conditions of the Creative Commons Attribution (CC BY) license (https://creativecommons.org/licenses/by/4.0/).
Share and Cite
Paramo, J.; Rodriguez, A.; Zabala, J.Q.; Company, J.B.; Pérez, D.; Vigo, M.; Santos-Bethencourt, R.; Aguzzi, J.; Bahamon, N. Size at Sexual Maturity of Deep-Sea Unexploited Caribbean Metanephrops binghami (Boone, 1927) and Overexploited Mediterranean Nephrops norvegicus (Linnaeus, 1758) Using Morphometric and Gonadal Staging Approaches. Fishes 2024, 9, 78. https://doi.org/10.3390/fishes9030078
Paramo J, Rodriguez A, Zabala JQ, Company JB, Pérez D, Vigo M, Santos-Bethencourt R, Aguzzi J, Bahamon N. Size at Sexual Maturity of Deep-Sea Unexploited Caribbean Metanephrops binghami (Boone, 1927) and Overexploited Mediterranean Nephrops norvegicus (Linnaeus, 1758) Using Morphometric and Gonadal Staging Approaches. Fishes. 2024; 9(3):78. https://doi.org/10.3390/fishes9030078
Chicago/Turabian StyleParamo, Jorge, Alfredo Rodriguez, Juliana Quevedo Zabala, Joan B. Company, Daniel Pérez, Maria Vigo, Ricardo Santos-Bethencourt, Jacopo Aguzzi, and Nixon Bahamon. 2024. "Size at Sexual Maturity of Deep-Sea Unexploited Caribbean Metanephrops binghami (Boone, 1927) and Overexploited Mediterranean Nephrops norvegicus (Linnaeus, 1758) Using Morphometric and Gonadal Staging Approaches" Fishes 9, no. 3: 78. https://doi.org/10.3390/fishes9030078
APA StyleParamo, J., Rodriguez, A., Zabala, J. Q., Company, J. B., Pérez, D., Vigo, M., Santos-Bethencourt, R., Aguzzi, J., & Bahamon, N. (2024). Size at Sexual Maturity of Deep-Sea Unexploited Caribbean Metanephrops binghami (Boone, 1927) and Overexploited Mediterranean Nephrops norvegicus (Linnaeus, 1758) Using Morphometric and Gonadal Staging Approaches. Fishes, 9(3), 78. https://doi.org/10.3390/fishes9030078

